Synthesis, Structural Versatility, Magnetic Properties, and I− Adsorption in a Series of Cobalt(II) Metal–Organic Frameworks with a Charge-Neutral Aliphatic (O,O)-Donor Bridge
Abstract
:1. Introduction
2. Materials and Methods
- ATTENTION: Care should be taken in all of the procedures carried out with 1,4-diazabicyclo[2.2.2]octane N,N’-dioxide tris-(hydrogen peroxide) solvate (odabco·3H2O2) and odabco compounds with potentially explosive anions such as nitrate.
2.1. Materials
2.2. Instruments
2.3. Synthetic Methods
3. Results and Discussion
3.1. Synthesis and Crystal Structures
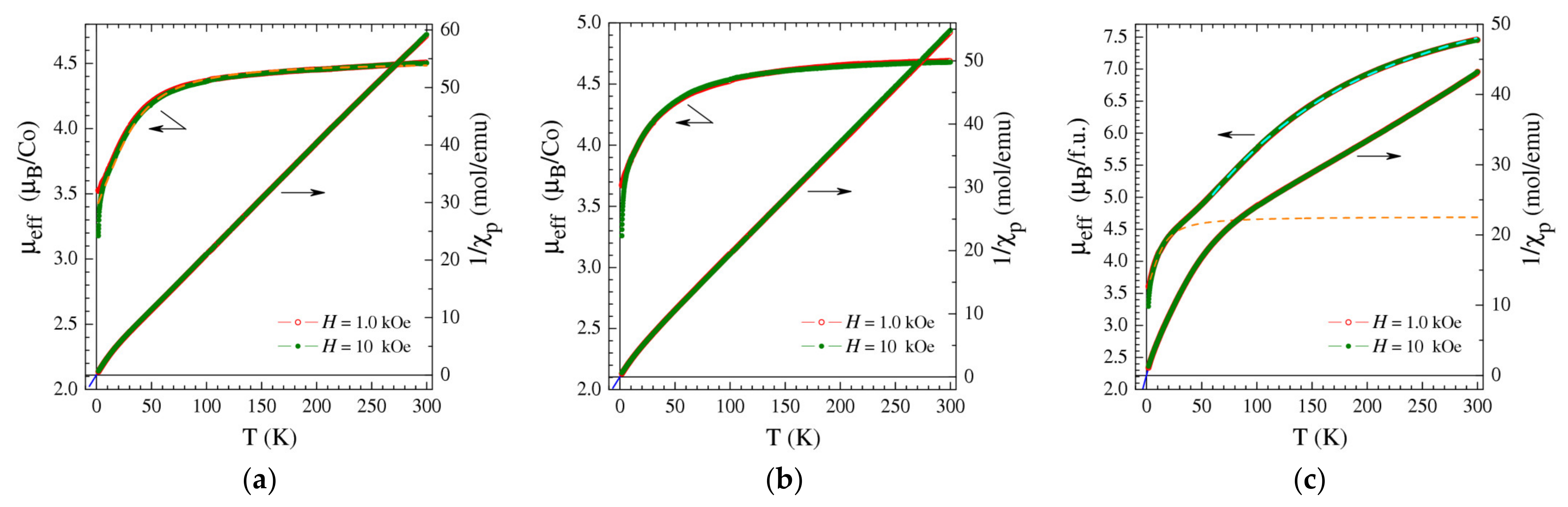
3.2. Magnetic Properties
3.3. Anion Exchange
4. Conclusions
Supplementary Materials
Author Contributions
Funding
Data Availability Statement
Conflicts of Interest
References
- Pascanu, V.; González Miera, G.; Ken Inge, A.; Martín-Matute, B. Metal–Organic Frameworks as Catalysts for Organic Synthesis: A Critical Perspective. J. Am. Chem. Soc. 2019, 141, 7223–7234. [Google Scholar] [CrossRef] [PubMed]
- Wang, C.; An, B.; Lin, W. Metal–Organic Frameworks in Solid–Gas Phase Catalysis. ACS Catal. 2019, 9, 130–146. [Google Scholar] [CrossRef]
- Jaramillo, D.E.; Jaffe, A.; Snyder, B.E.R.; Smith, A.; Taw, E.; Rohde, R.C.; Dods, M.N.; DeSnoo, W.; Meihaus, K.R.; David Harris, T.; et al. Metal–organic frameworks as O2-selective adsorbents for air separations. Chem. Sci. 2022, 13, 10216–10237. [Google Scholar] [CrossRef] [PubMed]
- Shi, Y.; Wang, Z.; Li, Z.; Wang, H.; Xiong, D.; Qiu, J.; Tian, X.; Feng, G.; Wang, J. Anchoring LiCl in the Nanopores of Metal–Organic Frameworks for Ultra-High Uptake and Selective Separation of Ammonia. Angew. Chem. Int. Ed. 2022, 61, e202212032. [Google Scholar] [CrossRef]
- Xie, Y.; Lyu, S.; Zhang, Y.; Cai, C. Adsorption and Degradation of Volatile Organic Compounds by Metal–Organic Frameworks (MOFs): A Review. Materials 2022, 15, 7727. [Google Scholar] [CrossRef]
- Qian, Q.; Asinger, P.A.; Joo Lee, M.; Han, G.; Mizrahi Rodriguez, K.; Lin, S.; Benedetti, F.M.; Wu, A.X.; Seok Chi, W.; Smith, Z.P. MOF-Based Membranes for Gas Separations. Chem. Rev. 2020, 120, 8161–8266. [Google Scholar] [CrossRef]
- Kotova, A.A.; Thiebaut, D.; Vial, J.; Tissot, A.; Serre, C. Metal-organic frameworks as stationary phases for chromatography and solid phase extraction: A review. Coord. Chem. Rev. 2022, 455, 214364. [Google Scholar] [CrossRef]
- Kovalenko, K.A.; Potapov, A.S.; Fedin, V.P. Micro- and mesoporous metal-organic frameworks for hydrocarbon separation. Russ. Chem. Rev. 2022, 91, RCR5026. [Google Scholar] [CrossRef]
- Khaki Firooz, S.; Armstrong, D.W. Metal-organic frameworks in separations: A review. Anal. Chim. Acta 2022, 1234, 340208. [Google Scholar] [CrossRef]
- Dolgopolova, E.A.; Rice, A.M.; Martina, C.R.; Shustova, N.B. Photochemistry and photophysics of MOFs: Steps towards MOF-based sensing enhancements. Chem. Soc. Rev. 2018, 47, 4710–4728. [Google Scholar] [CrossRef]
- Yang, G.-L.; Jiang, X.-L.; Xu, H.; Zhao, B. Applications of MOFs as Luminescent Sensors for Environmental Pollutants. Small 2021, 17, 2005327. [Google Scholar] [CrossRef] [PubMed]
- Xu, X.; Ma, M.; Sun, T.; Zhao, X.; Zhang, L. Luminescent Guests Encapsulated in Metal–Organic Frameworks for Portable Fluorescence Sensor and Visual Detection Applications: A Review. Biosensors 2023, 13, 435. [Google Scholar] [CrossRef] [PubMed]
- Nadar, S.S.; Rathod, V.K. Magnetic-metal organic framework (magnetic-MOF): A novel platform for enzyme immobilization and nanozyme applications. Int. J. Biol. Macromol. 2018, 120, 2293–2302. [Google Scholar] [CrossRef]
- Goswami, R.; Seal, N.; Ranjan Dash, S.; Tyagi, A.; Neogi, S. Devising Chemically Robust and Cationic Ni(II)–MOF with Nitrogen-Rich Micropores for Moisture-Tolerant CO2 Capture: Highly Regenerative and Ultrafast Colorimetric Sensor for TNP and Multiple Oxo–Anions in Water with Theoretical Revelation. ACS Appl. Mater. Interfaces 2019, 11, 40134–40150. [Google Scholar] [CrossRef]
- Ma, J.; Wang, C.-C.; Zhao, Z.-X.; Wang, P.; Li, J.-J.; Wang, F.-X. Adsorptive capture of perrhenate (ReO4−) from simulated wastewater by cationic 2D-MOF BUC-17. Polyhedron 2021, 202, 115218. [Google Scholar] [CrossRef]
- Sharma, S.; Desai, A.V.; Joarder, B.; Ghosh, S.K. A Water-Stable Ionic MOF for the Selective Capture of Toxic Oxoanions of SeVI and AsV and Crystallographic Insight into the Ion-Exchange Mechanism. Angew. Chem. Int. Ed. 2020, 59, 7788–7792. [Google Scholar] [CrossRef]
- Dutta, S.; Let, S.; Shirolkar, M.M.; Desai, A.V.; Samanta, P.; Fajal, S.; Morea, Y.D.; Ghosh, S.K. A luminescent cationic MOF for bimodal recognition of chromium and arsenic based oxo-anions in water. Dalton Trans. 2021, 50, 10133–10141. [Google Scholar] [CrossRef]
- Li, J.; Yuan, S.; Qin, J.-S.; Pang, J.; Zhang, P.; Zhang, Y.; Huang, Y.; Drake, H.F.; Liu, W.R.; Zhou, H.-C. Stepwise Assembly of Turn-on Fluorescence Sensors in Multicomponent Metal–Organic Frameworks for In Vitro Cyanide Detection. Angew. Chem. Int. Ed. 2020, 59, 9319–9323. [Google Scholar] [CrossRef]
- Yu, C.-X.; Chen, J.; Zhang, Y.; Song, W.-B.; Li, X.-Q.; Chen, F.-J.; Zhang, Y.-J.; Liu, D.; Liu, L.-L. Highly efficient and selective removal of anionic dyes from aqueous solution by using a protonated metal-organic framework. J. Alloys Compd. 2021, 853, 157383. [Google Scholar] [CrossRef]
- Zhang, X.; Maddock, J.; Nenoff, T.M.; Denecke, M.A.; Yang, S.; Schröder, M. Adsorption of iodine in metal–organic framework materials. Chem. Soc. Rev. 2022, 51, 3243–3262. [Google Scholar] [CrossRef]
- Chang, J.; Li, H.; Zhao, J.; Guan, X.; Li, C.; Yu, G.; Valtchev, V.; Yan, Y.; Qiua, S.; Fang, Q. Tetrathiafulvalene-based covalent organic frameworks for ultrahigh iodine capture. Chem. Sci. 2021, 12, 8452–8457. [Google Scholar] [CrossRef] [PubMed]
- Zaguzin, A.S.; Sukhikh, T.S.; Kolesov, B.A.; Sokolov, M.N.; Fedin, V.P.; Adonin, S.A. Iodinated vs. non-iodinated: Comparison of sorption selectivity by [Zn2(bdc)2dabco]n and superstructural 2-iodoterephtalate-based metal–organic framework. Polyhedron 2022, 212, 115587. [Google Scholar] [CrossRef]
- Yang, Y.; Tu, C.; Yin, H.; Liu, J.; Cheng, F.; Luo, F. Molecular Iodine Capture by Covalent Organic Frameworks. Molecules 2022, 27, 9045. [Google Scholar] [CrossRef] [PubMed]
- Li, G.; Liu, W.-S.; Yang, S.-L.; Zhang, L.; Bu, R.; Gao, E.-Q. Anion-Afforded Functions of Ionic Metal–Organic Frameworks: Ionochromism, Anion Conduction, and Catalysis. Inorg. Chem. 2022, 61, 902–910. [Google Scholar] [CrossRef]
- Liu, J.-J.; Xia, S.-B.; Liu, Y.; Suo, H.; Liu, J.; Shen, X. The Influence of Anions on Electron-Transfer Photochromism of Bipyridinium-Derived Metal–Organic Materials. Cryst. Growth Des. 2020, 20, 1729–1737. [Google Scholar] [CrossRef]
- Shi, P.-F.; Hu, H.-C.; Zhang, Z.-Y.; Xiong, G.; Zhao, B. Heterometal–organic frameworks as highly sensitive and highly selective luminescent probes to detect I− ions in aqueous solutions. Chem. Commun. 2015, 51, 3985–3988. [Google Scholar] [CrossRef]
- Desai, A.V.; Sharma, S.; Let, S.; Ghosh, S.K. N-donor linker based metal-organic frameworks (MOFs): Advancement and prospects as functional materials. Coord. Chem. Rev. 2019, 395, 146–192. [Google Scholar] [CrossRef]
- Sharma, S.; Dutta, S.; Dam, G.K.; Ghosh, S.K. Neutral Nitrogen Donor Ligand-based MOFs for Sensing Applications. Chem. Asian J. 2021, 16, 2569–2587. [Google Scholar] [CrossRef]
- Kuznetsova, A.; Matveevskaya, V.; Pavlov, D.; Yakunenkov, A.; Potapov, A. Coordination Polymers Based on Highly Emissive Ligands: Synthesis and Functional Properties. Materials 2020, 13, 2699. [Google Scholar] [CrossRef]
- Marabello, D.; Antoniotti, P.; Benzi, P.; Beccari, F.; Canepa, C.; Cariati, E.; Cioci, A.; Lo Presti, L. Crystal structure or chemical composition of salt–sugar-based metal–organic frameworks: What are the nonlinear optical properties due to? Acta Cryst. 2021, B77, 506–514. [Google Scholar] [CrossRef]
- Roy, I.; Fraser Stoddart, J. Cyclodextrin Metal–Organic Frameworks and Their Applications. Acc. Chem. Res. 2021, 54, 1440–1453. [Google Scholar] [CrossRef] [PubMed]
- Koshevoy, E.I.; Samsonenko, D.G.; Berezin, A.S.; Fedin, V.P. Metal-Organic Coordination Polymers Formed from γ-Cyclodextrin and Divalent Metal Ions. Eur. J. Inorg. Chem. 2019, 2019, 4321–4327. [Google Scholar] [CrossRef]
- Tepper, R.; Schulze, B.; Bellstedt, P.; Heidler, J.; Görls, H.; Jäger, M.; Schubert, U.S. Halogen-bond-based cooperative ion-pair recognition by a crown-ether-embedded 5-iodo-1,2,3-triazole. Chem. Commun. 2017, 53, 2260–2263. [Google Scholar] [CrossRef] [PubMed]
- Wang, J.; Zhang, X.; Liang, F.; Hu, Z.; Wu, Y. Co-crystal AX·(H3C3N3O3) (A = Na, Rb, Cs; X = Br, I): A series of strongly anisotropic alkali halide cyanurates with a planar structural motif and large birefringence. Dalton Trans. 2021, 50, 11555–11561. [Google Scholar] [CrossRef]
- Kovalenko, E.A.; Andrienko, I.V.; Samsonenko, D.G.; Fedin, V.P. Synthesis and Crystal Structure of One-Dimensional Coordination Polymers Based on Lanthanide Complexes and Cucurbit[6]uril. J. Struct. Chem. 2022, 63, 1770–1778. [Google Scholar] [CrossRef]
- Govindaraj, M.; Huang, W.-C.; Lee, C.-Y.; Lakshmanan, V.; Liu, Y.-H.; So, P.B.; Lin, C.-H.; Chen, J.-D. Structural Diversity of Mercury(II) Halide Complexes Containing Bis-pyridyl-bis-amide with Bulky and Angular Backbones: Ligand Effect and Metal Sensing. Int. J. Mol. Sci. 2022, 23, 7861. [Google Scholar] [CrossRef]
- Noro, S.-I.; Mizutani, J.; Hijikata, Y.; Matsuda, R.; Sato, H.; Kitagawa, S.; Sugimoto, K.; Inubushi, Y.; Kubo, K.; Nakamura, T. Porous coordination polymers with ubiquitous and biocompatible metals and a neutral bridging ligand. Nat. Commun. 2015, 6, 5851. [Google Scholar] [CrossRef]
- Long, D.-L.; Blake, A.J.; Champness, N.R.; Wilson, C.; Schröder, M. Unprecedented Seven- and Eight-Connected Lanthanide Coordination Networks. Angew. Chem. Int. Ed. 2001, 40, 2443–2447. [Google Scholar] [CrossRef]
- Long, D.-L.; Hill, R.J.; Blake, A.J.; Champness, N.R.; Hubberstey, P.; Proserpio, D.M.; Wilson, C.; Schröder, M. Non-Natural Eight-Connected Solid-State Materials: A New Coordination Chemistry. Angew. Chem. Int. Ed. 2004, 43, 1851–1854. [Google Scholar] [CrossRef]
- Chandra Manna, S.; Zangrando, E.; Ribas, J.; Ray Chaudhuri, N. Cobalt(II)–(dpyo)–dicarboxylate networks: Unique H-bonded assembly and rare bridging mode of dpyo in one of them [dpyo = 4,4′-dipyridyl N,N′-dioxide]. Dalton Trans. 2007, 14, 1383–1391. [Google Scholar] [CrossRef]
- Chen, L.; Ji, Q.; Wang, X.; Pan, Q.; Cao, X.; Xu, G. Two novel metal–organic coordination polymers based on ligand 1,4-diazabicyclo[2.2.2]octane N,N′-dioxide with phase transition, and ferroelectric and dielectric properties. CrystEngComm 2017, 19, 5907–5914. [Google Scholar] [CrossRef]
- Demakov, P.A.; Samsonenko, D.G.; Dybtsev, D.N.; Fedin, V.P. Zinc(II) metal-organic frameworks with 1,4-diazabicyclo[2.2.2]octane N,N′-dioxide: Control of the parameters of the cationic porous framework and optical properties. Russ. Chem. Bull. 2022, 71, 83–90. [Google Scholar] [CrossRef]
- Jankowski, R.; Zakrzewski, J.J.; Surma, O.; Ohkoshi, S.-I.; Chorazy, S.; Sieklucka, B. Near-infrared emissive Er(III) and Yb(III) molecular nanomagnets in metal–organic chains functionalized by octacyanidometallates(IV). Inorg. Chem. Front. 2019, 6, 2423–2434. [Google Scholar] [CrossRef]
- Qian, J.-F.; Tian, W.-J.; Yang, S.; Sun, Z.-H.; Chen, L.; Wei, M.-J.; Wu, Z.; He, M.-Y.; Zhang, Z.-H.; Mei, L. Auxiliary Ligand-Dependent Adaptive Regulation of Uranyl Coordination in Mixed-Ligand Uranyl Compounds of Flexible Biphenyltetracarboxylic Acid. Inorg. Chem. 2020, 59, 17659–17670. [Google Scholar] [CrossRef] [PubMed]
- Ma, B.-Q.; Sun, H.-L.; Gao, S.; Su, G. A Novel Azido and Pyrazine-Dioxide Bridged Three-Dimensional Manganese(II) Network with Antiferromagnetic Ordering (TN = 62 K) and a Spin Flop State. Chem. Mater. 2001, 13, 1946–1948. [Google Scholar] [CrossRef]
- Ma, F.; Xiong, J.; Meng, Y.-S.; Yang, J.; Sun, H.-L.; Gao, S. Rational construction of a porous lanthanide coordination polymer featuring reversible guest-dependent magnetic relaxation behavior. Inorg. Chem. Front. 2018, 5, 2875–2884. [Google Scholar] [CrossRef]
- Ma, F.; Sun, R.; Sun, A.-H.; Xiong, J.; Sun, H.-L.; Gao, S. Regulating the structural dimensionality and dynamic properties of a porous dysprosium coordination polymer through solvent molecules. Inorg. Chem. Front. 2020, 7, 930–938. [Google Scholar] [CrossRef]
- Abasheeva, K.D.; Demakov, P.A.; Fedin, V.P. Diverse Hydrogen-Bonded Structural Motifs in 1,4-Diazabicyclo[2.2.2]octane N,N’-Dioxide Salts with Oxoanions. Molbank 2022, 2022, M1508. [Google Scholar] [CrossRef]
- Demakov, P.A.; Romanov, A.S.; Samsonenko, D.G.; Dybtsev, D.N.; Fedin, V.P. Synthesis and structure of manganese(II) coordination polymers with 1,4-diazabicyclo[2.2.2]octane N, N′-Dioxide: Solvent and template effects. Russ. Chem. Bull. 2020, 69, 1511–1519. [Google Scholar] [CrossRef]
- Demakov, P.A.; Yudina, Y.A.; Samsonenko, D.G.; Dybtsev, D.N.; Fedin, V.P. Crystal Structure of Zinc Coordination Polymers Based on 1,4-Diazabicyclo[2.2.2]octane N,N′-Dioxide: Effect of Hydrophobicity of Carboxylate Ligands. J. Struct. Chem. 2021, 62, 403–411. [Google Scholar] [CrossRef]
- Svetogorov, R.D.; Dorovatovskii, P.V.; Lazarenko, V.A. Belok/XSA Diffraction Beamline for Studying Crystalline Samples at Kurchatov Synchrotron Radiation Source. Cryst. Res. Technol. 2020, 55, 1900184. [Google Scholar] [CrossRef]
- Lazarenko, V.A.; Dorovatovskii, P.V.; Zubavichus, Y.V.; Burlov, A.S.; Koshchienko, Y.V.; Vlasenko, V.G.; Khrustalev, V.N. High-Throughput Small-Molecule Crystallography at the ‘Belok’ Beamline of the Kurchatov Synchrotron Radiation Source: Transition Metal Complexes with Azomethine Ligands as a Case Study. Crystals 2017, 7, 325. [Google Scholar] [CrossRef]
- Kabsch, W. XDS. Acta Cryst. 2010, D66, 125–132. [Google Scholar] [CrossRef] [PubMed]
- CrysAlisPro 1.171.38.46; Rigaku Oxford Diffraction: The Woodlands, TX, USA, 2015; Available online: https://www.rigaku.com/products/crystallography/crysalis (accessed on 13 October 2023).
- Sheldrick, G.M. SHELXT—Integrated space-group and crystal-structure determination. Acta Cryst. 2015, A71, 3–8. [Google Scholar] [CrossRef]
- Sheldrick, G.M. Crystal structure refinement with SHELXL. Acta Cryst. 2015, C71, 3–8. [Google Scholar]
- Spek, A.L. PLATON SQUUEZE: A tool for the calculation of the disordered solvent contribution to the calculated structure factors. Acta Cryst. 2015, C71, 9–18. [Google Scholar]
- Spackman, P.R.; Turner, M.J.; McKinnon, J.J.; Wolff, S.K.; Grimwood, D.J.; Jayatilaka, D.; Spackman, M.A. CrystalExplorer: A program for Hirshfeld surface analysis, visualization and quantitative analysis of molecular crystals. J. Appl. Crystallogr. 2021, 54, 1006–1011. [Google Scholar] [CrossRef]
- Kay Hon, P.; Mak, T.C.W. Isolation and crystal structures of 1∶3 molecular complexes of triethylenediamineN,N′-dioxide with hydrogen peroxide and water. J. Crystallogr. Spectrosc. Res. 1987, 17, 419–429. [Google Scholar] [CrossRef]
- Zhang, J.; Liu, R.; Feng, P.; Bu, X. Organic Cation and Chiral Anion Templated 3D Homochiral Open-Framework Materials with Unusual Square-Planar {M4(OH)} Units. Angew. Chem. Int. Ed. 2007, 46, 8388–8391. [Google Scholar] [CrossRef]
- Xu, G.; Xie, M.; Li, X.; Shi, W.; Yu, H.; Hu, Y.; Xun, X.; Xie, Y. Four binuclear coordination polymers with a 63 net and self-assembly of 2D 63 topology into different supramolecular networks using unit–unit H-bonds. CrystEngComm 2015, 17, 3677–3686. [Google Scholar] [CrossRef]
- McCormick, L.J.; Morris, S.A.; Slawin, A.M.Z.; Teat, S.J.; Morris, R.E. Coordination Polymers of 5-Alkoxy Isophthalic Acids. Cryst. Growth Des. 2016, 16, 5771–5780. [Google Scholar] [CrossRef]
- Shi, Z.; Mei, C.; Niu, G.; Han, Q. Two inorganic–organic hybrids based on a polyoxometalate: Structures, characterizations, and epoxidation of olefins. J. Coord. Chem. 2018, 71, 1460–1468. [Google Scholar] [CrossRef]
- Grineva, A.A.; Datchuk, R.R.; Uvarova, M.A.; Demina, L.I.; Nefedov, S.E. Structure of an Unordinary 1-D Cobalt(II) Polymer Formed upon the Dissolution of the Mononuclear Co(OOPh)2[O(H)Me]4 Adduct in Chloroform. Russ. J. Inorg. Chem. 2018, 63, 468–472. [Google Scholar] [CrossRef]
- Bagheri, M.; Yaser Masoomi, M.; Morsali, A. High organic sulfur removal performance of a cobalt based metal-organic framework. J. Hazard. Mater. 2017, 331, 142–149. [Google Scholar] [CrossRef]
- Boča, R. Zero-field splitting in metal complexes. Coord. Chem. Rev. 2004, 248, 757–815. [Google Scholar] [CrossRef]
- Griffith, J.S. On the general theory of magnetic susceptibilities of polynuclear transition-metal compounds. In Structure and Bonding; Springer: Berlin/Heidelberg, Germany, 1972; Volume 10, pp. 87–126. [Google Scholar]







| Atom/Contact | I…H, % | I…O, % | I…N, % | I…I, % | I…Co, % |
|---|---|---|---|---|---|
| I1 | 96.6 | 3.2 | 0.2 | 0.0 | 0.0 |
| I2 | 94.8 | 5.2 | 0.0 | 0.0 | 0.0 |
| I3 | 98.8 | 0.6 | 0.0 | 0.7 | 0.0 |
| I4 | 96.9 | 3.1 | 0.0 | 0.0 | 0.0 |
| I5 | 95.0 | 5.0 | 0.0 | 0.0 | 0.0 |
| I6 | 94.1 | 5.3 | 0.0 | 0.6 | 0.0 |
Disclaimer/Publisher’s Note: The statements, opinions and data contained in all publications are solely those of the individual author(s) and contributor(s) and not of MDPI and/or the editor(s). MDPI and/or the editor(s) disclaim responsibility for any injury to people or property resulting from any ideas, methods, instructions or products referred to in the content. |
© 2023 by the authors. Licensee MDPI, Basel, Switzerland. This article is an open access article distributed under the terms and conditions of the Creative Commons Attribution (CC BY) license (https://creativecommons.org/licenses/by/4.0/).
Share and Cite
Abasheeva, K.D.; Demakov, P.A.; Polyakova, E.V.; Lavrov, A.N.; Fedin, V.P.; Dybtsev, D.N. Synthesis, Structural Versatility, Magnetic Properties, and I− Adsorption in a Series of Cobalt(II) Metal–Organic Frameworks with a Charge-Neutral Aliphatic (O,O)-Donor Bridge. Nanomaterials 2023, 13, 2773. https://doi.org/10.3390/nano13202773
Abasheeva KD, Demakov PA, Polyakova EV, Lavrov AN, Fedin VP, Dybtsev DN. Synthesis, Structural Versatility, Magnetic Properties, and I− Adsorption in a Series of Cobalt(II) Metal–Organic Frameworks with a Charge-Neutral Aliphatic (O,O)-Donor Bridge. Nanomaterials. 2023; 13(20):2773. https://doi.org/10.3390/nano13202773
Chicago/Turabian StyleAbasheeva, Ksenia D., Pavel A. Demakov, Evgeniya V. Polyakova, Alexander N. Lavrov, Vladimir P. Fedin, and Danil N. Dybtsev. 2023. "Synthesis, Structural Versatility, Magnetic Properties, and I− Adsorption in a Series of Cobalt(II) Metal–Organic Frameworks with a Charge-Neutral Aliphatic (O,O)-Donor Bridge" Nanomaterials 13, no. 20: 2773. https://doi.org/10.3390/nano13202773
APA StyleAbasheeva, K. D., Demakov, P. A., Polyakova, E. V., Lavrov, A. N., Fedin, V. P., & Dybtsev, D. N. (2023). Synthesis, Structural Versatility, Magnetic Properties, and I− Adsorption in a Series of Cobalt(II) Metal–Organic Frameworks with a Charge-Neutral Aliphatic (O,O)-Donor Bridge. Nanomaterials, 13(20), 2773. https://doi.org/10.3390/nano13202773

