Abstract
The discovery of high- superconductivity in cuprates in 1986 moved strongly correlated systems from exotic worlds interesting only for pure theorists to the focus of solid-state research. In recent decades, the majority of hot topics in condensed matter physics (high- superconductivity, colossal magnetoresistance, multiferroicity, ferromagnetism in diluted magnetic semiconductors, etc.) have been related to strongly correlated transition metal compounds. The highly successful electronic structure calculations based on density functional theory lose their predictive power when applied to such compounds. It is necessary to go beyond the mean field approximation and use the many-body theory. The methods and models that were developed for the description of strongly correlated systems are reviewed together with the examples of response function calculations that are needed for the interpretation of experimental information (inelastic neutron scattering, optical conductivity, resonant inelastic X-ray scattering, electron energy loss spectroscopy, angle-resolved photoemission, electron spin resonance, and magnetic and magnetoelectric properties). The peculiarities of (quasi-) 0-, 1-, 2-, and 3- dimensional systems are discussed.
1. Introduction
The strongly correlated transition metal compounds remain a focus of attention in the condensed matter scientific community since they may show high- superconductivity in quasi-two-dimensional cuprates [1,2], frustrated magnetism in low-dimensional cuprates and other materials [3,4,5,6], colossal magnetoresistance and observation of Griffiths phase in manganites [7,8,9,10], multiferroism [11,12], or spin liquid behavior [13,14,15], as well as many other interesting properties. The interpretation of the vast experimental information depends on the calculation of various response functions. The task becomes highly non-trivial for the transition metal compounds because of the strong correlations in the d- or f-electron shell of the transition metal ions. The difficulty is due to the necessity to take into account the many-body effects. These effects cannot be described by finite orders of the perturbation theory because of high (macroscopically large) degeneracy of the unperturbed state. Thus, the summation of terms up to the infinite order of perturbation theory or non-perturbative theoretical methods should be used [16].
The commonly used approach has serious limitations: for an interpretation of an experiment, the response function is calculated for a model, the parameters of the model being taken from a fit to experimental data. The model thus describes the dynamics of the studied system in an energy range that is relevant for the calculated response. However, the interrelation between responses on different energy scales is missing in this approach. In particular, the models describing the optical response (the energy range of several eV) has usually nothing in common with the spin-Hamiltonians that describe the magnetic properties of the same compound (the energy range of several meV).
The aim of this review is to outline a systematic theoretical approach for the calculation of physical properties and response functions for different kinds of transition metal compounds on the basis of modern understanding of electronic structure and of the role of correlations in electron motion. We introduce the models and methods that are exploited for the description of strongly correlated systems. Simple analytically solvable finite system Hamiltonians demonstrate the basis physics of strongly correlated systems.
2. Electron Correlations. Finite Systems
2.1. Hydrogen Molecule
As we mentioned in the Introduction, the description of transition metal compounds demands the account of correlation in the motion of d and f-electrons [16]. The simplest system that demonstrates the role of correlation effects is the electronic structure of the hydrogen molecule. We adopt the Born–Oppenheimer approximation, where the nuclei positions are fixed in the points , . So, we consider the motion of two electrons that experience an attraction by protons and a repulsion from each other.
In the mean field Hückel theory [17,18,19,20], it is assumed that every electron moves in a self-consistent external field that is a sum of the attraction to the nuclei and the repulsion from the second electron averaged over the positions of this electron. On the basis of orthogonalized functions of the hydrogen atom ground state , the mean-field theory Hamiltonian has the form (in the second quantization)
where the diagonal and non-diagonal matrix elements are ()
operator creates an electron with orbital function and spin index . Without loss of generality, we may assume the orthogonality of basis functions ; then creation and annihilation operators satisfy usual fermionic commutation relations (for the generalization for the non-orthgonal basis case see chapter 2 of the P. Fulde book [16]).
Within the approximations made, the Hamiltonian (1) has (for each value of the spin projection s) two eigenfunctions (bonding and antibonding orbitals, see Figure 1) with energies
Figure 1.
Mean field description of hydrogen molecule electronic structure.
In the ground state, both electrons occupy the lowest energy bonding orbital . The electrons should have opposite spins. So, two electron ground state function has the form
The spinors refer to spin up and spin down, respectively. We see that electrons move independently in the mean field approximation. The probability of finding them on the same site (it is given by the square of the coefficient of the so-called ionic configurations that are given by the terms of the form ) equals the probability to finding the electrons on different sites (square of the coefficient of the terms ). This means the absence of the correlations in the electron motion in the mean field approximation.
In order to consider the correlations, we have to go beyond the mean-field approximation and take into account so-called residual interaction, which is the difference between the bare electron–electron Coulomb repulsion
and its part that was accounted for in the mean field [16]. The residual interaction is much more localized compared to the bare Coulomb interaction (6). That is why Hubbard proposed to use the basis of localized atomic-like Wannier functions and to take into account only the largest terms having [21]. Then, the Hamiltonian (1) is supplemented by the term
where . The one-particle Hamiltonian subtracts the part of interaction , which was accounted for in the self-consistent field. As a result, the average . In our problem, . The general form of for the full Coulomb interaction (6) is given in Eq. (2.3.35) of Ref. [16]. In our notations [the Coulomb matrix elements of Ref. [16] are connected with ours (6) via relation ], it is
where the bond order is introduced.
Now, the Hamiltonian for the hydrogen molecule acquires the form of the Hubbard Hamiltonan
where we have dropped the constant term . The diagonal matrix element is now . We take it as the zero of energy . We shall solve the problem by the Heitler–London approach [22], which uses the many-body function basis. The Hamiltonian conserves the total spin S of the system. We can find the solution separately for singlet () and triplet () sectors of the Hilbert space. In addition, the Hamiltonian conserves the parity of the wave functions.
Triplet sector has three degenerate wave functions
The energy of the triplet is .
In the singlet sector, we have three basis functions, one odd
with the eigenenergy , and two even: and (5). We obtain a problem for even singlets
Its eigenvalues are
where . The last approximate equality (12) is valid in so-called strongly correlated limit . In this limit,
The eigenvectors are
Thus, for the ground state , we have
Comparing it with (4), we see that the weight of ionic states where electrons are found on the same site is strongly suppressed in the correlated wave function.
In the mean field approximation, the lowest excited state corresponds to one-electron excitation from bonding to antibonding orbital. It is separated from the ground state by the energy . In contrast to the mean field theory, the many-body approach obtains the first excited state of the system as magnetic excitation that flips the spin of one electron and transfers the singlet ground state to one of the triplet states , . The excitation energy is
The set of four lowest states is separated from other states by an energy . It is easy to show that this set may be described by a low-energy effective Hamiltonian
which is just the antiferromagnetic Heisenberg Hamiltonian.
Temperature Dependence of Optical Conductivity
It is clear that the triplet states will be populated at temperatures . The temperature dependence of some response functions of a strongly correlated system becomes observable at these temperatures. The values of effective exchange integral may vary from one to hundreds of Kelvins. Figure 2 illustrates the dependence of the charge response of the system on the magnetic initial state: the transition over the gap is allowed in the singlet state (left panel) and is prohibited in the triplet state (right panel) due to the Pauli exclusion principle. The population of the triplet states by temperature will evidently affect the response. Let us illustrate this statement by the calculation of the optical conductivity for an ensemble of molecules having a temperature T.
Figure 2.
Description of the hydrogen molecule in the Heitler–London approach (account of correlations).
Optical conductivity for an ensemble of finite systems is given by (polarization of light is along the x-axis parallel to the molecule)
where
is the thermodynamic weight of the initial state , is the energy of the transition, V is the volume per one system, and are the polarization and the current operators.
The absorptive real part of the optical conductivity is
where is the contribution to the optical conductivity of transitions from the state .
In our restricted basis for a two site system, only optical transitions with charge transfer between sites is possible. The current operator is
d is the distance between sites, and e is the electron charge. Non-zero matrix elements exist only between singlets and . We thus have , and and we are able to calculate the optical conductivity analytically for any temperature and parameters of Hamiltonian (9).
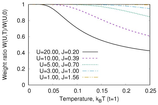
Figure 3 shows the optical conductivity for strongly correlated regime (a finite imaginary part was added to in order to visualize the -function). The typical value of t is eV=11604 K. Thus, for any realistic temperature, only the transition from the ground state (15) will be observed both in strongly () and in weakly () correlated limits. We may introduce the weight of the transition (the coefficient before )
The temperature dependence of is given in Figure 4. We see that the peculiarity of a strongly correlated system is a strong variation of with temperature. As the transition energy , we may neglect . In addition, we may neglect all terms in the denominator of Equation (19), which is the partition function. Then,
This means that the characteristic temperature of optical response variation is the magnetic energy J. This is the general property of strongly correlated systems [23,24,25].
In the next subsection, we will show that the same conclusion holds for the temperature dependence of resonant inelastic X-ray scattering (RIXS) spectra for another simple finite system.
2.2. “Cu-O-Cu” Molecule. Temperature Dependence of RIXS Spectra
2.2.1. The Hamiltonian and Its Spectrum
We consider the three-site “Cu-O-Cu” cluster, which is described by a many-band Hubbard model (see Figure 5) [26]
where the operator creates a particle with the spin projection index on the uncorrelated “O” site,
is the Hubbard projection operator that creates a particle with the spin projection index on the site , where strong correlations prohibit the double occupancy of the site (see Appendix C). Thus, we consider a limiting case of the Emery (multi-band Hubbard) model [27] (later in Section 4.2 we will discuss the Emery model for cuprates more in detail) when , () being on-site repulsion on the “Cu”(“O”) site. The remaining energetic parameters are the charge-transfer energy (positive for hole representation), and the hopping t. The typical values for cuprates are , eV, and below we give the analytic formulas for exact values together with the expansion over . We consider the insulating case when we have two holes in the cluster.
Figure 5.
Energy level scheme in a “Cu-O-Cu” molecule.
The Classification of States. We may characterize the wave function by total spin value, its projection on the z-axis, and parity with respect to exchange of “Cu” sites . In the two-particle sector, we have (Figure 6)
(i)
(1) even:
where
is the Zhang–Rice singlet state [28,29] formed by holes on neighboring Cu-O sites.
(2) odd:
(ii),
(1) even:
The wave functions with other values of may be obtained by the action of operator on the above states.
Summary of the spectrum. The Hamiltonian (25) has 13 two-particle eigenstates (See Appendix A.1 for the details): 4 singlets (31), (A6), and 3 triplets (32), (A12), and (A13). In the low-energy states (A6) and (A12), the dominant contribution comes from the states (27) and (33), both having two particles occupying different “Cu” sites. In this low-energy part of the spectrum, the system has only spin degrees of freedom which are described by an effective Heisenberg Hamiltonian
with the superexchange parameter . The constant shift comes from the hybridization contribution to the “crystal field” on the “Cu” site.
The excited states corresponding to a transfer of charge between the “Cu” and the “O” sites lie higher in energy by the value about .
2.2.2. O K RIXS Spectrum for Finite Temperature
General Expression The O K RIXS process has the following stages: (i) in a system being in an initial state , an X-ray quantum excites an electron from an oxygen core -state to a -state on the same site ; (ii) the valence electron system propagates in the presence of the immovable core-hole at site ; (iii) the -electron recombines on the same site with the core -hole, another X-ray quantum is emitted, and the system is left in a finite state .
The RIXS spectrum intensity at finite temperature is given by (see e.g., [30,31,32,33])
where denote the statistical average over initial states for a temperature T, eV/K is the Boltzmann constant, () is the polarization vectors of incident(emitted) photons, and and are the incident and emitted photon energies.
For a given , the intensity of the O K RIXS signal is (see e.g., [31,32,33])
where , is the creation operator of the O -hole with spin projection at site , creates a -hole at the same site, and are Cartesian indices of -orbitals, and is the eigenstate of the Hamiltonian of the system in the presence of the core hole at site (in the stage ii)
In Equation (38), the first term is the generalized many-band Hubbard Hamiltonian that describes the valence electron system of cuprates; describes the O hole and its interaction with valence p-holes which is assumed to be reduced to local Coulomb repulsion. The sum in Equation (37) runs over sites where the core hole is created at stage (i), rests at stage (ii), and annihilates at stage (iii), cf. Equation (3) of Ref. [33] where apparently a triple sum over is present. In fact, the expression (38) implies that the core hole does not move and is annihilated at the same site where it was created. This reduces the triple sum to a single one.
With the assumptions inherent in Equation (38), the role of the core hole is reduced to the change of the on-site energy of valence p-states at the stage (ii) of the RIXS process. This may be shown in the following way: let us recall that the core hole is absent in the initial and final states, i.e., we can write , being the vacuum for core states. Then, we have
with . In the derivation of (39), we have used the relation
The substitution of (39) into (37) gives Equation (41). We see that the O K RIXS spectral function (within the approximation made) is defined by the dynamics of valence electrons only. Thus, we obtain
where creates a -hole with spin projection at oxygen site , . is the generalized many-band Hubbard Hamiltonian that describes the valence electron system, is the energy of hole level, and is the interaction strength between the - and valence -holes. The interaction is assumed to be reduced to local Coulomb repulsion.
The expressions (36)–(42) involves only valence states. The stages (i)–(iii) may be reformulated as:
(i) in a system being in the N-hole ground state , a hole in a -state on the site is annihilated;
(ii) the hole system is perturbed by the increase of site energy on the site by the value ;
(iii) the hole on the same site is created, and the system is left in an excited state .
Application to the Three-Site Model As we have already mentioned, the charge-transfer excitations have energies of the order of several eV. They will never be populated at temperatures reachable in an RIXS experiment ( eV). So, we should make the statistical average only over the low-energy states
where and are statistical weights of the lowest singlet and triplet states, and is the partition function.
In the intermediate state, our system has only one hole. The eigenenergies of even states are
where . The eigenstates are
here and are given by expressions similar to Equations (A14) with the change , and .
An odd state has the energy The calculated RIXS and XAS spectra are shown in Figure 8, Figure 9, Figure 10 and Figure 11. We clearly see the resonant character of the spectra shown on Figure 8. The resonsnce occurs at different incident energies for singlet and triplet initial states. The occupation of different initial states depends on temperature. This leads to temperature dependence of the RIXS spectra. The changes of temperature on the scale of magnetic interaction value J leads to drastic changes of spectra on a much larger scale as shown in Figure 10.
Figure 8.
RIXS for (left) and (right) starting states in a “Cu-O-Cu” molecule.
Figure 9.
XAS spectrum in a “Cu-O-Cu” molecule. Arrows show the input X-ray frequencies.
Figure 10.
T-dependence of RIXS spectra in a “Cu-O-Cu” molecule for two input frequencies.
Figure 11.
T-dependence of XAS spectrum in a “Cu-O-Cu” molecule.
The strong temperature dependence of the RIXS spectrum was first observed for and edge-shared cuprate compounds in Ref. [34]
The XAS spectrum also depends on temperature, but this dependence is weak.
3. Effective Low-Energy Models
3.1. Resolvent Method (Löwdin Downfolding)
This method provides the simplest way to obtain a low-energy effective Hamiltonian from a full Hamiltonian of a system. It was proposed in a series of works of P.-O. Löwdin (e.g. Refs. [35,36]), where he called this method the “Partitioning technique”. Here, we briefly review the technique.
We assume that a full Hilbert space of states of a system described by a Hamiltonian may be divided into two parts A and B, A being an “interesting low-energy part” in some sense. Then, we may write the Hamiltonian matrix and an eigenvector symbolically
Then, the secular equation becomes
We substitute the expression for b found from the second equation
into the first one and obtain
Equation (49) looks like an effective secular equation for a matrix in the subspace A, but contains the inversion of a large matrix . This inversion is calculated iteratively. We separate into diagonal and non-diagonal parts and expand in a power series in . Then, we have up to fourth order
Note that depends on the eigenenergy. So, Equation (49) is a non-linear equation. We should write , and solve the equation iteratively.
Let us pay attention to an outstanding feature of the expansion (50). It never diverges if the states in the subspace A are separated by an energy gap from the states in B. This is the case when we derive an effective magnetic Hamiltonian for a strongly correlated insulating system. Then, the subspace B contains the states with charge excitations which are separated by a charge-transfer or a Hubbard gap for the charge-transfer or Mott–Hubbard insulators, respectively (for the classification of correlated systems see Section 4.4).
3.2. The Effective Hamiltonian after Fourth-Order Canonical Transform
Let us consider another way to obtain an effective Hamiltonian. We denote
where the eigenvalues and eigenvectors of an unperturbed Hamiltonian are assumed to be known. Without loss of generality, we may assume that the perturbation contains only non-diagonal terms. The operator
has the property
Then, up to the fourth order, the canonical transformation gives
The explicit calculation gives
The advantage of this approach is that it gives an energy-independent effective Hamiltonian. However, we can see a substantial difference of the Hamiltonian (54) from (50). The denominators of the third and fourth orders (58) and (59) contain the energy differences between intermediate states. These terms may diverge if the states are (quasi-)degenerate even if these states are well separated by an energy gap from the states in the subspace A. In fact, the generator has excluded the non-diagonal terms due to the property (53) only up to the second order. For the derivation of the fourth order effective Hamiltonian, we need to also exclude non-diagonal terms in . So, we perform a second transform with the generator
Then, the fourth-order term becomes
After some algebra (see Appendix B for the details), we obtain
Now, compare Equation (61) with given by (64) and the Löwdin result (50). We see that the first term of (64) produces the form similar to (50), if we assume that both belong to the subspace A. The second term of (64) looks different. However, we can note the following: (i) it vanishes when , i.e., when the subspace A is degenerate; (ii) we have written the transformation that tries to remove all non-diagonal terms in (51), whereas only the part of them, namely , are removed in the Löwdin approach. If we divide in (51), into
and make the transformation that removes only , we will have the form similar to (50), but in practice, it is difficult to make the decomposition (65).
As we mentioned above, one of the advantage of the canonical transform is that it gives an energy-independent effective Hamiltonian. The second important advantage is that it easily gives the transformed form of any operator to the same order:
the transformed form of the wave function may be found as well.
5. Response Functions Calculations and Spectroscopies
A theoretical interpretation of experimental data demands calculations of response functions. Above, we have given some examples of the calculations for finite systems, Equations (18) and (37). Below, we give more examples of the response function calculations for extended strongly correlated systems.
5.1. Ab Initio Ligand Field Theory to Determine Electronic Multiplet Properties
There is a fundamental problem in electronic structure theory of solids, namely the proper description of multiplet effects of local magnetic centers built up of d or f electrons, which are intrinsically many-body states, in translational invariant settings. The many-electron multiplet levels are characterized by strong Coulomb interactions, electron correlations, and spin orbit coupling. The multiplets have been well understood for many years in atomic physics. Such multiplets persist in solids, either as sharp levels in the gap of insulators or semiconductors or as resonances in metals and small gap semiconductors. The influence of the surrounding crystal on the d or f electron shell of an ion is described by a few new parameters that are traditionally called crystal field (CF) or ligand field (LF) [79,80] parameters. The knowledge of LF parameters allows describing the splittings and mixing of single-ion many-body states in a crystal and calculating the response functions, which are determined by local multiplet effects.
In the literature, one can find several approaches to calculate LF parameters. First, there are wave function quantum chemistry methods [81]. However, it is difficult for these methods to treat a periodic crystal, and they become numerically expansive for heavy ions and large systems. There exist numerous attempts in the scientific literature to calculate multiplets and LF parameters in an ab initio style and based on density functional theory (DFT) [82,83,84]. The authors of Refs. [12,85] follow a much simpler way by starting with the non-spin-polarized calculation using GGA functional [86]. Then, they obtain the LF parameters by a Wannier fit to the non-magnetic band structure. In Ref. [85], the LF parameters serve as input for an exact diagonalization computer program ELISA (electrons localized in single atom) to calculate the response functions sensible to local multiplet effects, i.e., electron paramagnetic resonance (EPR), optical spectroscopy, inelastic neutron scattering (INS), X-ray absorption, and X-ray magnetic circular dichroism (XAS and XMCD) as well as resonant inelastic X-ray scattering.
When RIXS experiment exploits a resonance on a core level of a transition metal ion, its intensity is given by the formula
where is the energy transfer, the indices i and f denote initial and final states, respectively, and with the scattering amplitude
where we sum over all intermediate states m, and are polarization vectors of incoming and outgoing X-ray radiation.
The optical absorption spectra are calculated by using the approach of Sugano and Tanabe [87], where the d-d transitions between two states a and b become possible by combining a parity changing perturbation with the dipole operator to give the transition probability by
where is the energy difference between the given configuration with an incomplete d shell and the first excited configuration with odd parity.
To calculate the optical and X-ray spectra, the dipole transition probabilities are calculated in the ELISA code as it was published for XAS and XMCD [88].
5.2. Spin-Hamiltonians and Magnetic Response
As we have already mentioned, in strongly correlated systems, charge and spin degrees of freedom are well separated in energy. For insulators, the spin and phonon excitations have the lowest energy and thus are responsible for thermodynamic properties. Magnetic properties are described by effective spin-Hamiltonians. Theoretical determination of parameters of the spin-Hamiltonians is the application of Löwdin downfolding to the generalized Hubbard model. The downfolding for magnetic impurities in non-magnetic materials is performed in three steps [89]: First, the virtual hoppings of electrons between the impurity ion and surrounding ligands are eliminated, and one obtains an effective ligand-field Hamiltonian. In the second step, one takes into account the fact that the largest part of the LF Hamiltonian (usually, the cubic splitting) is smaller than the remaining Coulomb interactions. Thus, an effective Hamiltonian for the lowest multiplet is obtained. Finally, the couplings of the ground state manifold with higher levels due to the smallest low-symmetry LF terms and by the spin-orbit interaction are eliminated. Thus, it is possible to obtain an analytical closed expression which connects the parameters of the microscopic Hamiltonian of the generalized Hubbard model with the parameters of the effective spin Hamiltonian [85,89,90].
Analogous downfolding is possible for the extended systems where magnetic ions form a regular sublattice. We have already mentioned the equivalence of the Heisenberg model and the low-energy behavior of the half-filled Hubbard model [38,39,40,41] and of the undoped Emery model (e.g., [55,91,92] and references therein). The account of spin-orbit interaction allows obtaining anisotropic terms [93,94,95].
Now, it becomes a standard to obtain the parameters of a spin-Hamiltonian from the spin-density-functional calculations. Comparison of total energies of different magnetic configuration allows finding the exchange values. Here, we cite only a few examples of such determination of parameters [96,97,98] just for the illustration of the method. In most cases, the density-functional theory (DFT) calculations do not provide exact values of the exchange interactions, but they allow establishing the hierarchy of the interactions. This is very important for the compounds with competing frustrated interactions. The refinement of the parameters is then possible by comparison with an experiment. Fitting of the inelastic neutron scattering (INS) spectra within the linear spin-wave theory may be ambiguous. It was the case of the quasi-one-dimensional edge-shared cuprate compound. First, the INS spectrum of was interpreted in terms of an antiferromagnetic model [99], but the DFT calculations and other experimental evidence has shown that the main interactions along the chain are ferromagnetic nearest neighbor and antiferromagnetic next nearest neighbor [100,101]. Both sets of parameters explain the measured INS spectrum.
Once the spin-Hamiltonian is established, all the magnetic properties of the compound may be described. For example, to model the temperature dependence of the magnetic susceptibility , the open-source program code HTE10 may be used [102,103,104]. It provides the tenth-order high-temperature expansion (HTE) of a general Heisenberg model with up to four different exchange parameters , , , and . The tenth-order HTE is indispensable for systems where the scale of the exchange interactions is comparable to or exceeds the scale of thermal energy in the entire range of measurement temperatures [71,105,106]. Since the maximal measurement temperature is several hundred Kelvins under normal laboratory conditions, it has to be used in the cases where the exchange energy values (i.e., K) are of comparable order and where the susceptibility does not obey the Curie–Weiss law that follows from the second-order HTE. The Curie–Weiss law fitting of experimental data, which is a common practice, may lead to false estimates of magnetic interactions in such a material [105]. The program HTE10 calculates the exact coefficients of the normalized susceptibility per one spin calculated in the tenth-order of HTE,
and Padé approximants (ratios of two polynomials of m-th and n-th order, and , respectively) , . The Padé approximants allow extending the region of validity of the HTE [103].
5.3. Electron Energy Loss Spectroscopy
What is actually measured in transmission electron energy loss spectroscopy (EELS) experiments is the partial cross section [107,108] that may be decomposed into an amplitude factor and a dynamic structure factor
The dynamic structure factor characterizes the linear response of the whole electronic system on longitudinal electric fields with the momentum and frequency (the ionic contribution may be neglected for the considered frequency range of the order of several eV). Pronounced peaks in are related with charge excitations: plasmons and excitons (sometimes all of them are called “excitons” [109]). The dynamic structure factor is related to the density–density correlation function
where is the inverse temperature,
is the electronic density operator in the localized basis, the summation runs over all lattice sites and orbital sorts s, and means the thermodynamic average. For , we have
is the retarded Green’s function that defines the inverse dielectric function
with being the volume of the unit cell, and e is the electronic charge. The function describes the response to the unscreened external potential. The response to the total, screened potential is given by the function [110]
In the diagrammatic language, the linear response to the total field may be expressed by the polarization operator where only irreducible graphs (which do not contain the contribution of the macroscopic electric field) should be taken into account [111,112]. Combining Equations (108) and (109), we express the dielectric permittivity via
Substituting from Equation (110) to Equation (109), we obtain the relation
which is exact for , as it was shown in Ref. [111]. The density response function calculated within a generalized Hubbard model is an approximation to [113]. In other words, it describes the motion of transverse (or “mechanical” by terminology introduced in Section 2.2.2 of the Agranovich and Ginzburg book [109]) excitons. The transverse (“mechanical”) excitons are excitations that correspond to poles of dielectric permittivity, Equation (110), zeros of the inverse dielectric function, Equation (108), are determined by short-range interactions.
Using the spectral representation, we may write
Here, we bear in mind that the Hubbard model contributes to transitions in the low frequency region with of the order of the bandwidth, and the electrons of the rest of the solid are excited only at higher energies. In zero approximation, we may assume that in the frequency region , the electronic polarization of the rest of the solid follows the external field immediately In other words, the Hubbard model is embedded into the medium with dielectric permeability In fact, may have its own dispersion and may be quite anisotropic for a layered or quasi-one-dimensional compound. In principle, it should be taken from, e.g., LDA calculations (we have assumed that the rest of the solid is uncorrelated) or from the experiment. It is obvious that the peak positions of the loss function
and their intensity strongly depend on the value of . Usually, one neglects the -dependence and the anisotropy of , but it is a crude approximation, as well as another one which assumes . For a quantitative description of EELS experiments, the detailed knowledge of is necessary. Then, the total dielectric function and its inverse are
In Ref. [56], the problem of dielectric response in the strong coupling regime of a charge-transfer insulator was considered. An approach that starts from the correlated paramagnetic ground state with strong antiferromagnetic fluctuations was proposed. A set of coupled equations of motion for the two-particle Green’s function was obtained and approximately solved by means of the projection technique. The solution is expressed by a two-particle basis that includes the excitonic states with electron and hole separated at various distances. The method was applied to the multiband Hubbard (Emery) model that describes layered cuprates. It was shown that strongly dispersive branches exist in the excitonic spectrum of the ’minimal’ Emery model (). For this purpose, the downfolding to the spin-fermion model, Equation (98), was performed using the canonical transform, Equation (97), for the Hamiltonian and for the density operator, Equation (106). Then, the motion of electrons and holes in the effective Hamiltonian was considered. The exciton spectrum dependencies were analyzed on finite oxygen hopping and on the value of on-site repulsion on oxygen, .
5.4. Angle-Resolved Photoemission Spectroscopy
It is commonly believed that the intensity of the angle-resolved photoemission spectra (ARPES) is proportional to the one-particle spectral function [114], which is an imaginary part of the retarded Green’s function [cf. Equation (84)] divided by
where annihilates an electron in a bulk Bloch state, , the time-dependent operator is , and the angular brackets denote the ground state or thermodynamic average, Equation (72).
In Ref. [115], it was shown that this is the case only for one- and two-dimensional systems with a negligible dispersion normal to the surface. However, the actual crystals are three-dimensional, and the ARPES intensity (i.e., the steady radial photocurrent of electrons emerging from the solid along the observation direction defined by the unit vector with energies between E and ) is proportional to the spectral function of a more complicated Green’s function
where the operator
creates an electron in a state with the wave function
Here, is the low-energy electron diffraction (LEED) wave function, is the operator of electron–light coupling. The function decays into the solid owing to the spatial decay of the LEED function, and, at the same time, it rapidly vanishes in the vacuum owing to the confinement of the initial states.
It was shown how the spectra depend on physical properties of the initial and final states of the photoemission process. Both kinds of states are solutions of the Schrödinger equation with the same Hamiltonian. For the initial states, it is necessary to find the Green’s function of the semi-infinite crystal. In the description of final states, the inelastic scattering due to electron–electron interaction in the propagation of the outgoing electron may be taken into account phenomenologically by introducing an absorbing optical potential into the effective Schrödinger equation for the function [116,117,118].
6. Application of the Methods to Specific Material Families
In this section, we briefly outline applications of the above methods for studies of strongly correlated materials.
6.1. High- Cuprate Superconductors
In cuprate materials, the most important features of the electronic structure are a large hybridization of O and Cu states in the -band and a strong local Coulomb repulsion on Cu states in the CuO plane. As we have already mentioned in Section 4.2, the generalized Hubbard model was proposed by Emery [27], Equation (94). The hopping parameters t, were taken from DFT band-structure calculations that were regarded as equivalent to applying mean-field theory to the model. Hubbard repulsion parameters were derived from photoemission and optical experiments in Refs. [119,120,121]. Later, the calculations with the constrained-density-functional approach [122,123] confirmed the obtained values. The importance of the account of Cu-O direct exchange was pointed out in Ref. [124].
Within the Emery model, the hole spectrum [53,54,125,126], optical conductivity [127] and EELS [56] were studied. The mechanism of superconductivity was proposed in Ref. [128].
The model (see Section 4.3) obtained by downfolding of the Emery model allowed describing most of the low-energy physics of the high- superconductors. A comprehensive review is given in the book [2].
6.2. Edge-Shared Cuprates
The electronic structure close to Fermi energy of these compounds is defined by Cu and oxygen states in CuO chains (Figure 12). As we have noted in Section 4.5, the electronic structure of the chain is described by the five-band model, Equation (100). The magnetic part of its spectrum is well described by the one-dimensional spin-1/2 - Heisenberg model.
The ESC compounds represent a particular class of quantum magnets in which the local geometry gives rise to competing nearest ferromagnetic (FM) or antiferromagnetic (AFM) exchange coupling and frustrating antiferromagnetic next-nearest neighbor superexchange couplings.
In this rich family, one of the most studied compounds is LiCuO. The INS studies reported in Ref. [68] supplemented by the DFT calculations and exact diagonalization studies of CuO-clusters (n = 5, 6) allowed establishing a set of consistent parameters of the five-band model that describe optical, EELS, O XAS-spectral data [24,129], RIXS spectra [34,70], value of the magnetic saturation field [130], and temperature dependence of magnetic susceptibility [105].
7. Concluding Remarks: Building of a Microscopic Model for a Description of a Specific Material
We have outlined a realistic strategy in the description of transition metal compounds.
The common steps of the model building are outlined in Figure 13. First, state-of-the-art density functional theory calculations should be performed for the given composition and the crystal structure. Numerous computer codes are available for this purpose. We mention here the most popular codes: the Vienna ab initio simulation package (VASP) [131,132], WIEN2k [133], and FPLO [134]. A comparison of accuracy and an extensive list of the DFT codes may be found in Refs. [135,136]. If it is difficult to make a DFT calculation (e.g., because of a large unit cell or in the case of modeling of an impurity), Harrison’s model (see Appendix D) [137] may be used.
Figure 13.
Scheme of the building of a microscopic model for a description of a specific material.
Photoemission spectra provide an additional input that allow estimating the value of the Hubbard repulsion U for the transition metal ions.
On the base of the DFT calculations and photoemission data, the hierarchy of interactions in the compound may be established. Then, the generalized many-band Hubbard model is formulated. This model allows describing the electronic structure of the system on the energy scale of several eV. The general features of charge response (approximate energies of charge-transfer transitions) may be estimated on this step.
For the calculation of magnetic response and of thermodynamic properties, one needs to pass to the low-energy scale (about onetenth or one one-hundredth of eV) using Löwdin downfolding, canonical transform or a mapping of models using energy spectra of small clusters. In previous Section 2.1 and Section 2.2, we have given examples of mapping of low-energy spectra of Hubbard models onto the Heisenberg model. These methods allow connecting the parameters of the low-energy model with the parameters of the initial Hubbard model.
We have also shown that the detailed calculations of charge response should take into account the magnetic state of the system.
Funding
This research was supported by National Academy of Sciences of Ukraine (Project No. III-2-22.)
Acknowledgments
I am grateful to my colleagues M. D. Glinchuk, A. F. Barabanov, L. A. Maksimov, S.-L. Drechsler, R. Hayn, V. V. Laguta, A. Stepanov, A. M. Daré, A. Savoyant, I. V. Kondakova, J. Richter, J. Malek, S. Nishimoto, H. Rosner, K. Koch, K. Koepernik, M. D. Kuz’min, and E. E. Krasovskii for many fruitful discussions and for collaboration.
Conflicts of Interest
The author declares no conflict of interest.
Abbreviations
The following abbreviations are used in this manuscript:
| MDPI | Multidisciplinary Digital Publishing Institute |
| AFM | Antiferromagnetic |
| ARPES | Angle-resolved photoemission spectroscopy |
| CF | Crystal field |
| DFT | Density-functional theory |
| DMFT | Dynamical mean-field theory |
| EELS | Electron energy loss spectroscopy |
| EPR | electron paramagnetic resonance |
| ESC | edge-shared cuprates |
| GGA | Generalized gradient approximation |
| HTE | High-temperature expansion |
| HTSC | high- cuprate superconductors |
| INS | Inelastic neutron scattering |
| LDA | Local density approximation |
| LEED | Low-energy electron diffraction |
| LF | Ligand field |
| PAM | Periodic Anderson model |
| RIXS | Resonance inelastic X-ray scattering |
| SIAM | Single impurity Anderson model |
| XAS | X-ray absorption |
| XMCD | X-ray magnetic circular dichroism |
Appendix A. Details of “Cu-O-Cu” Cluster Spectrum
Appendix A.1. Spectrum in the Singlet Sector
It is instructive to expand the above expressions in powers of to reproduce the perturbative expansion up to the fourth order
The matrix (A1) has tridiagonal form, and its eigenvectors are
where the basis states are given by Equations (27)–(29) correspondingly, and are polinoms, given by the recursion
with the initial conditions ; are diagonal, and are off-diagonal elements of the matrix (A1), thus
Up to the second order, we have for the eigenvector matrix
here .
The odd singlet (31) has the energy
Appendix A.2. Triplet Sector
Appendix B. Simplification of the Result of Fourth-Order Canonical Transform
Let us simplify the expression (63)
We recall that , then
Now, the last term we rewrite as following
Combining terms with similar denominators, we have
Appendix C. Hubbard Projection Operators
The Hubbard projection operators are defined as
They are related with bare fermionic and spin operators through
Other relations are easy to obtain with the use of the main property of Hubbard operator algebra
that follows immediately from the definition (A18).
Appendix D. Harrison’s Understanding of Electronic Structure
In his seminal book [137], W.A. Harrison succeeded in describing the electronic structure of a huge number of compounds, assuming the existence of an orthonormal basis of one-particle spherically symmetric functions localized on lattice sites. It is also a “minimal” basis set, i.e., one radial function suffices for the description of one electronic shell.
According to the Harrison model [137], the hopping between a -function of metal ion () and -function of ligand () is expressed via direction cosines of the direction of the vector , and two Slater–Koster [138] parameters , which depend on sorts of metal ions and on the distance
where the value (Å) is specific for a transition metal ion. The distance R is measured in Å and in eV and the ratio Å.
Often, the Harrison model is applied to strongly correlated solids before/instead of elaborated DFT calculations.
References
- Bednorz, J.G.; Mueller, K.A. Possible high Tc superconductivity in the Ba-La-Cu-O system. Z. Phys. B Condens. Matter 1986, 64, 189–193. [Google Scholar] [CrossRef]
- Plakida, N. High-Temperature Cuprate Superconductors: Experiment, Theory, and Applications; Springer: Berlin/Heidelberg, Germany, 2010. [Google Scholar] [CrossRef]
- Schollwöck, U.; Richter, J.; Farnell, D.J.J.; Bishop, R.F. Quantum Magnetism. In Lecture Notes in Physics; Springer-Verlag: Berlin/Heidelberg, Germany, 2004; Volume 645. [Google Scholar] [CrossRef]
- Lacroix, C.; Mendels, P.; Mila, F. (Eds.) Introduction to Frustrated Magnetism; Springer-Verlag: Berlin/Heidelberg, Germany, 2011. [Google Scholar] [CrossRef]
- Nishimoto, S.; Drechsler, S.L.; Kuzian, R.; Richter, J.; van den Brink, J. Interplay of interchain interactions and exchange anisotropy: Stability and fragility of multipolar states in spin-12 quasi-one-dimensional frustrated helimagnets. Phys. Rev. B 2015, 92, 214415. [Google Scholar] [CrossRef]
- Balents, L.; Starykh, O.A. Quantum Lifshitz Field Theory of a Frustrated Ferromagnet. Phys. Rev. Lett. 2016, 116, 177201. [Google Scholar] [CrossRef] [PubMed]
- Uehara, M.; Mori, S.; Chen, C.H.; Cheong, S.W. Percolative phase separation underlies colossal magnetoresistance in mixed-valent manganites. Nature 1999, 399, 560–563. [Google Scholar] [CrossRef]
- Law, J.Y.; Franco, V.; Moreno-Ramírez, L.M.; Conde, A.; Karpenkov, D.Y.; Radulov, I.; Skokov, K.P.; Gutfleisch, O. A quantitative criterion for determining the order of magnetic phase transitions using the magnetocaloric effect. Nat. Commun. 2018, 9, 2680. [Google Scholar] [CrossRef]
- Tiwari, J.K.; Kumar, B.; Chauhan, H.C.; Ghosh, S. Magnetism in quasi-two-dimensional tri-layer La2.1Sr1.9Mn3O10 manganite. Sci. Rep. 2021, 11, 14117. [Google Scholar] [CrossRef]
- Zhang, H.; Wang, Y.; Wang, H.; Huo, D.; Tan, W. Room-temperature magnetoresistive and magnetocaloric effect in La1-xBaxMnO3 compounds: Role of Griffiths phase with ferromagnetic metal cluster above Curie temperature. J. Appl. Phys. 2022, 131, 043901. [Google Scholar] [CrossRef]
- Spaldin, N.; Ramesh, R. Advances in magnetoelectric multiferroics. Nat. Mat. 2019, 18, 203–212. [Google Scholar] [CrossRef]
- Reschke, S.; Tsirlin, A.A.; Khan, N.; Prodan, L.; Tsurkan, V.; Kézsmárki, I.; Deisenhofer, J. Structure, phonons, and orbital degrees of freedom in Fe2Mo3O8. Phys. Rev. B 2020, 102, 094307. [Google Scholar] [CrossRef]
- Broholm, C.; Cava, R.; Kivelson, S.; Nocera, D.; Norman, M.; Senthil, T. Quantum spin liquids. Science 2020, 367, eaay0668. [Google Scholar] [CrossRef]
- Li, N.; Huang, Q.; Yue, X.Y.; Chu, W.J.; Chen, Q.; Choi, E.S.; Zhao, X.; Zhou, H.D.; Sun, X.F. Possible itinerant excitations and quantum spin state transitions in the effective spin-1/2 triangular-lattice antiferromagnet Na2BaCo(PO4)2. Nat. Commun. 2020, 11, 4216. [Google Scholar] [CrossRef]
- Liu, H.; Chaloupka, J.; Khaliullin, G. Kitaev Spin Liquid in 3d Transition Metal Compounds. Phys. Rev. Lett. 2020, 125, 047201. [Google Scholar] [CrossRef] [PubMed]
- Fulde, P. Electron Correlations in Molecules and Solids; Springer Series in Solid-State Sciences; Springer-Verlag: Berlin/Heidelberg, Germany, 1991. [Google Scholar] [CrossRef]
- Hartree, D. The Wave Mechanics of an Atom with a Non-Coulomb Central Field. Part I. Theory and Methods. Math. Proc. Camb. Philos. Soc. 1928, 24, 89–110. [Google Scholar] [CrossRef]
- Fock, V. Näherungsmethode zur Lösung des quantenmechanischen Mehrkörperproblems. Z. Phys. 1930, 61, 126–148. [Google Scholar] [CrossRef]
- Slater, J.C. Note on Hartree’s Method. Phys. Rev. 1930, 35, 210–211. [Google Scholar] [CrossRef]
- Hückel, E. Quantentheoretische Beiträge zum Benzolproblem. Z. Phys. 1931, 70, 204–286. [Google Scholar] [CrossRef]
- Hubbard, J. Electron Correlations in Narrow Energy Bands. Proc. R. Soc. Lond. Math. Phys. Eng. Sci. 1963, 276, 238–257. [Google Scholar] [CrossRef]
- Heitler, W.; London, F. Interaction between neutral atoms and homopolar binding according to quantum mechanics. In Quantum Chemistry; World Scientific: Singapore, 2012; pp. 140–155. [Google Scholar] [CrossRef]
- Oleś, A.M.; Khaliullin, G.; Horsch, P.; Feiner, L.F. Fingerprints of spin-orbital physics in cubic Mott insulators: Magnetic exchange interactions and optical spectral weights. Phys. Rev. B 2005, 61, 214431. [Google Scholar] [CrossRef]
- Málek, J.; Drechsler, S.L.; Nitzsche, U.; Rosner, H.; Eschrig, H. Temperature-dependent optical conductivity of undoped cuprates with weak exchange. Phys. Rev. B 2008, 78, 060508. [Google Scholar] [CrossRef]
- Drechsler, S.L.; Málek, J.; Nishimoto, S.; Richter, J.; Kuzian, R.; Rosner, H.; Eschrig, H. Low-temperature pecularities of the optical response in undoped cuprates. J. Phys. Conf. Ser. 2009, 150, 042026. [Google Scholar] [CrossRef]
- Kuzian, R. Mechanism of temperature dependence of RIXS spectra in charge transfer insulators. In Proceedings of the Electronic Structure and Electron Spectroscopies (ES&ES 2013), Kyiv, Ukraine, 20–23 May 2013; p. 16. [Google Scholar]
- Emery, V.J. Theory of high-Tc superconductivity in oxides. Phys. Rev. Lett. 1987, 58, 2794–2797. [Google Scholar] [CrossRef] [PubMed]
- Zhang, F.C.; Rice, T.M. Effective Hamiltonian for the superconducting Cu oxides. Phys. Rev. B 1988, 37, 3759–3761. [Google Scholar] [CrossRef]
- Barabanov, A.F.; Maksimov, L.; Uimin, G.V. Elementary excitations in CuO2 planes. JETP Lett. 1988, 47, 622. [Google Scholar]
- Ament, L.J.P.; Forte, F.; van den Brink, J. Ultrashort lifetime expansion for indirect resonant inelastic X-ray scattering. Phys. Rev. B 2007, 75, 115118. [Google Scholar] [CrossRef]
- Kotani, A.; Shin, S. Resonant inelastic X-ray scattering spectra for electrons in solids. Rev. Mod. Phys. 2001, 73, 203–246. [Google Scholar] [CrossRef]
- Ament, L.J.P.; van Veenendaal, M.; Devereaux, T.P.; Hill, J.P.; van den Brink, J. Resonant inelastic X-ray scattering studies of elementary excitations. Rev. Mod. Phys. 2011, 83, 705–767. [Google Scholar] [CrossRef]
- Okada, K.; Kotani, A. Momentum-Specified Oxygen-K Resonant Inelastic X-ray Scattering for Cuprates. J. Phys. Soc. Jpn. 2007, 76, 123706. [Google Scholar] [CrossRef]
- Monney, C.; Bisogni, V.; Zhou, K.J.; Kraus, R.; Strocov, V.N.; Behr, G.; Málek, J.; Kuzian, R.; Drechsler, S.L.; Johnston, S.; et al. Determining the Short-Range Spin Correlations in the Spin-Chain Li2CuO2 and CuGeO3 Compounds Using Resonant Inelastic X-Ray Scattering. Phys. Rev. Lett. 2013, 110, 087403. [Google Scholar] [CrossRef] [PubMed]
- Löwdin, P.O. A Note on the Quantum-Mechanical Perturbation Theory. J. Chem. Phys. 1951, 19, 1396–1401. [Google Scholar] [CrossRef]
- Löwdin, P.O. Studies in perturbation theory: PartI.An elementary iteration-variation procedure for solving the Schrödinger equation by partitioning technique. J. Mol. Spectrosc. 1963, 10, 12–33. [Google Scholar] [CrossRef]
- Anderson, P.W. New Approach to the Theory of Superexchange Interactions. Phys. Rev. 1959, 115, 2–13. [Google Scholar] [CrossRef]
- Harris, A.B.; Lange, R.V. Single-Particle Excitations in Narrow Energy Bands. Phys. Rev. 1967, 157, 295–314. [Google Scholar] [CrossRef]
- Takahashi, M. Half-filled Hubbard model at low temperature. J. Phys. Solid State Phys. 1977, 10, 1289. [Google Scholar] [CrossRef]
- Chao, K.A.; Spalek, J.; Oles, A.M. Kinetic exchange interaction in a narrow S-band. J. Phys. Solid State Phys. 1977, 10, L271. [Google Scholar] [CrossRef]
- Delannoy, J.Y.P.; Gingras, M.J.P.; Holdsworth, P.C.W.; Tremblay, A.M.S. Néel order, ring exchange, and charge fluctuations in the half-filled Hubbard model. Phys. Rev. B 2005, 72, 115114. [Google Scholar] [CrossRef]
- Anderson, P.W. Localized Magnetic States in Metals. Phys. Rev. 1961, 124, 41–53. [Google Scholar] [CrossRef]
- Anderson, P.W. Local moments and localized states. Rev. Mod. Phys. 1978, 50, 191–201. [Google Scholar] [CrossRef]
- Kondo, J. Resistance Minimum in Dilute Magnetic Alloys. Prog. Theor. Phys. 1964, 32, 37. [Google Scholar] [CrossRef]
- Schrieffer, J.R.; Wolff, P.A. Relation between the Anderson and Kondo Hamiltonians. Phys. Rev. 1966, 149, 491–492. [Google Scholar] [CrossRef]
- Tsvelick, A.; Wiegmann, P. Exact results in the theory of magnetic alloys. Adv. Phys. 1983, 32, 453–713. [Google Scholar] [CrossRef]
- Haldane, F.D.M.; Anderson, P.W. Simple model of multiple charge states of transition metal impurities in semiconductors. Phys. Rev. B 1976, 13, 2553–2559. [Google Scholar] [CrossRef]
- Georges, A.; Kotliar, G.; Krauth, W.; Rozenberg, M.J. Dynamical mean-field theory of strongly correlated fermion systems and the limit of infinite dimensions. Rev. Mod. Phys. 1996, 68, 13–125. [Google Scholar] [CrossRef]
- Vollhardt, D. Dynamical mean-field theory for correlated electrons. Ann. Phys. 2012, 524, 1–19. [Google Scholar] [CrossRef]
- Georges, A.; Kotliar, G. Hubbard model in infinite dimensions. Phys. Rev. B 1992, 45, 6479–6483. [Google Scholar] [CrossRef] [PubMed]
- Anderson, P.W. The Resonating Valence Bond State in La2CuO4 and Superconductivity. Science 1987, 235, 1196–1198. [Google Scholar] [CrossRef] [PubMed]
- Anderson, P.W. Experimental Constraints on the Theory of High- Tc Superconductivity. In A Career in Theoretical Physics; World Scientific: Singapore, 1994; Volume 7, pp. 673–678. [Google Scholar] [CrossRef]
- Barabanov, A.F.; Kuzian, R.O.; Maksimov, L.A. The dependence of the hole spectrum on spin frustration and direct hopping in the two-band Hubbard model. J. Phys. Condens. Matter 1991, 3, 9129. [Google Scholar] [CrossRef]
- Kuzian, R.O.; Hayn, R.; Barabanov, A.F.; Maksimov, L.A. Spin-polaron damping in the spin-fermion model for cuprate superconductors. Phys. Rev. B 1998, 58, 6194–6207. [Google Scholar] [CrossRef]
- Matsukawa, H.; Fukuyama, H. Effective Hamiltonian for High-TcCu Oxides. J. Phys. Soc. Jpn. 1989, 58, 2845–2866. [Google Scholar] [CrossRef]
- Kuzian, R.O.; Hayn, R.; Barabanov, A.F. Dispersion of the dielectric function of a charge-transfer insulator. Phys. Rev. B 2003, 68, 195106. [Google Scholar] [CrossRef]
- Zaanen, J.; Oleś, A.M. Canonical perturbation theory and the two-band model for high-Tc superconductors. Phys. Rev. B 1988, 37, 9423–9438. [Google Scholar] [CrossRef]
- Ramšak, A.; Prelovšek, P. Comparison of effective models for CuO2 layers in oxide superconductors. Phys. Rev. B 1989, 40, 2239–2246. [Google Scholar] [CrossRef]
- Martinez, G.; Horsch, P. Spin polarons in the t-J model. Phys. Rev. B 1991, 44, 317–331. [Google Scholar] [CrossRef] [PubMed]
- Eder, R.; Becker, K.W. Coherent motion of a hole in a two-dimensional quantum antiferromagnet. Z. Phys. B Condens. Matter 1990, 78, 219–227. [Google Scholar] [CrossRef]
- Kane, C.L.; Lee, P.A.; Read, N. Motion of a single hole in a quantum antiferromagnet. Phys. Rev. B 1989, 39, 6880–6897. [Google Scholar] [CrossRef] [PubMed]
- Plakida, N.M.; Oudovenko, V.S.; Yushankhai, V.Y. Temperature and doping dependence of the quasiparticle spectrum for holes in the spin-polaron model of copper oxides. Phys. Rev. B 1994, 50, 6431–6441. [Google Scholar] [CrossRef]
- Mishchenko, A.S.; Prokof’ev, N.V.; Svistunov, B.V. Single-hole spectral function and spin-charge separation in the t-J model. Phys. Rev. B 2001, 64, 033101. [Google Scholar] [CrossRef]
- Zaanen, J.; Sawatzky, G.A.; Allen, J.W. Band gaps and electronic structure of transition metal compounds. Phys. Rev. Lett. 1985, 55, 418–421. [Google Scholar] [CrossRef]
- Larson, B.E.; Ehrenreich, H. Anisotropic superexchange and spin-resonance linewidth in diluted magnetic semiconductors. Phys. Rev. B 1989, 39, 1747–1759. [Google Scholar] [CrossRef]
- Mizuno, Y.; Tohyama, T.; Maekawa, S.; Osafune, T.; Motoyama, N.; Eisaki, H.; Uchida, S. Electronic states and magnetic properties of edge-sharing Cu-O chains. Phys. Rev. B 1998, 57, 5326–5335. [Google Scholar] [CrossRef]
- Okada, K.; Kotani, A. Copper-related information from the oxygen 1s resonant x-ray emission in low-dimensional cuprates. Phys. Rev. B 2002, 65, 144530. [Google Scholar] [CrossRef]
- Lorenz, W.E.A.; Kuzian, R.O.; Drechsler, S.L.; Stein, W.D.; Wizent, N.; Behr, G.; Málek, J.; Nitzsche, U.; Rosner, H.; Hiess, A.; et al. Highly dispersive spin excitations in the chain cuprate Li2CuO2. EPL Europhys. Lett. 2009, 88, 37002. [Google Scholar] [CrossRef]
- Kuzian, R.O.; Nishimoto, S.; Drechsler, S.L.; Málek, J.; Johnston, S.; van den Brink, J.; Schmitt, M.; Rosner, H.; Matsuda, M.; Oka, K.; et al. Ca2Y2Cu5O10: The First Frustrated Quasi-1D Ferromagnet Close to Criticality. Phys. Rev. Lett. 2012, 109, 117207. [Google Scholar] [CrossRef] [PubMed]
- Johnston, S.; Monney, C.; Bisogni, V.; Zhou, K.J.; Kraus, R.; Behr, G.; Strocov, V.N.; Málek, J.; Drechsler, S.L.; Geck, J.; et al. Electron-lattice interactions strongly renormalize the charge-transfer energy in the spin-chain cuprate Li2CuO2. Nat. Commun. 2016, 7, 10563. [Google Scholar] [CrossRef] [PubMed]
- Matsuda, M.; Ma, J.; Garlea, V.O.; Ito, T.; Yamaguchi, H.; Oka, K.; Drechsler, S.L.; Yadav, R.; Hozoi, L.; Rosner, H.; et al. Highly dispersive magnons with spin-gap-like features in the frustrated ferromagnetic S=12 chain compound Ca2Y2Cu5O10 detected by inelastic neutron scattering. Phys. Rev. B 2019, 100, 104415. [Google Scholar] [CrossRef]
- Kugel’, K.I.; Khomskii, D.I. The Jahn-Teller effect and magnetism: Transition metal compounds. Sov. Phys. Uspekhi 1982, 25, 231. [Google Scholar] [CrossRef]
- Kilian, R.; Khaliullin, G. Orbital polarons in the metal-insulator transition of manganites. Phys. Rev. B 1999, 60, 13458–13469. [Google Scholar] [CrossRef]
- van den Brink, J.; Horsch, P.; Oleś, A.M. Photoemission Spectra of LaMnO3 Controlled by Orbital Excitations. Phys. Rev. Lett. 2000, 85, 5174–5177. [Google Scholar] [CrossRef]
- Daghofer, M.; Oleś, A.M.; von der Linden, W. Orbital polarons versus itinerant eg electrons in doped manganites. Phys. Rev. B 2004, 70, 184430. [Google Scholar] [CrossRef]
- Wohlfeld, K.; Daghofer, M.; Oleś, A.M.; Horsch, P. Spectral properties of orbital polarons in Mott insulators. Phys. Rev. B 2008, 78, 214423. [Google Scholar] [CrossRef]
- Wohlfeld, K.; Oleś, A.M.; Horsch, P. Orbitally induced string formation in the spin-orbital polarons. Phys. Rev. B 2009, 79, 224433. [Google Scholar] [CrossRef]
- Wohlfeld, K.; Daghofer, M.; Oleś, A.M. Spin-orbital physics for p orbitals in alkali RO2 hyperoxides—Generalization of the Goodenough-Kanamori rules. EPL 2011, 96, 27001. [Google Scholar] [CrossRef]
- Bethe, H. Splitting of terms in crystals. (Termsaufspaltung in Kristallen.). Ann. Phys 1929, 3, 133. [Google Scholar] [CrossRef]
- Bethe, H.A. Splitting of Terms in Crystals. In Selected Works of Hans A Bethe; World Scientific: Singapore, 1997; p. 1. [Google Scholar] [CrossRef]
- Hozoi, L.; Siurakshina, L.; Fulde, P.; van den Brink, J. Ab Initio determination of Cu 3d orbital energies in layered copper oxides. Sci. Rep. 2011, 1, 65. [Google Scholar] [CrossRef]
- Steinbeck, L.; Richter, M.; Nitzsche, U.; Eschrig, H. Ab initio calculation of electronic structure, crystal field, and intrinsic magnetic properties of Sm2Fe17, Sm2Fe17N3, Sm2Fe17C3, and Sm2Co17. Phys. Rev. B 1996, 53, 7111–7127. [Google Scholar] [CrossRef] [PubMed]
- Haverkort, M.W.; Zwierzycki, M.; Andersen, O.K. Multiplet ligand-field theory using Wannier orbitals. Phys. Rev. B 2012, 85, 165113. [Google Scholar] [CrossRef]
- Novák, P.; Knížek, K.; Kuneš, J. Crystal field parameters with Wannier functions: Application to rare-earth aluminates. Phys. Rev. B 2013, 87, 205139. [Google Scholar] [CrossRef]
- Kuzian, R.O.; Janson, O.; Savoyant, A.; van den Brink, J.; Hayn, R. Ab initio based ligand field approach to determine electronic multiplet properties. Phys. Rev. B 2021, 104, 085154. [Google Scholar] [CrossRef]
- Perdew, J.P.; Burke, K.; Ernzerhof, M. Generalized Gradient Approximation Made Simple. Phys. Rev. Lett. 1996, 77, 3865–3868. [Google Scholar] [CrossRef]
- Sugano, S.; Tanabe, Y.; Kamimura, H. Multiplets of Transition Metal Ions in Crystals; Academic Press: New York, NY, USA, 1970. [Google Scholar]
- Giovanelli, L.; Savoyant, A.; Abel, M.; Maccherozzi, F.; Ksari, Y.; Koudia, M.; Hayn, R.; Choueikani, F.; Otero, E.; Ohresser, P.; et al. XAS and XMCD measurements and theoretical analysis to detect the spin state in a Mn based metal-organic network. J. Phys. Chem. C 2014, 118, 11738. [Google Scholar] [CrossRef]
- Kuzian, R.O.; Daré, A.M.; Sati, P.; Hayn, R. Crystal-field theory of Co2+ in doped ZnO. Phys. Rev. B 2006, 74, 155201. [Google Scholar] [CrossRef]
- Sati, P.; Hayn, R.; Kuzian, R.; Régnier, S.; Schäfer, S.; Stepanov, A.; Morhain, C.; Deparis, C.; Laügt, M.; Goiran, M.; et al. Magnetic Anisotropy of Co2+ as Signature of Intrinsic Ferromagnetism in ZnO:Co. Phys. Rev. Lett. 2006, 96, 017203. [Google Scholar] [CrossRef] [PubMed]
- Aligia, A.A. Calculation of the four-spin cyclic exchange in cuprates. Phys. Rev. B 2018, 98, 125118. [Google Scholar] [CrossRef]
- Hoffmann, M.; Blügel, S. Systematic derivation of realistic spin models for beyond-Heisenberg solids. Phys. Rev. B 2020, 101, 024418. [Google Scholar] [CrossRef]
- Shekhtman, L.; Entin-Wohlman, O.; Aharony, A. Moriya’s anisotropic superexchange interaction, frustration, and Dzyaloshinsky’s weak ferromagnetism. Phys. Rev. Lett. 1992, 69, 836–839. [Google Scholar] [CrossRef]
- Tornow, S.; Entin-Wohlman, O.; Aharony, A. Anisotropic superexchange for nearest and next-nearest coppers in chain, ladder, and lamellar cuprates. Phys. Rev. B 1999, 60, 10206–10215. [Google Scholar] [CrossRef]
- Yushankhai, V.; Hayn, R. Anisotropic superexchange of a 90∘Cu-O-Cu bond. EPL Europhys. Lett. 1999, 47, 116. [Google Scholar] [CrossRef][Green Version]
- Janson, O.; Rousochatzakis, I.; Tsirlin, A.A.; Belesi, M.; Leonov, A.A.; Rößler, U.K.; van den Brink, J.; Rosner, H. The quantum nature of skyrmions and half-skyrmions in Cu2OSeO3. Nat. Commun. 2014, 5, 5376. [Google Scholar] [CrossRef]
- Edström, A.; Ederer, C. Prediction of a Giant Magnetoelectric Cross-Caloric Effect around a Tetracritical Point in Multiferroic SrMnO3. Phys. Rev. Lett. 2020, 124, 167201. [Google Scholar] [CrossRef]
- Heinze, L.; Le, M.D.; Janson, O.; Nishimoto, S.; Wolter, A.U.B.; Süllow, S.; Rule, K.C. Low-energy spin excitations of the frustrated ferromagnetic J1-J2 chain material linarite PbCuSO4(OH)2 in applied magnetic fields parallel to the b axis. Phys. Rev. B 2022, 106, 144409. [Google Scholar] [CrossRef]
- Masuda, T.; Zheludev, A.; Bush, A.; Markina, M.; Vasiliev, A. Competition between Helimagnetism and Commensurate Quantum Spin Correlations in LiCu2O2. Phys. Rev. Lett. 2004, 92, 177201. [Google Scholar] [CrossRef]
- Gippius, A.; Morozova, E.; Moskvin, A.; Zalessky, A.; Bush, A.; Baenitz, M.; Rosner, H.; Drechsler, S.L. NMR and local-density-approximation evidence for spiral magnetic order in the chain cuprate LiCu2O2. Phys. Rev. B 2004, 70, 020406. [Google Scholar] [CrossRef]
- Drechsler, S.L.; Málek, J.; Richter, J.; Moskvin, A.S.; Gippius, A.A.; Rosner, H. Comment on “Competition between Helimagnetism and Commensurate Quantum Spin Correlations in LiCu2O2”. Phys. Rev. Lett. 2005, 94, 039705. [Google Scholar] [CrossRef]
- Schmidt, H.J.; Lohmann, A.; Richter, J. Eighth-order high-temperature expansion for general HeisenbergHamiltonians. Phys. Rev. B 2011, 84, 104443. [Google Scholar] [CrossRef]
- Lohmann, A.; Schmidt, H.J.; Richter, J. Tenth-order high-temperature expansion for the susceptibility and the specific heat of spin-s Heisenberg models with arbitrary exchange patterns: Application to pyrochlore and kagome magnets. Phys. Rev. B 2014, 89, 014415. [Google Scholar] [CrossRef]
- Tenth-Order HTE; HTE10 Package. 2014. Available online: http://www.uni-magdeburg.de/jschulen/HTE10/ (accessed on 28 November 2022).
- Kuzian, R.O.; Klingeler, R.; Lorenz, W.E.A.; Wizent, N.; Nishimoto, S.; Nitzsche, U.; Rosner, H.; Milosavljevic, D.; Hozoi, L.; Yadav, R.; et al. Comment on “Oxygen vacancy-induced magnetic moment in edge-sharing CuO2 chains of Li2CuO2”. New J. Phys. 2018, 20, 058001. [Google Scholar] [CrossRef]
- Zagorodniy, Y.O.; Kuzian, R.O.; Kondakova, I.V.; Maryško, M.; Chlan, V.; Štěpánková, H.; Olekhnovich, N.M.; Pushkarev, A.V.; Radyush, Y.V.; Raevski, I.P.; et al. Chemical disorder and 207Pb hyperfine fields in the magnetoelectric multiferroic Pb(Fe1/2Sb1/2)O3 and its solid solution with Pb(Fe1/2Nb1/2)O3. Phys. Rev. Mater. 2018, 2, 014401. [Google Scholar] [CrossRef]
- Fink, J. Recent Developments in Energy-Loss Spectroscopy. Adv. Electron. Electron Phys. 1989, 75, 121–232. [Google Scholar] [CrossRef]
- Schnatterly, S. Inelastic Electron Scattering Spectroscopy. Solid State Phys. 1979, 34, 275–358. [Google Scholar] [CrossRef]
- Agranovich, V.M.; Ginzburg, V. Crystal Optics with Spatial Dispersion, and Excitons; Springer: Berlin/Heidelberg, Germany, 1984. [Google Scholar] [CrossRef]
- Pines, D.; Nozieres, P. The Theory of Quantum Liquids; W.A. Benjamin: New York, NY, USA, 1966. [Google Scholar] [CrossRef]
- Ambegaokar, V.; Kohn, W. Electromagnetic Properties of Insulators. I. Phys. Rev. 1960, 117, 423–431. [Google Scholar] [CrossRef]
- Abrikosov, A.; Gorkov, L.; Dzyaloshinski, I. Methods of Quantum Field Theory in Statistical Physics; Prentice-Hall: Englewood Cliffs, NJ, USA, 1963. [Google Scholar]
- Neudert, R.; Knupfer, M.; Golden, M.S.; Fink, J.; Stephan, W.; Penc, K.; Motoyama, N.; Eisaki, H.; Uchida, S. Manifestation of Spin-Charge Separation in the Dynamic Dielectric Response of One-Dimensional Sr2CuO3. Phys. Rev. Lett. 1998, 81, 657–660. [Google Scholar] [CrossRef]
- Damascelli, A.; Hussain, Z.; Shen, Z.X. Angle-resolved photoemission studies of the cuprate superconductors. Rev. Mod. Phys. 2003, 75, 473–541. [Google Scholar] [CrossRef]
- Kuzian, R.O.; Krasovskii, E.E. One-step approach to ARPES from strongly correlated solids: A Mott-Hubbard system. Phys. Rev. B 2016, 94, 115119. [Google Scholar] [CrossRef]
- Slater, J.C. Damped Electron Waves in Crystals. Phys. Rev. 1937, 51, 840–846. [Google Scholar] [CrossRef]
- Strocov, V.N.; Starnberg, H.I.; Nilsson, P.O. Excited-state bands of Cu determined by VLEED band fitting and their implications for photoemission. Phys. Rev. B 1997, 56, 1717–1725. [Google Scholar] [CrossRef]
- Barrett, N.; Krasovskii, E.E.; Themlin, J.M.; Strocov, V.N. Elastic scattering effects in the electron mean free path in a graphite overlayer studied by photoelectron spectroscopy and LEED. Phys. Rev. B 2005, 71, 035427. [Google Scholar] [CrossRef]
- Mila, F. Parameters of a Hubbard Hamiltonian to describe superconducting Cu oxides. Phys. Rev. B 1988, 38, 11358–11367. [Google Scholar] [CrossRef]
- Eskes, H.; Tjeng, L.H.; Sawatzky, G.A. Cluster-model calculation of the electronic structure of CuO: A model material for the high-Tc superconductors. Phys. Rev. B 1990, 41, 288–299. [Google Scholar] [CrossRef]
- Feiner, L.F.; Jefferson, J.H.; Raimondi, R. Effective single-band models for the high-Tc cuprates. I. Coulomb interactions. Phys. Rev. B 1996, 53, 8751–8773. [Google Scholar] [CrossRef]
- McMahan, A.K.; Martin, R.M.; Satpathy, S. Calculated effective Hamiltonian for La2CuO4 and solution in the impurity Anderson approximation. Phys. Rev. B 1988, 38, 6650–6666. [Google Scholar] [CrossRef]
- Hybertsen, M.S.; Schlüter, M.; Christensen, N.E. Calculation of Coulomb-interaction parameters for La2CuO4 using a constrained-density-functional approach. Phys. Rev. B 1989, 39, 9028–9041. [Google Scholar] [CrossRef]
- Stechel, E.B.; Jennison, D.R. Electronic structure of CuO2 sheets and spin-driven high-Tc superconductivity. Phys. Rev. B 1988, 38, 4632–4659. [Google Scholar] [CrossRef]
- Barabanov, A.F.; Kuzian, R.O.; Maksimov, L.A. Spectral function of small spin polaron in two-dimensional spherically symmetric antiferromagnetic state. Phys. Rev. B 1997, 55, 4015–4018. [Google Scholar] [CrossRef]
- Barabanov, A.; Žasinas, E.; Kuzian, R.; Maksimov, L. Dynamics of small spin polaron in the three-band model of two-dimensional spherically symmetric antiferromagnet. J. Exp. Theor. Phys. 1998, 86, 959–970. [Google Scholar] [CrossRef][Green Version]
- Gordyunin, S.A.; Belemouk, A.M.; Karakozov, A.E.; Barabanov, A.F. The effect of quasinesting and a magnon mode on the antiferromagnetic vector for the optical conductivity of a doped two-dimensional antiferromagnet. J. Exp. Theor. Phys. 2002, 94, 135–148. [Google Scholar] [CrossRef]
- Barabanov, A.F.; Maksimov, L.A.; Mikheenkov, A.V. Spin polaron approach to superconductivity. J. Exp. Theor. Phys. Lett. 2001, 74, 328–331. [Google Scholar] [CrossRef]
- Neudert, R.; Rosner, H.; Drechsler, S.L.; Kielwein, M.; Sing, M.; Hu, Z.; Knupfer, M.; Golden, M.S.; Fink, J.; Nücker, N.; et al. Unoccupied electronic structure of Li2CuO2. Phys. Rev. B 1999, 60, 13413–13417. [Google Scholar] [CrossRef]
- Nishimoto, S.; Drechsler, S.L.; Kuzian, R.O.; van den Brink, J.; Richter, J.; Lorenz, W.E.A.; Skourski, Y.; Klingeler, R.; Büchner, B. Saturation Field of Frustrated Chain Cuprates: Broad Regions of Predominant Interchain Coupling. Phys. Rev. Lett. 2011, 107, 097201. [Google Scholar] [CrossRef] [PubMed]
- Kresse, G.; Hafner, J. Ab initio molecular dynamics for liquid metals. Phys. Rev. B 1993, 47, 558–561. [Google Scholar] [CrossRef]
- Kresse, G.; Furthmüller, J. Efficient iterative schemes for ab initio total-energy calculations using a plane-wave basis set. Phys. Rev. B 1996, 54, 11169–11186. [Google Scholar] [CrossRef]
- Blaha, P.; Schwarz, K.; Madsen, G.K.H.; Kvasnicka, D.; Luitz, J. Wien2k, An Augmented Plane Wave plus Local orbital Program for Calculating the Crystal Properties. 2001. Available online: http://www.wien2k.at (accessed on 28 November 2022).
- Koepernik, K.; Eschrig, H. Full-potential nonorthogonal local-orbital minimum-basis band-structure scheme. Phys. Rev. B 1999, 59, 1743–1757. [Google Scholar] [CrossRef]
- Lejaeghere, K.; Bihlmayer, G.; Björkman, T.; Blaha, P.; Blügel, S.; Blum, V.; Caliste, D.; Castelli, I.E.; Clark, S.J.; Corso, A.D.; et al. Reproducibility in density functional theory calculations of solids. Science 2016, 351, aad3000. [Google Scholar] [CrossRef] [PubMed]
- Richter, M.; Kim, S.J.; Koepernik, K.; Rosner, H.; Möbius, A. Accuracy and Precision in Electronic Structure Computation: Wien2k and FPLO. Computation 2022, 10, 28. [Google Scholar] [CrossRef]
- Harrison, W.A. Electronic Structure and the Properties of Solids; Freeman: San Francisco, CA, USA, 1980. [Google Scholar]
- Slater, J.C.; Koster, G.F. Simplified LCAO Method for the Periodic Potential Problem. Phys. Rev. 1954, 94, 1498–1524. [Google Scholar] [CrossRef]
Disclaimer/Publisher’s Note: The statements, opinions and data contained in all publications are solely those of the individual author(s) and contributor(s) and not of MDPI and/or the editor(s). MDPI and/or the editor(s) disclaim responsibility for any injury to people or property resulting from any ideas, methods, instructions or products referred to in the content. |
© 2023 by the author. Licensee MDPI, Basel, Switzerland. This article is an open access article distributed under the terms and conditions of the Creative Commons Attribution (CC BY) license (https://creativecommons.org/licenses/by/4.0/).












