Status and Challenges of Blue OLEDs: A Review
Abstract
1. Introduction
1.1. World Revenues and Forecasts for Lighting and Display
1.2. OLED—The Ultimate Display Technology
1.3. OLED—The Best Lighting Technology
2. The Crucial Roles of Blue Emitters
2.1. Importance of Blue Emission
2.2. To Enable a White Light
2.3. To Enable a High Color Gamut
2.4. To Enable a High Color Rendering Index
3. Papers
Trends and Development
4. Patent

5. Performance Status
5.1. Fluorescent Blue OLEDs
5.1.1. EQE vs. CIEy
5.1.2. Power Efficacy vs. CIEy
5.1.3. Current Efficacy vs. CIEy
5.1.4. Lifetime and Current Efficacy vs. CIEy
5.2. Phosphorescent Blue OLEDs
5.2.1. EQE vs. CIEy
5.2.2. Power Efficacy vs. CIEy
5.2.3. Current Efficacy vs. CIEy
5.2.4. Lifetime and CE vs. CIEy
5.3. TADF-Based Blue OLEDs
5.3.1. EQE vs. CIEy
5.3.2. PE vs. CIEy
5.3.3. CE vs. CIEy
5.3.4. Lifetime and CE vs. CIEy
| CIEy | EQEmax (%) | L0 (cd/m2) | Lifetime (h) | Lifetime (h) @L0:1000 (cd/m2) | CEmax (cd/A) | Year | Reference |
|---|---|---|---|---|---|---|---|
| 0.19 | 11.8 | 1000 | 95 (LT50) | 95 (LT50) | - | 2020 | [17,115,116] |
| 0.2 | 10 | 1000 | 45 (LT50) | 45 (LT50) | - | 2020 | |
| 0.23 | 18.1 | 1000 | 174 (LT50) | 174 (LT50) | - | 2020 | |
| 0.24 | 17.3 | 1000 | 72 (LT50) | 72 (LT50) | - | 2020 | |
| 0.26 | 13.6 | 500 | 21 (LT80) | 13.6 (LT80) | - | 2017 | |
| 0.3 | 24 | 1000 | 5 (LT95) | 5 (LT95) | 40.7 | 2020 | [6,113] |
| 0.3 | 24 | 1000 | 12 (LT90) | 12 (LT90) | 40.7 | 2020 | |
| 0.3 | 19.6 | 1000 | 495 (LT50) | 495 (LT50) | - | 2020 | [115] |
| 0.34 | 17.1 | 500 | 0.28 (LT80) | 0.18 (LT80) | - | 2017 | |
| 0.35 | 22.7 | 1000 | 11 (LT95) | 11 (LT95) | 42.2 | 2020 | [113] |
| 0.35 | 22.7 | 1000 | 24 (LT90) | 24 (LT90) | 42.2 | 2020 | |
| 0.35 | 17.3 | 500 | 3 (LT90) | 1.9 (LT90) | - | 2020 | [45,117] |
| 0.35 | 17.3 | 500 | 19.1 (LT75) | 12.4 (LT75) | - | 2020 | |
| 0.35 | 14.8 | 500 | 2.4 (LT90) | 1.5 (LT90) | - | 2020 | |
| 0.35 | 14.8 | 500 | 14.1 (LT75) | 9.1 (LT75) | - | 2020 | |
| 0.35 | 12.9 | 500 | 2.8 (LT90) | 1.8 (LT90) | - | 2020 | |
| 0.35 | 12.9 | 500 | 19.9 (LT75) | 12.9 (LT75) | - | 2020 | |
| 0.35 | 12.2 | 500 | 1.7 (LT90) | 1.1 (LT90) | - | 2020 | |
| 0.35 | 12.2 | 500 | 9.9 (LT75) | 6.4 (LT75) | - | 2020 |
6. Chemical Structures and Characteristics of Blue Emitters
6.1. Fluorescent Type
6.1.1. Distyrylarylene (DSA)
6.1.2. Pyrenes
6.1.3. Anthracenes
6.1.4. Fluorenes
6.1.5. Biaryl
6.1.6. Spiro-Shaped
6.1.7. Silanes
6.1.8. Carbazole
6.1.9. Oxidiazole
6.2. Phosphorescent Type
6.2.1. Iridium (III) Complexes
6.2.2. Platinum Complexes
6.2.3. Other Metal Complexes
6.3. Thermally Activated Delayed Fluorescence (TADF) Type
6.3.1. Aromatic-based
Diphenylamine and Diphenylsulfone (DPA-DPS) Derivatives
Acridine and Diphenylsulfone (ACR-DPS) Derivatives
Carbazole and Diphenylsulfone (Cz-DPS) Derivatives
Carbazole and Triazine (Cz-TRZ) Derivatives
Carbazole and Phthalonitrile (Cz-PN) Derivatives
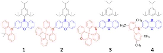
Acridine and Phenoxaborin (Cz-PXB) Derivatives
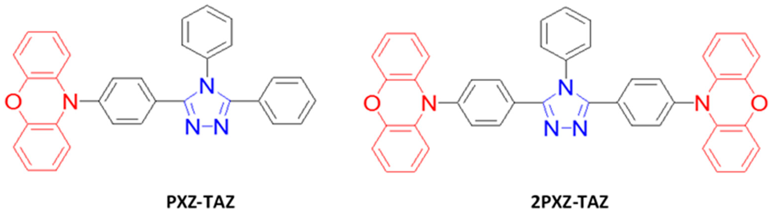
Phenoxazines and Triazole (PXZ-TAZ) Derivatives
Acridine and Triazine (ACR-TRZ) Derivatives
6.3.2. Metal-Based TADF Emitters
Cu Complexes
Zn Complexes
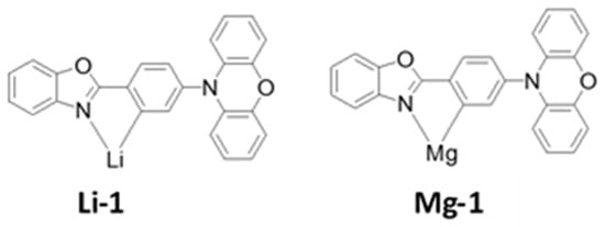
Other Metal Complexes
7. Challenges and Approaches
7.1. Challenges for Deep-Blue Emission
7.1.1. High-Efficiency Deep-Blue Emission
7.1.2. Long-Lifetime Deep-Blue Emission
7.1.3. High Efficiency and Long Lifetime
7.2. Approaches for Generating Deep-Blue Emission
7.2.1. Reducing Dopant Concentration in the Emissive Layer
7.2.2. Employing a Polarity Matching Host
7.2.3. Rational Emitter Designs
7.2.4. Thermally Activated Delayed Fluorescence
7.2.5. Hybrid Local Charge Transfer
7.2.6. Triplet–Triplet Annihilation
8. Cautions
- (i)
- Turn off or dim the light after dusk or at least 2 h before going to bed.
- (ii)
- Change indoor illumination to a blue light-free candlelight style lighting for nighttime.
- (iii)
- Avoid the use of 3C products before going to bed. Audio activities are preferred over video ones.
- (iv)
- Embrace darkness. The bedroom should be completely dark during sleep.
- (v)
- Consult physicians for melatonin supplements for sleep improvement, especially for older persons.
9. Conclusions
Supplementary Materials
Funding
Conflicts of Interest
References
- Chaskar, A.; Chen, H.-F.; Wong, K.-T.; Chaskar, A.; Chen, H.-F.K.; Wong, K.-T. Bipolar Host Materials: A Chemical Approach for Highly Efficient Electrophosphorescent Devices. Adv. Mater. 2011, 23, 3876–3895. [Google Scholar] [CrossRef] [PubMed]
- Han, C.; Zhao, Y.; Xu, H.; Chen, J.; Deng, Z.; Ma, D.; Li, Q.; Yan, P. A Simple Phosphine-Oxide Host with a Multi-Insulating Structure: High Triplet Energy Level for Efficient Blue Electrophosphorescence. Chem.-A Eur. J. 2011, 17, 5800–5803. [Google Scholar] [CrossRef] [PubMed]
- Chien, C.H.; Chen, C.K.; Hsu, F.M.; Shu, C.F.; Chou, P.T.; Lai, C.H. Multifunctional Deep-Blue Emitter Comprising an Anthracene Core and Terminal Triphenylphosphine Oxide Groups. Adv. Funct. Mater. 2009, 19, 560–566. [Google Scholar] [CrossRef]
- Tao, Y.; Wang, Q.; Yang, C.; Zhong, C.; Qin, J.; Ma, D. Multifunctional Triphenylamine/Oxadiazole Hybrid as Host and Exciton-Blocking Material: High Efficiency Green Phosphorescent OLEDs Using Easily Available and Common Materials. Adv. Funct. Mater. 2010, 20, 2923–2929. [Google Scholar] [CrossRef]
- Swayamprabha, S.S.; Dubey, D.K.; Shahnawaz; Yadav, R.A.K.; Nagar, M.R.; Sharma, A.; Tung, F.-C.; Jou, J.-H. Approaches for Long Lifetime Organic Light Emitting Diodes. Adv. Sci. 2021, 8, 2002254. [Google Scholar] [CrossRef] [PubMed]
- Girase, J.D.; Tagare, J.; Shahnawaz; Nagar, M.R.; Siddiqui, I.; Jou, J.H.; Patel, S.; Vaidyanathan, S. Deep-Blue Emitters (CIEy~0.07) Based on Phenanthroimidazole: Remarkable Substitution Effects at the N1 Position of Imidazole on the Excited States and Electroluminescence Properties. Dye. Pigment. 2021, 196, 109791. [Google Scholar] [CrossRef]
- Devesing Girase, J.; Rani Nayak, S.; Tagare, J.; Shahnawaz; Ram Nagar, M.; Jou, J.H.; Vaidyanathan, S. Solution-Processed Deep-Blue (Y~0.06) Fluorophores Based on Triphenylamine-Imidazole (Donor-Acceptor) for OLEDs: Computational and Experimental Exploration. J. Inf. Disp. 2022, 23, 53–67. [Google Scholar] [CrossRef]
- Anupriya; Thomas, K.R.J.; Nagar, M.R.; Shahnawaz; Jou, J.H. Phenanthroimidazole Substituted Imidazo[1,2-a]Pyridine Derivatives for Deep-Blue Electroluminescence with CIEy~0.08. J. Photochem. Photobiol. A Chem. 2022, 423, 113600. [Google Scholar] [CrossRef]
- Jou, J.-H. Introduction to OLED; Gau Lih Book 10, Ltd.: Chiayi, Taiwan, 2015; ISBN 978-986-378-031-1. [Google Scholar]
- Shahnawaz; Siddiqui, I.; Nagar, M.R.; Choudhury, A.; Lin, J.T.; Blazevicius, D.; Krucaite, G.; Grigalevicius, S.; Jou, J.H. Highly Efficient Candlelight Organic Light-Emitting Diode with a Very Low Color Temperature. Molecules 2021, 26, 7558. [Google Scholar] [CrossRef]
- Korshunov, V.M.; Chmovzh, T.N.; Knyazeva, E.A.; Taydakov, I.V.; Mikhalchenko, L.V.; Varaksina, E.A.; Saifutyarov, R.S.; Avetissov, I.C.; Rakitin, O.A. A Novel Candle Light-Style OLED with a Record Low Colour Temperature. Chem. Commun. 2019, 55, 13354–13357. [Google Scholar] [CrossRef]
- Jou, J.-H.; Kumar, S.; An, C.-C.; Singh, M.; Yu, H.-H.; Hsieh, C.-Y.; Lin, Y.-X.; Sung, C.-F.; Wang, C.-W. Enabling a Blue-Hazard Free General Lighting Based on Candle Light-Style OLED. Opt. Express 2015, 23, A576. [Google Scholar] [CrossRef]
- Jou, J.H.; Singh, M.; Su, Y.T.; Liu, S.H.; He, Z.K. Blue-Hazard-Free Candlelight OLED. J. Vis. Exp. 2017, 121, 54644. [Google Scholar] [CrossRef]
- Jou, J.H.; Hsieh, C.Y.; Tseng, J.R.; Peng, S.H.; Jou, Y.C.; Hong, J.H.; Shen, S.M.; Tang, M.C.; Chen, P.C.; Lin, C.H. Candle Light-Style Organic Light-Emitting Diodes. Adv. Funct. Mater. 2013, 23, 2750–2757. [Google Scholar] [CrossRef]
- Quarterly Display Capex and Equipment Market Share Report—Display Supply Chain Consultants. Available online: https://www.displaysupplychain.com/report/quarterly-display-capex-and-equipment-market-share-report (accessed on 1 May 2022).
- Worldwide-LED Lighting Market Size 2021|Statista. Available online: https://www.statista.com/statistics/753939/global-led-luminaire-market-size/ (accessed on 2 May 2022).
- ElectroniCast Sees a Fast Growing OLED Lighting Market Starting in 2015|OLED-Info. Available online: https://www.oled-info.com/electronicast-sees-fast-growing-oled-lighting-market-starting-2015 (accessed on 2 May 2022).
- Steven Van Slyke Invented OLED Technology, Increasing Efficiency. Available online: https://www.invent.org/inductees/steven-van-slyke (accessed on 2 May 2022).
- OLED Displays and Their Applications|Learning Corner for Beginners. Available online: https://www.electronicsforu.com/resources/oled-displays-applications (accessed on 2 May 2022).
- Sony OLED|OLED-Info. Available online: https://www.oled-info.com/sony-oled (accessed on 2 May 2022).
- AUO. Available online: https://www.auo.com/en-global/New_Archive/detail/News_Archive_Technology_190823 (accessed on 2 May 2022).
- BOE Demonstrates a 55″ 8K Ink-Jet Printed OLED TV Prototype|OLED-Info. Available online: https://www.oled-info.com/boe-demonstrates-55-8k-ink-jet-printed-oled-tv-prototype (accessed on 2 May 2022).
- LG OLED TV 2016 Display Technology Shoot-Out. Available online: https://www.displaymate.com/OLED_TV2016_ShootOut_1.htm (accessed on 2 May 2022).
- Kosai, S.; Badin, A.B.; Qiu, Y.; Matsubae, K.; Suh, S.; Yamasue, E. Evaluation of Resource Use in the Household Lighting Sector in Malaysia Considering Land Disturbances through Mining Activities. Resour. Conserv. Recycl. 2021, 166, 105343. [Google Scholar] [CrossRef]
- Jou, J.; Su, Y.; Liu, S.; He, Z.; Sahoo, S.; Yu, H.-H.; Chen, S.-Z.; Wang, C.-W.; Lee, J.-R. Wet-Process Feasible Candlelight OLED. J. Mater. Chem. C 2016, 4, 6070–6077. [Google Scholar] [CrossRef]
- Jou, J.; Hsieh, C.; Chen, P.; Kumar, S.; Hong, J.H. Candlelight Style Organic Light-Emitting Diode: A Plausibly Human-Friendly Safe Night Light. J. Photonics Energy 2014, 4, 043598. [Google Scholar] [CrossRef]
- Sasabe, H.; Kido, J. Development of High Performance OLEDs for General Lighting. J. Mater. Chem. C Mater. 2013, 1, 1699–1707. [Google Scholar] [CrossRef]
- Reineke, S.; Lindner, F.; Schwartz, G.; Seidler, N.; Walzer, K.; Lüssem, B.; Leo, K. White Organic Light-Emitting Diodes with Fluorescent Tube Efficiency. Nature 2009, 459, 234–238. [Google Scholar] [CrossRef] [PubMed]
- Panasonic Developed a 114 Lm/W OLED Panel-Claims World’s Most Efficient Panel|OLED-Info. Available online: https://www.oled-info.com/panasonic-developed-114-lmw-oled-panel-claims-worlds-most-efficient-panel (accessed on 2 May 2022).
- Panasonic Develops World’s Highest Efficiency White OLED for Lighting|Headquarters News|Panasonic Newsroom Global. Available online: https://news.panasonic.com/global/press/data/2013/05/en130524-6/en130524-6.html (accessed on 2 May 2022).
- Kato, K.; Iwasaki, T.; Tsujimura, T. Over 130 Lm/W All-Phosphorescent White OLEDs for next-Generation Lighting. J. Photopolym. Sci. Technol. 2015, 28, 335–340. [Google Scholar] [CrossRef]
- Philips-GL350-Oled-Product-Sheet-Philips Lighting. Available online: https://www.yumpu.com/en/document/view/3069680/philips-gl350-oled-product-sheet-philips-lighting (accessed on 15 May 2022).
- OSRAM Presents the First OLED Luminaire—OSRAM Group Website. Available online: https://www.osram-group.com/en/media/press-releases/pr-2010/05-11-2010 (accessed on 15 May 2022).
- LG Chem’s 320x320 Mm OLED Lighting Panel Now in Production, Company Develops New Integration Solutions|OLED-Info. Available online: https://www.oled-info.com/lg-chems-320x320-mm-oled-lighting-panel-now-production-company-develops-new-integration-solutions (accessed on 17 May 2022).
- OLEDWorks Closes Philips Lumiblade Deal and Announces New OLED Panels|LEDs Magazine. Available online: https://www.ledsmagazine.com/leds-ssl-design/oleds/article/16696751/oledworks-closes-philips-lumiblade-deal-and-announces-new-oled-panels (accessed on 15 May 2022).
- Lumiotec’s New P09 OLED Lighting Panels Feature 45 Lm/W, 40,000 Hours Lifetime|OLED-Info. Available online: https://www.oled-info.com/lumiotecs-new-p09-oled-lighting-panels-feature-45-lmw-40000-hours-lifetime (accessed on 17 May 2022).
- OLED Lighting Introduction and Market Status|OLED-Info. Available online: https://www.oled-info.com/oled-lighting (accessed on 17 May 2022).
- Products|OLED Lighting|KONICA MINOLTA. Available online: https://www.konicaminolta.com/oled/products/ (accessed on 17 May 2022).
- Mitsubishi and Pioneer to Start Mass Producing Color-Tunable OLEDs Made Using a Wet-Coating Process|OLED-Info. Available online: https://www.oled-info.com/mitsubishi-and-pioneer-start-mass-producing-color-tunable-oleds-made-using-wet-coating-process (accessed on 17 May 2022).
- Kaneka Demonstrate Their New 50,000 Hours OLED Lighting Panels|OLED-Info. Available online: https://www.oled-info.com/kaneka-demonstrate-their-new-50000-hours-oled-lighting-panels (accessed on 17 May 2022).
- Introduction to OLED Lighting (Acuity Brands)-YouTube. Available online: https://www.youtube.com/watch?v=3nVupTrnw4s (accessed on 27 May 2022).
- CYNORA Announces Availability of Industry’s First Device Test Kits for TADF Deep Green Emitters for Next-Generation OLED Displays-CynoraCynora. Available online: https://cynora.com/cynora-announces-availability-of-industrys-first-device-test-kits-for-tadf-deep-green-emitters-for-next-generation-oled-displays-2/ (accessed on 27 May 2022).
- Nakamura, S. Shuji Nakamura-Nobel Lecture: Background Story of the Invention of Efficient Blue InGaN Light Emitting Diodes. Rev. Mod. Phys. 2015, 87, 1139–1151. [Google Scholar] [CrossRef]
- Blue LEDs-Filling the World with New Light. Available online: https://www.nobelprize.org/uploads/2018/06/popular-physicsprize2014-1.pdf (accessed on 15 August 2023).
- Nobel Prize ® and the Nobel Prize ® Medal Design Mark Are Registrated Trademarks of the Nobel Foundation. 2014. Available online: https://www.theguardian.com/science/2014/oct/07/nobel-prize-physics-inventors-blue-light-emitting-diodes-isamu-akasaki-hiroshi-amano-shuji-nakam#:~:text=Isamu%20Akasaki%20and%20Hiroshi%20Amano,and%20environment%2Dfriendly%20light%20source (accessed on 15 August 2023).
- Introduction to Color Imaging Science-Hsien-Che Lee-Google Books. Available online: https://books.google.com.tw/books/about/Introduction_to_Color_Imaging_Science.html?id=rN3kOMOPMmEC&redir_esc=y (accessed on 27 May 2022).
- Subtractive Color–HiSoUR–Hi So You Are. Available online: https://www.hisour.com/subtractive-color-24755/ (accessed on 27 May 2022).
- Additive and Subtractive Color Mixing. Available online: https://isle.hanover.edu/Ch06Color/Ch06ColorMixer.html (accessed on 27 May 2022).
- Taming the Wide Gamut Using SRGB Emulation|PC Monitors. Available online: https://pcmonitors.info/articles/taming-the-wide-gamut-using-srgb-emulation/ (accessed on 27 May 2022).
- Understanding the Color Gamut of an LCD Monitor. Available online: https://www.eizo.com/library/basics/lcd_monitor_color_gamut/ (accessed on 27 May 2022).
- Jou, J.H.; Kumar, S.; Fang, P.H.; Venkateswararao, A.; Thomas, K.R.J.; Shyue, J.J.; Wang, Y.C.; Li, T.H.; Yu, H.H. Highly Efficient Ultra-Deep Blue Organic Light-Emitting Diodes with a Wet- and Dry-Process Feasible Cyanofluorene Acetylene Based Emitter. J. Mater. Chem. C Mater. 2015, 3, 2182–2194. [Google Scholar] [CrossRef]
- Kim, H.K.; Cho, S.H.; Oh, J.R.; Lee, Y.H.; Lee, J.H.; Lee, J.G.; Kim, S.K.; Park, Y.I.; Park, J.W.; Do, Y.R. Deep Blue, Efficient, Moderate Microcavity Organic Light-Emitting Diodes. Org. Electron. 2010, 11, 137–145. [Google Scholar] [CrossRef]
- Li, W.; Yao, L.; Liu, H.; Wang, Z.; Zhang, S.; Xiao, R.; Zhang, H.; Lu, P.; Yang, B.; Ma, Y. Highly Efficient Deep-Blue OLED with an Extraordinarily Narrow FHWM of 35 nm and a y Coordinate <0.05 Based on a Fully Twisting Donor-Acceptor Molecule. J. Mater. Chem. C Mater. 2014, 2, 4733–4736. [Google Scholar] [CrossRef]
- Reineke, S.; Schwartz, G.; Walzer, K.; Leo, K. Reduced Efficiency Roll-off in Phosphorescent Organic Light Emitting Diodes by Suppression of Triplet-Triplet Annihilation. Appl. Phys. Lett. 2007, 91, 123508. [Google Scholar] [CrossRef]
- Yang, H.; Shi, Y.; Zhao, Y.; Meng, Y.; Hu, W.; Hou, J.; Liu, S. High Colour Rendering Index White Organic Light-Emitting Devices with Three Emitting Layers. Displays 2008, 29, 327–332. [Google Scholar] [CrossRef]
- Jou, J.H.; Chou, Y.C.; Shen, S.M.; Wu, M.H.; Wu, P.S.; Lin, C.R.; Wu, R.Z.; Chen, S.H.; Wei, M.K.; Wang, C.W. High-Efficiency, Very-High Color Rendering White Organic Light-Emitting Diode with a High Triplet Interlayer. J. Mater. Chem. 2011, 21, 18523–18526. [Google Scholar] [CrossRef]
- Lumiotec Announces New High CRI OLED Lighting Panels, Targets Museums|OLED-Info. Available online: https://www.oled-info.com/lumiotec-announces-new-high-cri-oled-lighting-panels-targets-museums (accessed on 27 May 2022).
- LG Chem Produces High-CRI OLED Panels That Achieve 20,000-Hour Lifetimes|LEDs Magazine. Available online: https://www.ledsmagazine.com/company-newsfeed/article/16680965/lg-chem-produces-highcri-oled-panels-that-achieve-20000hour-lifetimes (accessed on 27 May 2022).
- Adachi, C.; Tsutsui, T.; Saito, S. Blue Light-emitting Organic Electroluminescent Devices. Appl. Phys. Lett. 1998, 56, 799. [Google Scholar] [CrossRef]
- Adachi, C.; Kwong, R.C.; Djurovich, P.; Adamovich, V.; Baldo, M.A.; Thompson, M.E.; Forrest, S.R. Endothermic Energy Transfer: A Mechanism for Generating Very Efficient High-Energy Phosphorescent Emission in Organic Materials. Appl. Phys. Lett. 2001, 79, 2082. [Google Scholar] [CrossRef]
- Kawamura, Y.; Yanagida, S.; Forrest, S.R. Energy Transfer in Polymer Electrophosphorescent Light Emitting Devices with Single and Multiple Doped Luminescent Layers. J. Appl. Phys. 2002, 92, 87. [Google Scholar] [CrossRef]
- Youn Lee, S.; Yasuda, T.; Nomura, H.; Adachi, C. High-Efficiency Organic Light-Emitting Diodes Utilizing Thermally Activated Delayed Fluorescence from Triazine-Based Donor–Acceptor Hybrid Molecules. Appl. Phys. Lett. 2012, 101, 093306. [Google Scholar] [CrossRef]
- Nakanotani, H.; Masui, K.; Nishide, J.; Shibata, T.; Adachi, C. Promising Operational Stability of High-Efficiency Organic Light-Emitting Diodes Based on Thermally Activated Delayed Fluorescence. Sci. Rep. 2013, 3, 2127. [Google Scholar] [CrossRef] [PubMed]
- Masui, K.; Nakanotani, H.; Adachi, C. Analysis of Exciton Annihilation in High-Efficiency Sky-Blue Organic Light-Emitting Diodes with Thermally Activated Delayed Fluorescence. Org. Electron. 2013, 14, 2721–2726. [Google Scholar] [CrossRef]
- Lee, J.; Shizu, K.; Tanaka, H.; Nomura, H.; Yasuda, T.; Adachi, C. Oxadiazole- and Triazole-Based Highly-Efficient Thermally Activated Delayed Fluorescence Emitters for Organic Light-Emitting Diodes. J. Mater. Chem. C Mater. 2013, 1, 4599–4604. [Google Scholar] [CrossRef]
- Mallesham, G.; Swetha, C.; Niveditha, S.; Mohanty, M.E.; Babu, N.J.; Kumar, A.; Bhanuprakash, K.; Rao, V.J. Phosphine Oxide Functionalized Pyrenes as Efficient Blue Light Emitting Multifunctional Materials for Organic Light Emitting Diodes. J. Mater. Chem. C Mater. 2015, 3, 1208–1224. [Google Scholar] [CrossRef]
- Liu, W.; Zheng, C.J.; Wang, K.; Chen, Z.; Chen, D.Y.; Li, F.; Ou, X.M.; Dong, Y.P.; Zhang, X.H. Novel Carbazol-Pyridine-Carbonitrile Derivative as Excellent Blue Thermally Activated Delayed Fluorescence Emitter for Highly Efficient Organic Light-Emitting Devices. ACS Appl. Mater. Interfaces 2015, 7, 18930–18936. [Google Scholar] [CrossRef] [PubMed]
- Hiraga, Y.; Nishide, J.I.; Nakanotani, H.; Aonuma, M.; Adachi, C. High-Efficiency Sky-Blue Organic Light-Emitting Diodes Utilizing Thermally-Activated Delayed Fluorescence. IEICE Trans. Electron. 2015, E98.C, 971–976. [Google Scholar] [CrossRef]
- Organic Electroluminescence Device. Available online: https://www.freepatentsonline.com/5389444.pdf (accessed on 28 April 2022).
- Specification, E.P. EP000875947B1. 2002. Available online: https://data.epo.org/publication-server/document?iDocId=2079949&iFormat=0 (accessed on 15 August 2023).
- WO2001039234 Organic Light Emitting Diode Having a Blue Phosphorescent Molecule as an Emitter. Available online: https://patentscope.wipo.int/search/en/detail.jsf?docId=WO2001039234 (accessed on 28 April 2022).
- Takita, Y. Highly Efficient Deep-Blue Fluorescent Dopant for Achieving Low-Power OLED Display Satisfying BT. 2020 Chromaticity. J. Soc. Inf. Disp. 2018, 26, 55–63. [Google Scholar] [CrossRef]
- Liu, H.; Kang, L.; Li, J.; Liu, F.; He, X.; Ren, S.; Tang, X.; Lv, C.; Lu, P. Highly Efficient Deep-Blue Organic Light-Emitting Diodes Based on Pyreno[4,5-d]Imidazole-Anthracene Structural Isomers. J. Mater. Chem. C 2019, 7, 10273–10280. [Google Scholar] [CrossRef]
- Zou, Y.; Zou, J.; Ye, T.; Li, H.; Yang, C.; Wu, H.; Ma, D.; Qin, J.; Cao, Y. Unexpected Propeller-Like Hexakis(Fluoren-2-Yl)Benzene Cores for Six-Arm Star-Shaped Oligofluorenes: Highly Efficient Deep-Blue Fluorescent Emitters and Good Hole-Transporting Materials. Adv. Funct. Mater. 2013, 23, 1781–1788. [Google Scholar] [CrossRef]
- Wang, L.; Jiang, Y.; Luo, J.; Zhou, Y.; Zhou, J.; Wang, J.; Pei, J.; Cao, Y. Highly Efficient and Color-Stable Deep-Blue Organic Light-Emitting Diodes Based on a Solution-Processible Dendrimer. Adv. Mater. 2009, 21, 4854–4858. [Google Scholar] [CrossRef]
- Li, W.; Zhang, X.; Zhang, Y.; Xu, K.; Xu, J.; Wang, H.; Li, H.; Guo, J.; Mo, J.; Yang, P. Achieving Ultra-High Efficiency by Tuning Hole Transport and Carrier Balance in Fluorescent Blue Organic Light-Emitting Diode with Extremely Simple Structure. Synth. Met. 2018, 245, 111–115. [Google Scholar] [CrossRef]
- Zhen, C.G.; Dai, Y.F.; Zeng, W.J.; Ma, Z.; Chen, Z.K.; Kieffer, J. Achieving Highly Efficient Fluorescent Blue Organic Light-Emitting Diodes through Optimizing Molecular Structures and Device Configuration. Adv. Funct. Mater. 2011, 21, 699–707. [Google Scholar] [CrossRef]
- Liu, M.; Li, X.-L.; Cheng Chen, D.; Xie, Z.; Cai, X.; Xie, G.; Liu, K.; Tang, J.; Su, S.-J.; Cao, Y.; et al. Study of Configuration Differentia and Highly Efficient, Deep-Blue, Organic Light-Emitting Diodes Based on Novel Naphtho[1,2-d]Imidazole Derivatives. Adv. Funct. Mater. 2015, 25, 5190–5198. [Google Scholar] [CrossRef]
- Li, Z.; Gan, G.; Ling, Z.; Guo, K.; Si, C.; Lv, X.; Wang, H.; Wei, B.; Hao, Y. Easily Available, Low-Cost 9,9′-Bianthracene Derivatives as e Ffi Cient Blue Hosts and Deep-Blue Emitters in OLEDs. Org. Electron. 2019, 66, 24–31. [Google Scholar] [CrossRef]
- Lee, J.H.; Chen, C.H.; Lee, P.H.; Lin, H.Y.; Leung, M.K.; Chiu, T.L.; Lin, C.F. Blue Organic Light-Emitting Diodes: Current Status, Challenges, and Future Outlook. J. Mater. Chem. C Mater. 2019, 7, 5874–5888. [Google Scholar] [CrossRef]
- Jeong, S.; Kim, M.; Kim, S.H.; Hong, J. Efficient Deep-Blue Emitters Based on Triphenylamine-Linked Benzimidazole Derivatives for Nondoped Fluorescent Organic Light-Emitting Diodes. Org. Electron. 2013, 14, 2497–2504. [Google Scholar] [CrossRef]
- Jeon, Y.; Lee, J.; Kim, J.; Lee, C.; Gong, M. Deep-Blue OLEDs Using Novel Efficient Spiro-Type Dopant Materials. Org. Electron. 2010, 11, 1844–1852. [Google Scholar] [CrossRef]
- Wei, B.; Liu, J.; Zhang, Y.; Zhang, J.; Peng, H.; Fan, H.; He, Y.; Gao, X. Stable, Glassy, and Versatile Binaphthalene Derivatives Capable of Efficient Hole Transport, Hosting, and Deep-Blue Light Emission. Adv. Funct. Mater. 2010, 20, 2448–2458. [Google Scholar] [CrossRef]
- Wen, S.; Lee, M.; Chen, C.H. Recent Development of Blue Fluorescent OLED Materials and Devices. J. Disp. Technol. 2005, 1, 90–99. [Google Scholar] [CrossRef]
- Patil, V.V.; Lee, K.H.; Lee, J.Y. For Blue Fluorescent Organic Light-Emitting Diodes. J. Mater. Chem. C 2020, 8, 8320–8327. [Google Scholar] [CrossRef]
- Park, H.-Y.; Maheshwaran, A.; Moon, C.-K.; Lee, H.; Sudhaker Reddy, S.; Gopalan Sree, V.; Yoon, J.; Won Kim, J.; Hyuk Kwon, J.; Kim, J.-J.; et al. External Quantum Efficiency Exceeding 24% with CIEy Value of 0.08 Using a Novel Carbene-Based Iridium Complex in Deep-Blue Phosphorescent Organic Light-Emitting Diodes. Adv. Mater. 2020, 32, 2002120. [Google Scholar] [CrossRef]
- Sarma, M.; Tsai, W.L.; Lee, W.K.; Chi, Y.; Wu, C.C.; Liu, S.H.; Chou, P.T.; Wong, K.T. Anomalously Long-Lasting Blue PhOLED Featuring Phenyl-Pyrimidine Cyclometalated Iridium Emitter. Chem 2017, 3, 461–476. [Google Scholar] [CrossRef]
- Li, W.; Li, J.; Liu, D.; Jin, Q. Simple Bipolar Host Materials for High-E Ffi Ciency Blue, Green, and White Phosphorescence OLEDs. ACS Appl. Mater. Interfaces 2016, 8, 22382–22391. [Google Scholar] [CrossRef]
- Kim, M.; Lee, I.H.; Lee, J.; Hyun, S.; Park, K.; Kang, Y. Chemistry Phenanthridine Based Ir(III) Complex for Blue Phosphorescent Organic Light-Emitting Diodes with Long-Term Operational Stability. J. Ind. Eng. Chem. 2018, 58, 386–390. [Google Scholar] [CrossRef]
- Oh, C.S.; Lee, Y.; Noh, H.; Han, S. Molecular Design of Host Materials for High Power Efficiency in Blue Phosphorescent Organic Light-Emitting Diodes Doped with an Imidazole Ligand Based Triplet Emitter. J. Mater. Chem. C 2016, 4, 3792–3797. [Google Scholar] [CrossRef]
- Ying, S.; Pang, P.; Zhang, S.; Sun, Q.; Dai, Y.; Qiao, X.; Yang, D.; Chen, J.; Ma, D. Superior Efficiency and Low-Efficiency Roll-Off White Organic Light-Emitting Diodes Based on Multiple Exciplexes as Hosts Matched to Phosphor Emitters. ACS Appl. Mater. Interfaces 2019, 11, 31078–31086. [Google Scholar] [CrossRef]
- Son, Y.H.; Kim, Y.J.; Park, M.J.; Oh, H.Y.; Park, J.S.; Yang, J.H.; Suh, M.C.; Kwon, J.H. Small Single–Triplet Energy Gap Bipolar Host Materials for Phosphorescent Blue and White Organic Light Emitting Diodes. J. Mater. Chem. C Mater. 2013, 1, 5008–5014. [Google Scholar] [CrossRef]
- Feng, Y.; Zhuang, X.; Zhu, D.; Liu, Y.; Bryce, M.R. Heteroleptic Phosphorescent Iridium(III). J. Mater. Chem. C 2016, 4, 10246–10252. [Google Scholar] [CrossRef]
- Diode, L.; Jou, J.; Wang, W.; Hsu, M.; Liu, C.; Chen, C. Small Nano-Dot Incorporated High-Efficiency Phosphorescent Blue Organic Small Nano-Dot Incorporated High-Efficiency Phosphorescent Blue Organic Light-Emitting Diode. PIERS 2008, 4, 351–355. [Google Scholar] [CrossRef]
- Wu, Z.G.; Jing, Y.M.; Lu, G.Z.; Zhou, J.; Zheng, Y.X.; Zhou, L.; Wang, Y.; Pan, Y. Novel Design of Iridium Phosphors with Pyridinylphosphinate Ligands for High-Efficiency Blue Organic Light-Emitting Diodes. Sci. Rep. 2016, 6, 38478. [Google Scholar] [CrossRef]
- Wee, K.R.; Kim, A.L.; Jeong, S.Y.; Kwon, S.; Kang, S.O. The Relationship between the Device Performance and Hole Mobility of Host Materials in Mixed Host System for Deep Blue Phosphorescent Organic Light Emitting Devices. Org. Electron. 2011, 12, 1973–1979. [Google Scholar] [CrossRef]
- Weaver, M.S.; Tung, Y.-J.; D’Andrade, B.; Esler, J.; Brown, J.J.; Lin, C.; Mackenzie, P.B.; Walters, R.W.; Tsai, J.-Y.; Brown, C.S.; et al. 11.1: Invited Paper: Advances in Blue Phosphorescent Organic Light-Emitting Devices. SID Symp. Dig. Tech. Pap. 2006, 37, 127. [Google Scholar] [CrossRef][Green Version]
- Kumar Konidena, R.; Jae Chung, W.; Yeob Lee, J.; Konidena, R.K.; Chung, W.J.; Lee, J.Y. Molecular Engineering of Cyano-Substituted Carbazole-Based Host Materials for Simultaneous Achievement of High Efficiency and Long Lifetime in Blue Phosphorescent Organic Light-Emitting Diodes. Adv. Electron. Mater. 2020, 6, 2000132. [Google Scholar] [CrossRef]
- Jung, M.; Lee, K.H.; Lee, J.Y.; Kim, T. A Bipolar Host Based High Triplet Energy Electroplex for an over 10,000 h Lifetime in Pure Blue Phosphorescent Organic Light-Emitting Diodes. Mater. Horiz. 2020, 7, 559–565. [Google Scholar] [CrossRef]
- Yang, C.Y.; Jang, H.J.; Lee, K.H.; Byeon, S.Y.; Lee, J.Y.; Jeong, H. 12-1: Analysis of Key Factors Affecting the Lifetime of Blue Phosphorescent OLED Using CN Modified Blue Host Materials. SID Symp. Dig. Tech. Pap. 2019, 50, 141–144. [Google Scholar] [CrossRef]
- Han, S.H.; Lee, K.H.; Lee, J.Y. Spatial Separation of Two Blue Triplet Emitters for Improved Lifetime in Blue Phosphorescent Organic Light-Emitting Diodes by Confining Excitons at the Interface between Two Emitting Layers. Org. Electron. 2019, 69, 227–231. [Google Scholar] [CrossRef]
- Klimes, K.; Zhu, Z.Q.; Li, J. Efficient Blue Phosphorescent OLEDs with Improved Stability and Color Purity through Judicious Triplet Exciton Management. Adv. Funct. Mater. 2019, 29, 1903068. [Google Scholar] [CrossRef]
- Yao, J.; Xiao, S.; Zhang, S.; Sun, Q.; Dai, Y.; Qiao, X.; Yang, D.; Chen, J.; Ma, D. High Efficiency, Low Efficiency Roll-off and Long Lifetime Fluorescent White Organic Light-Emitting Diodes Based on Strategic Management of Triplet Excitons via Triplet–Triplet Annihilation up-Conversion and Phosphor Sensitization. J. Mater. Chem. C Mater. 2020, 8, 8077–8084. [Google Scholar] [CrossRef]
- Liang, X.; Han, H.B.; Yan, Z.P.; Liu, L.; Zheng, Y.X.; Meng, H.; Huang, W. Versatile Functionalization of Trifluoromethyl Based Deep Blue Thermally Activated Delayed Fluorescence Materials for Organic Light Emitting Diodes. New J. Chem. 2018, 42, 4317–4323. [Google Scholar] [CrossRef]
- Lim, H.; Cheon, J.; Woo, S.-J.; Kwon, S.-K.; Kim, Y.-H.; Kim, J.-J.; Lim, H.; Woo, S.-J.; Kim, J.-J.; Cheon, H.J.; et al. Highly Efficient Deep-Blue OLEDs Using a TADF Emitter with a Narrow Emission Spectrum and High Horizontal Emitting Dipole Ratio. Adv. Mater. 2020, 32, 2004083. [Google Scholar] [CrossRef]
- Li, W.; Li, B.; Cai, X.; Gan, L.; Xu, Z.; Li, W.; Liu, K.; Chen, D.; Su, S.J. Tri-Spiral Donor for High Efficiency and Versatile Blue Thermally Activated Delayed Fluorescence Materials. Angew. Chem. Int. Ed. 2019, 58, 11301–11305. [Google Scholar] [CrossRef] [PubMed]
- Miwa, T.; Kubo, S.; Shizu, K.; Komino, T.; Adachi, C.; Kaji, H. Blue Organic Light-Emitting Diodes Realizing External Quantum Efficiency over 25% Using Thermally Activated Delayed Fluorescence Emitters. Sci. Rep. 2017, 7, 284. [Google Scholar] [CrossRef] [PubMed]
- Kim, H.J.; Godumala, M.; Kim, S.K.; Yoon, J.; Kim, C.Y.; Park, H.; Kwon, J.H.; Cho, M.J.; Choi, D.H. Color-Tunable Boron-Based Emitters Exhibiting Aggregation-Induced Emission and Thermally Activated Delayed Fluorescence for Efficient Solution-Processable Nondoped Deep-Blue to Sky-Blue OLEDs. Adv. Opt. Mater. 2020, 8, 1902175. [Google Scholar] [CrossRef]
- Xie, F.M.; An, Z.D.; Xie, M.; Li, Y.Q.; Zhang, G.H.; Zou, S.J.; Chen, L.; Chen, J.D.; Cheng, T.; Tang, J.X. Tert-Butyl Substituted Hetero-Donor TADF Compounds for Efficient Solution-Processed Non-Doped Blue OLEDs. J. Mater. Chem. C Mater. 2020, 8, 5769–5776. [Google Scholar] [CrossRef]
- Ganesan, P.; Chen, D.G.; Liao, J.L.; Li, W.C.; Lai, Y.N.; Luo, D.; Chang, C.H.; Ko, C.L.; Hung, W.Y.; Liu, S.W.; et al. Isomeric Spiro-[Acridine-9,9′-Fluorene]-2,6-Dipyridylpyrimidine Based TADF Emitters: Insights into Photophysical Behaviors and OLED Performances. J. Mater. Chem. C Mater. 2018, 6, 10088–10100. [Google Scholar] [CrossRef]
- Oh, C.S.; Pereira, D.D.S.; Han, S.H.; Park, H.J.; Higginbotham, H.F.; Monkman, A.P.; Lee, J.Y. Dihedral Angle Control of Blue Thermally Activated Delayed Fluorescent Emitters through Donor Substitution Position for Efficient Reverse Intersystem Crossing. ACS Appl. Mater. Interfaces 2018, 10, 35420–35429. [Google Scholar] [CrossRef]
- Ban, X.; Chen, F.; Pan, J.; Liu, Y.; Zhu, A.; Jiang, W.; Sun, Y. Exciplex Formation and Electromer Blocking for Highly Efficient Blue Thermally Activated Delayed Fluorescence OLEDs with All-Solution-Processed Organic Layers. Chem.-A Eur. J. 2020, 26, 3090–3102. [Google Scholar] [CrossRef]
- Yoon, J.; Kim, S.K.; Kim, H.J.; Choi, S.; Jung, S.W.; Lee, H.; Kim, J.Y.; Yoon, D.W.; Han, C.W.; Chae, W.S.; et al. Asymmetric Host Molecule Bearing Pyridine Core for Highly Efficient Blue Thermally Activated Delayed Fluorescence OLEDs. Chem.-A Eur. J. 2020, 26, 16383–16391. [Google Scholar] [CrossRef]
- Su, L.; Cao, F.; Cheng, C.; Tsuboi, T.; Zhu, Y.; Deng, C.; Zheng, X.; Wang, D.; Liu, Z.; Zhang, Q. High Fluorescence Rate of Thermally Activated Delayed Fluorescence Emitters for Efficient and Stable Blue OLEDs. ACS Appl. Mater. Interfaces 2020, 12, 31706–31715. [Google Scholar] [CrossRef]
- Ihn, S.G.; Lee, N.; Jeon, S.O.; Sim, M.; Kang, H.; Jung, Y.; Huh, D.H.; Son, Y.M.; Lee, S.Y.; Numata, M.; et al. An Alternative Host Material for Long-Lifespan Blue Organic Light-Emitting Diodes Using Thermally Activated Delayed Fluorescence. Adv. Sci. 2017, 4, 1600502. [Google Scholar] [CrossRef]
- Feng, X.; Hu, J.-Y.; Yi, L.; Seto, N.; Tao, Z.; Redshaw, C.; Elsegood, M.R.J.; Yamato, T. Pyrene-Based Y-shaped Solid-State Blue Emitters: Synthesis, Characterization, and Photoluminescence. Chem. Asian J. 2012, 7, 2854–2863. [Google Scholar] [CrossRef] [PubMed]
- Yang, C.Y.; Lee, K.H.; Lee, J.Y. Zig-Zag Type Molecular Design Strategy of N-Type Hosts for Sky-Blue Thermally-Activated Delayed Fluorescence Organic Light-Emitting Diodes. Chem.-A Eur. J. 2020, 26, 2429–2435. [Google Scholar] [CrossRef]
- Hamada, Y.; Adachi, C.; Tsutsui, T.; Saito, S. Organic Electroluminescent Devices with Bright Blue Emission. Optoelectron. Tokyo 1992, 7, 83–93. [Google Scholar]
- Hamada, Y.; Adachi, C.; Tsutsui, T.; Saito, S. Blue-Light-Emitting Organic Electroluminescent Devices with Oxadiazole Dimer Dyes as an Emitter. Jpn. J. Appl. Phys. 1992, 31, 1812–1816. [Google Scholar] [CrossRef]
- Grem, G.; Leditzky, G.; Ullrich, B.; Leising, G. Realization of a Blue-Light-Emitting Device Using Poly(p-Phenylene). Adv. Mater. 1992, 4, 36–37. [Google Scholar] [CrossRef]
- Grem, G.; Leditzky, G.; Ullrich, B.; Leising, G. Blue Electroluminescent Device Based on a Conjugated Polymer. Synth. Met. 1992, 51, 383–389. [Google Scholar] [CrossRef]
- Hosokawa, C.; Kawasaki, N.; Sakamoto, S.; Kusumoto, T. Bright Blue Electroluminescence from Hole Transporting Polycarbonate. Appl. Phys. Lett. 1998, 61, 2503. [Google Scholar] [CrossRef]
- Hosokawa, C.; Tokailin, H.; Higashi, H.; Kusumoto, T. Transient Behavior of Organic Thin Film Electroluminescence. Appl. Phys. Lett. 1998, 60, 1220. [Google Scholar] [CrossRef]
- Hosokawa, C.; Tokailin, H.; Higashi, H.; Kusumoto, T. Transient Electroluminescence from Hole Transporting Emitting Layer in Nanosecond Region. Appl. Phys. Lett. 1998, 63, 1322. [Google Scholar] [CrossRef]
- Vestweber, H.; Sander, R.; Greiner, A.; Heitz, W.; Mahrt, R.F.; Bässler, H. Electroluminescence from Polymer Blends and Molecularly Doped Polymers. Synth. Met. 1994, 64, 141–145. [Google Scholar] [CrossRef]
- Hosokawa, C.; Tokailin, H.; Higashi, H.; Kusumoto, T. Efficient Electroluminescence of Distyrylarylene with Hole Transporting Ability. J. Appl. Phys. 1998, 78, 5831. [Google Scholar] [CrossRef]
- Tokailin, T.H.; Matsuura, M.; Higashi, H.; Hosokawa, C.; Kusumoto, T.; Tokailin, H.; Matsuura, M.; Kusumoto, T. Characteristics of Blue Organic Electroluminescent Devices with Distyryl Arylene Derivatives. Electron. Imaging 1993, 1910, 38–47. [Google Scholar] [CrossRef]
- Hosokawa, C.; Matsuura, M.; Eida, M.; Fukuoka, K.; Tokailin, H.; Kusumoto, T. 4.1: Invited Paper: Full-Color Organic EL Display. SID Symp. Dig. Tech. Pap. 1998, 29, 7–10. [Google Scholar] [CrossRef]
- Ho, M.H.; Chang, C.M.; Chu, T.Y.; Chen, T.M.; Chen, C.H. Iminodibenzyl-Substituted Distyrylarylenes as Dopants for Blue and White Organic Light-Emitting Devices. Org. Electron. 2008, 9, 101–110. [Google Scholar] [CrossRef]
- Wind, M.; Wiesler, U.M.; Saalwächter, K.; Müllen, K.; Spiess, H.W. Shape-Persistent Polyphenylene Dendrimers—Restricted Molecular Dynamics from Advanced Solid-State Nuclear Magnetic Resonance Techniques. Adv. Mater. 2001, 13, 752–756. [Google Scholar] [CrossRef]
- Rosenfeldt, S.; Dingenouts, N.; Pötschke, D.; Ballauff, M.; Berresheim, A.J.; Müllen, K.; Lindner, P. Analysis of the Spatial Dimensions of Fully Aromatic Dendrimers. Angew. Chem. Int. Ed. 2004, 43, 109–112. [Google Scholar] [CrossRef] [PubMed]
- Novel Green Light-Emitting Carbazole Derivatives: Potential Electroluminescent Materials-Thomas-2000-Advanced Materials-Wiley Online Library. Available online: https://onlinelibrary.wiley.com/doi/pdf/10.1002/1521-4095%28200012%2912%3A24%3C1949%3A%3AAID-ADMA1949%3E3.0.CO%3B2-X (accessed on 16 May 2022).
- Tonzola, C.J.; Alam, M.M.; Kaminsky, W.; Jenekhe, S.A. New N-Type Organic Semiconductors: Synthesis, Single Crystal Structures, Cyclic Voltammetry, Photophysics, Electron Transport, and Electroluminescence of a Series of Diphenylanthrazolines. J. Am. Chem. Soc. 2003, 125, 13548–13558. [Google Scholar] [CrossRef] [PubMed]
- Figueira-Duarte, T.M.; Del Rosso, P.G.; Trattnig, R.; Sax, S.; List, E.J.W.; Mullen, K. Designed Suppression of Aggregation in Polypyrene: Toward High-Performance Blue-Light-Emitting Diodes. Adv. Mater. 2010, 22, 990–993. [Google Scholar] [CrossRef] [PubMed]
- Xing, Y.; Xu, X.; Zhang, P.; Tian, W.; Yu, G.; Lu, P.; Liu, Y.; Zhu, D. Carbazole–Pyrene-Based Organic Emitters for Electroluminescent Device. Chem. Phys. Lett. 2005, 408, 169–173. [Google Scholar] [CrossRef]
- Sotoyama, W.; Sato, H.; Kinoshita, M.; Takahashi, T.; Matsuura, A.; Kodama, J.; Sawatari, N.; Inoue, H. 45.3: Tetra-Substituted Pyrenes: New Class of Blue Emitter for Organic Light-Emitting Diodes. SID Symp. Dig. Tech. Pap. 2003, 34, 1294–1297. [Google Scholar] [CrossRef]
- Miura, Y.; Yamano, E.; Tanaka, A.; Yamauchi, J. Generation, Isolation, and Characterization of N-(Arylthio)-7-Tert-Butyl- and N-(Arylthio)-2,7-Di-Tert-Butyl-1-Pyrenylaminyl Radicals. J. Org. Chem. 1994, 59, 3294–3300. [Google Scholar] [CrossRef]
- Grill, E.; Hauge, B.; Schiefelbein, J.; Martinez-Zapater, J.; Gil, P.; Iba, K.; Bevilacqua, P.C.; Kierzek, R.; Johnson, K.A.; Turner, D.H. Dynamics of Ribozyme Binding of Substrate Revealed by Fluorescence-Detected Stopped-Flow Methods. Science 1992, 258, 1355–1358. [Google Scholar] [CrossRef]
- Kim, J.; Beardslee, R.; Phillips, D.T.; Offen, H.W. Fluorescence Lifetimes of Pyrene Monomer and Excimer at High Pressures. J. Chem. Phys. 1969, 51, 1638. [Google Scholar] [CrossRef]
- Kropp, J.L.; Dawson, W.R.; Windsor, M.W. Radiative and Radiationless Processes in Aromatic Molecules. Pyrene. J. Phys. Chem. 1969, 73, 1747–1752. [Google Scholar] [CrossRef]
- Zhao, Z.; Li, J.H.; Chen, X.; Wang, X.; Lu, P.; Yang, Y. Solution-Processable Stiff Dendrimers: Synthesis, Photophysics, Film Morphology, and Electroluminescence. J. Org. Chem. 2009, 74, 383–395. [Google Scholar] [CrossRef] [PubMed]
- Jia, W.-L.; McCormick, T.; Liu, Q.-D.; Fukutani, H.; Motala, M.; Wang, R.-Y.; Tao, Y.; Wang, S. Diarylamino Functionalized Pyrene Derivatives for Use in Blue OLEDs and Complex Formation. J. Mater. Chem. 2004, 14, 3344–3350. [Google Scholar] [CrossRef]
- Lampkins, A.J.; O’Neil, E.J.; Smith, B.D. Bio-Orthogonal Phosphatidylserine Conjugates for Delivery and Imaging Applications. J. Org. Chem. 2008, 73, 6053–6058. [Google Scholar] [CrossRef] [PubMed]
- Vollmer, A.; Lorbach, D.; List, E.J.W.; Müllen, K.; Loi, M.A.; Manca, M.; Baumgarten, M.; Koch, N.; Trattnig, R.; Sax, S.; et al. Deep Blue Polymer Light Emitting Diodes Based on Easy to Synthesize, Non-Aggregating Polypyrene. Opt. Express 2011, 19, A1281–A1293. [Google Scholar] [CrossRef]
- Wu, K.C.; Ku, P.J.; Lin, C.S.; Shih, H.T.; Wu, F.I.; Huang, M.J.; Lin, J.J.; Chen, I.C.; Cheng, C.H. The Photophysical Properties of Dipyrenylbenzenes and Their Application as Exceedingly Efficient Blue Emitters for Electroluminescent Devices. Adv. Funct. Mater. 2008, 18, 67–75. [Google Scholar] [CrossRef]
- Zhao, Z.; Xu, X.; Wang, H.; Lu, P.; Yu, G.; Liu, Y. Zigzag Molecules from Pyrene-Modified Carbazole Oligomers: Synthesis, Characterization, and Application in OLEDs. J. Org. Chem. 2008, 73, 594–602. [Google Scholar] [CrossRef] [PubMed]
- Zhao, Z.; Xu, X.; Jiang, Z.; Lu, P.; Yu, G.; Liu, Y. Oligo(2,7-Fluorene Ethynylene)s with Pyrene Moieties: Synthesis, Characterization, Photoluminescence, and Electroluminescence. J. Org. Chem. 2007, 72, 8345–8353. [Google Scholar] [CrossRef] [PubMed]
- Chan, K.; Lim, J.; Yang, X.; Dodabalapur, A.; Jabbour, G.E.; Sellinger, A. High-Efficiency Pyrene-Based Blue Light Emitting Diodes: Aggregation Suppression Using a Calixarene 3D-Scaffold. Chem. Commun. 2012, 48, 5106–5108. [Google Scholar] [CrossRef] [PubMed]
- Wang, Z.; Xu, C.; Wang, W.; Dong, X.; Zhao, B.; Pigments, B.J.-D. Novel Pyrene Derivatives: Synthesis, Properties and Highly Efficient Non-Doped Deep-Blue Electroluminescent Device. Dye. Pigment. 2012, 92, 732–736. [Google Scholar] [CrossRef]
- Sonar, P.; Soh, M.S.; Cheng, Y.H.; Henssler, J.T.; Sellinger, A. 1,3,6,8-Tetrasubstituted Pyrenes: Solution-Processable Materials for Application in Organic Electronics. Org. Lett. 2010, 12, 3292–3295. [Google Scholar] [CrossRef] [PubMed]
- Moorthy, J.N.; Natarajan, P.; Venkatakrishnan, P.; Huang, D.F.; Chow, T.J. Steric Inhibition of π-Stacking: 1,3,6,8-Tetraarylpyrenes as Efficient Blue Emitters in Organic Light Emitting Diodes (OLEDs). Org. Lett. 2007, 9, 5215–5218. [Google Scholar] [CrossRef] [PubMed]
- Otsubo, T.; Aso, Y.; Takimiya, K. Functional Oligothiophenes as Advanced Molecular Electronic Materials. J. Mater. Chem. 2002, 12, 2565–2575. [Google Scholar] [CrossRef]
- Kumchoo, T.; Promarak, V.; Sudyoadsuk, T.; Sukwattanasinitt, M.; Rashatasakhon, P. Dipyrenylcarbazole Derivatives for Blue Organic Light-Emitting Diodes. Chem. Asian J. 2010, 5, 2162–2167. [Google Scholar] [CrossRef]
- Zhao, Z.; Xu, X.; Wang, F.; Yu, G.; Lu, P.; Liu, Y.; Zhu, D. Synthesis and Characterization of Light-Emitting Materials Composed of Carbazole, Pyrene and Fluorene. Synth. Met. 2006, 156, 209–214. [Google Scholar] [CrossRef]
- Mikroyannidis, J.A.; Fenenko, L.; Adachi, C. Synthesis and Photophysical Characteristics of 2,7-Fluorenevinylene-Based Trimers and Their Electroluminescence. J. Phys. Chem. B 2006, 110, 20317–20326. [Google Scholar] [CrossRef]
- Tang, C.; Liu, F.; Xia, Y.; Xie, L.; Wei, A.; Li, S.-B.; Fan, Q.-L.; Huang, W. Efficient 9-Alkylphenyl-9-Pyrenylfluorene Substituted Pyrene Derivatives with Improved Hole Injection for Blue Light-Emitting Diodes. J. Mater. Chem. 2006, 16, 4074–4080. [Google Scholar] [CrossRef]
- Tang, C.; Liu, F.; Xia, Y.; Lin, J.; Xie, L.; Zhong, G.-Y.; Fan, Q.-L.; Huang, W. Fluorene-Substituted Pyrenes—Novel Pyrene Derivatives as Emitters in Nondoped Blue OLEDs. Org. Electron. 2006, 7, 155–162. [Google Scholar] [CrossRef]
- Peng, Z.; Tao, S.; Zhang, X.; Tang, J.; Lee, C.S.; Lee, S.T. New Fluorene Derivatives for Blue Electroluminescent Devices: Influence of Substituents on Thermal Properties, Photoluminescence, and Electroluminescence. J. Phys. Chem. C 2008, 112, 2165–2169. [Google Scholar] [CrossRef]
- Liu, F.; Xie, L.H.; Tang, C.; Liang, J.; Chen, Q.Q.; Peng, B.; Wei, W.; Cao, Y.; Huang, W. Facile Synthesis of Spirocyclic Aromatic Hydrocarbon Derivatives Based on O-Halobiaryl Route and Domino Reaction for Deep-Blue Organic Semiconductors. Org. Lett. 2009, 11, 3850–3853. [Google Scholar] [CrossRef] [PubMed]
- Tao, S.; Zhou, Y.; Lee, C.S.; Zhang, X.; Lee, S.T. High-Efficiency Nondoped Deep-Blue-Emitting Organic Electroluminescent Device. Chem. Mater. 2010, 22, 2138–2141. [Google Scholar] [CrossRef]
- Thangthong, A.; Prachumrak, N.; Tarsang, R.; Keawin, T.; Jungsuttiwong, S.; Sudyoadsuka, T.; Promarak, V. Blue Light-Emitting and Hole-Transporting Materials Based on 9, 9-Bis (4-Diphenylaminophenyl) Fluorenes for Efficient Electroluminescent Devices. Mater. Chem. 2012, 22, 6869–6877. [Google Scholar] [CrossRef]
- Jou, J.; Chen, Y.; Tseng, J.; Wu, R.Z.; Shyue, J.J.; Thomas, K.R.J.; Kapoor, N.; Chen, C.-T.; Lin, Y.-P.; Wang, P.-H.; et al. The Use of a Polarity Matching and High-Energy Exciton Generating Host in Fabricating Efficient Purplish-Blue OLEDs from a Sky-Blue Emitter. J. Mater. Chem. 2012, 22, 15500–15506. [Google Scholar] [CrossRef]
- Tao, S.; Peng, Z.; Zhang, X.; Wang, P.; Lee, C.-S.; Lee, S.-T. Highly Efficient Non-doped Blue Organic Light-emitting Diodes Based on Fluorene Derivatives with High Thermal Stability. Adv. Funct. Mater. 2005, 15, 1716–1721. [Google Scholar] [CrossRef]
- Lai, S.; Tong, Q.; Chan, M.; Ng, T.; Lo, M.-F.; Lee, S.-T.; Lee, C.-S. Distinct Electroluminescent Properties of Triphenylamine Derivatives in Blue Organic Light-Emitting Devices. J. Mater. Chem. 2011, 21, 1206–1211. [Google Scholar] [CrossRef]
- Thomas, K.; Velusamy, M.; Lin, J.T.; Chuen, C.H.; Tao, Y.-T. Hexaphenylphenylene Dendronised Pyrenylamines for Efficient Organic Light-Emitting Diodes. J. Mater. Chem. 2005, 15, 4453–4459. [Google Scholar] [CrossRef]
- Tao, S.; Zhou, Y.; Lee, C.S.; Lee, S.T.; Huang, D.; Zhang, X. Highly Efficient Nondoped Blue Organic Light-Emitting Diodes Based on Anthracene-Triphenylamine Derivatives. J. Phys. Chem. C 2008, 112, 14603–14606. [Google Scholar] [CrossRef]
- Figueira-Duarte, T.M.; Müllen, K. Pyrene-Based Materials for Organic Electronics. Chem. Rev. 2011, 111, 7260–7314. [Google Scholar] [CrossRef] [PubMed]
- Kumar, D.; Thomas, K.R.J.; Lin, C.C.; Jou, J.H. Pyrenoimidazole-Based Deep-Blue-Emitting Materials: Optical, Electrochemical, and Electroluminescent Characteristics. Chem. Asian J. 2013, 8, 2111–2124. [Google Scholar] [CrossRef] [PubMed]
- Figueira-Duarte, T.M.; Simon, S.C.; Wagner, M.; Druzhinin, S.I.; Zachariasse, K.A.; Müllen, K. Polypyrene Dendrimers. Angew. Chem. Int. Ed. 2008, 47, 10175–10178. [Google Scholar] [CrossRef] [PubMed]
- Kotchapradist, P.; Prachumrak, N.; Tarsang, R.; Jungsuttiwong, S.; Keawin, T.; Sudyoadsuk, T.; Promarak, V. Pyrene-Functionalized Carbazole Derivatives as Non-Doped Blue Emitters for Highly Efficient Blue Organic Light-Emitting Diodes. J. Mater. Chem. C 2013, 1, 4916–4924. [Google Scholar]
- Shi, J.; Tang, C.W. Anthracene Derivatives for Stable Blue-Emitting Organic Electroluminescence Devices. Appl. Phys. Lett. 2002, 80, 3201. [Google Scholar] [CrossRef]
- Shih, B.P.; Chuang, C.; Chien, C.; Diau, E.W.; Shu, C. Highly Efficient Non-Doped Blue-Light-Emitting Diodes Based on an Anthrancene Derivative End-Capped with Tetraphenylethylene Groups. Adv. Funct. Mater. 2007, 17, 3141–3146. [Google Scholar] [CrossRef]
- Kim, S.; Yang, B.; Ma, Y.; Lee, J.; Park, J. Exceedingly Efficient Deep-Blue Electroluminescence from New Anthracenes Obtained Using Rational Molecular Design. J. Mater. Chem. 2008, 18, 3376–3384. [Google Scholar] [CrossRef]
- Zheng, C.; Zhao, W.; Wang, Z.; Huang, D.; Ye, J.; Ou, X.; Zhang, X.; Lee, C.; Lee, S. Highly Efficient Non-Doped Deep-Blue Organic Light-Emitting Diodes Based on Anthracene Derivatives. J. Mater. Chem. 2010, 20, 1560–1566. [Google Scholar] [CrossRef]
- Chem, J.M.; Kim, S.H.; Cho, I.; Sim, M.K.; Park, S.; Park, S.Y. Highly Efficient Deep-Blue Emitting Organic Light Emitting Diode Based on the Multifunctional Fluorescent Molecule Comprising Covalently Bonded Carbazole and Anthracene Moieties. J. Mater. Chem. 2011, 21, 9139–9148. [Google Scholar] [CrossRef]
- Zhuang, S.; Shangguan, R.; Jin, J.; Tu, G.; Wang, L.; Chen, J.; Ma, D.; Zhu, X. Efficient Nondoped Blue Organic Light-Emitting Diodes Based on Phenanthroimidazole-Substituted Anthracene Derivatives. Org. Electron. 2012, 13, 3050–3059. [Google Scholar] [CrossRef]
- Park, J. Highly Efficient Dual-Core Derivatives with EQEs as High as 8.38% at High Brightness for OLED Blue Emitters. J. Mater. Chem. 2019, 7, 14709–14716. [Google Scholar] [CrossRef]
- Lai, W.Y.; Zhu, R.; Fan, Q.L.; Hou, L.T.; Cao, Y.; Huang, W. Monodisperse Six-Armed Triazatruxenes: Microwave-Enhanced Synthesis and Highly Efficient Pure-Deep-Blue Electroluminescence. Macromolecules 2006, 39, 3707–3709. [Google Scholar] [CrossRef]
- Lai, W.Y.; He, Q.Y.; Zhu, R.; Chen, Q.Q.; Huang, W. Kinked Star-Shaped Fluorene/Triazatruxene Co-Oligomer Hybrids with Enhanced Functional Properties for High-Performance, Solution-Processed, Blue Organic Light-Emitting Diodes. Adv. Funct. Mater. 2008, 18, 265–276. [Google Scholar] [CrossRef]
- You, A.; Be, M.A.Y.; In, I. High Efficiency Deep-Blue Organic Light-Emitting Diode with a Blue Dye in Low-Polarity Host. Appl. Phys. Lett. 2008, 92, 193314. [Google Scholar] [CrossRef]
- Zhu, M.; Ye, T.; Li, C.G.; Cao, X.; Zhong, C.; Ma, D.; Qin, J.; Yang, C. Efficient Solution-Processed Nondoped Deep-Blue Organic Light-Emitting Diodes Based on Fluorene-Bridged Anthracene Derivatives Appended with Charge Transport Moieties. J. Phys. Chem. C 2011, 115, 17965–17972. [Google Scholar] [CrossRef]
- Huang, H.; Fu, Q.; Zhuang, S.; Liu, Y.; Wang, L.; Chen, J.; Ma, D.; Yang, C. Novel Deep Blue OLED Emitters with 1,3,5-Tri(Anthracen-10-Yl)Benzene-Centered Starburst Oligofluorenes. J. Phys. Chem. C 2011, 115, 4872–4878. [Google Scholar] [CrossRef]
- Liu, C.; Li, Y.; Zhang, Y.; Yang, C.; Wu, H.; Qin, J.; Cao, Y. Solution-Processed, Undoped, Deep-Blue Organic Light-Emitting Diodes Based on Starburst Oligofluorenes with a Planar Triphenylamine Core. Chemistry 2012, 18, 6928–6934. [Google Scholar] [CrossRef]
- Zhi, B.; Gao, Q.; Li, Z.H.; Xia, P.F.; Wong, M.S.; Cheah, K.W.; Chen, C.H. Efficient Deep-Blue Organic Light-Emitting Diodes: Arylamine-Substituted Oligofluorenes. Adv. Funct. Mater. 2007, 17, 3194–3199. [Google Scholar] [CrossRef]
- Zhang, T.; Wang, R.; Ren, H.; Chen, Z.; Li, J. Deep Blue Light-Emitting Polymers with Fluorinated Backbone for Enhanced Color Purity and Efficiency. Polymer 2012, 7, 1529–1534. [Google Scholar] [CrossRef]
- Meunmart, D.; Prachumrak, N.; Keawin, T.; Jungsuttiwong, S.; Sudyoadsuk, T.; Promark, V. Bis(4-Diphenylaminophenyl)Carbazole End-Capped Fluorene as Solution-Processed Deep-Blue Light-Emitting and Hole-Transporting Materials for Electroluminescent Devices. Tetrahedron Lett. 2012, 28, 3615–3618. [Google Scholar] [CrossRef]
- Liu, C.; Gu, Y.; Fu, Q.; Sun, N.; Zhong, C.; Ma, D.; Qin, J.; Yang, C. Nondoped Deep-Blue Organic Light-Emitting Diodes with Color Stability and Very Low Efficiency Roll-off: Solution-Processable Small-Molecule Fluorophores by Phosphine Oxide Linkage. Chem.-A Eur. J. 2012, 18, 13828–13835. [Google Scholar] [CrossRef] [PubMed]
- Liu, C.; Li, Y.; Li, Y.; Yang, C.; Wu, H.; Qin, J.; Cao, Y. Efficient Solution-Processed Deep-Blue Organic Light-Emitting Diodes Based on Multibranched Oligofluorenes with a Phosphine Oxide Center. Chem. Mater. 2013, 25, 3320–3327. [Google Scholar] [CrossRef]
- Giovanella, U.; Botta, C.; Galeotti, F.; Vercelli, B.; Battiato, S.; Pasini, M. Perfluorinated Polymer with Unexpectedly Efficient Deep Blue Electroluminescence for Full-Colour OLED Displays and Light Therapy Applications. J. Mater. Chem. C Mater. 2013, 1, 5322–5329. [Google Scholar] [CrossRef]
- McDowell, J.J.; Maier-Flaig, F.; Wolf, T.J.A.; Unterreiner, A.N.; Lemmer, U.; Ozin, G. Synthesis and Application of Photolithographically Patternable Deep Blue Emitting Poly(3,6-Dimethoxy-9,9-Dialkylsilafluorene)s. ACS Appl. Mater. Interfaces 2014, 6, 83. [Google Scholar] [CrossRef]
- Hu, L.; Liu, S.; Xie, G.; Yang, W.; Zhang, B. Bis(Benzothiophene-S,S-Dioxide) Fused Small Molecules Realize Solution-Processible, High-Performance and Non-Doped Blue Organic Light-Emitting Diodes. J. Mater. Chem. C Mater. 2020, 8, 1002–1009. [Google Scholar] [CrossRef]
- Liu, X.; Liu, W.; Dongyu, W.; Wei, X.; Wang, L.; Wang, H.; Miao, Y.; Xu, H.; Yu, J.; Xu, B. Deep-Blue Fluorescent Emitter Based on a 9,9-Dioctylfluorene Bridge with a Hybridized Local and Charge-Transfer Excited State for Organic Light-Emitting Devices with EQE Exceeding 8%. J. Mater. Chem. C. 2020, 8, 14117–14124. [Google Scholar] [CrossRef]
- Fischer, A.; Forget, S.; Chénais, S.; Castex, M.; Adès, D.; Siove, A.; Denis, C.; Maisse, P.; Geffroy, B. Highly Efficient Multilayer Organic Pure-Blue-Light Emitting Diodes with Substituted Carbazoles Compounds in the Emitting Layer. J. Phys. D Appl. Phys. 2006, 39, 917. [Google Scholar] [CrossRef]
- Tseng, R.J.; Chiechi, R.C.; Wudl, F.; Yang, Y. Highly Efficient 7,8,10-Triphenylfluoranthene-Doped Blue Organic Light-Emitting Diodes for Display Application. Appl. Phys. Lett. 2006, 88, 093512. [Google Scholar] [CrossRef]
- Jou, J.H.; Chiang, P.H.; Lin, Y.P.; Chang, C.Y.; Lai, C.L. Hole-Transporting-Layer-Free High-Efficiency Fluorescent Blue Organic Light-Emitting Diodes. Appl. Phys. Lett. 2007, 91, 043504. [Google Scholar] [CrossRef]
- Li, Z.; Jiao, B.; Wu, Z.; Liu, P.; Ma, L.; Lei, X.; Wang, D.; Zhou, G.; Hu, H.; Hou, X. Fluorinated 9,9′-Spirobifluorene Derivatives as Host Materials for Highly Efficient Blue Organic Light-Emitting Devices. J. Mater. Chem. C Mater. 2013, 1, 2183–2192. [Google Scholar] [CrossRef]
- Yu, J.; Chen, Z.; Sakuratani, Y.; Suzuki, H.; Tokita, M.; Miyata, S. A Novel Blue Light Emitting Diode Using Tris(2,3-Methyl-8-Hydroxyquinoline) Aluminum(III) as Emitter. Jpn. J. Appl. Phys. 1999, 38, 6762–6763. [Google Scholar] [CrossRef]
- Chan, L.; Lee, R.; Hsieh, C.; Yeh, H.; Chen, C. Optimization of High-Performance Blue Organic Light-Emitting Diodes Containing Tetraphenylsilane Molecular Glass Materials. J. Am. Chem. Soc. 2002, 78, 6469–6479. [Google Scholar] [CrossRef] [PubMed]
- Liu, D.; Du, M.; Chen, D.; Ye, K.; Zhang, Z.; Liu, Y.; Wang, Y. A Novel Tetraphenylsilane–Phenanthroimidazole Hybrid Host Material for Highly Efficient Blue Fluorescent, Green and Red Phosphorescent. J. Mater. Chem. C 2015, 3, 4394–4401. [Google Scholar] [CrossRef]
- Jou, J.H.; Li, J.L.; Sahoo, S.; Dubey, D.K.; Kumar Yadav, R.A.; Joseph, V.; Thomas, K.R.J.; Wang, C.W.; Jayakumar, J.; Cheng, C.H. Enabling a 6.5% External Quantum Efficiency Deep-Blue Organic Light-Emitting Diode with a Solution-Processable Carbazole-Based Emitter. J. Phys. Chem. C 2018, 122, 24295–24303. [Google Scholar] [CrossRef]
- Yang, J.; Liu, X.; Liu, Z.; Wang, L.; Sun, J.; Guo, Z.; Xu, H.; Wang, H.; Zhao, B.; Xie, G. Protonation-Induced Dual Fluorescence of a Blue Fluorescent Material with Twisted A–π–D–π–A Configuration. J. Mater. Chem. C Mater. 2020, 8, 2442–2450. [Google Scholar] [CrossRef]
- Wu, Q.; Braveenth, R.; Zhang, H.Q.; Bae, I.J.; Kim, M.; Chai, K.Y. Oxadiazole-Based Highly Efficient Bipolar Fluorescent Emitters for Organic Light-Emitting Diodes. Molecules 2018, 23, 843. [Google Scholar] [CrossRef] [PubMed]
- Wang, Y.; Huang, H.; Wang, Y.; Zhu, Q.; Qin, J. Simple Oxadiazole Derivatives as Deep Blue Fluorescent Emitter and Bipolar Host for Organic Light-Emitting Diodes. OptMa 2018, 84, 278–283. [Google Scholar] [CrossRef]
- Tang, C.; VanSlyke, S.A. Organic Electroluminescent Diodes. Appl. Phys. Lett. 1987, 51, 913–915. [Google Scholar] [CrossRef]
- Wu, C.-C.; Lin, Y.-T.; Wong, K.-T.; Chen, R.-T.; Chien, Y.-Y. Efficient Organic Blue-Light-Emitting Devices with Double Confinement on Terfluorenes with Ambipolar Carrier Transport Properties. Adv. Mater. 2004, 16, 61–65. [Google Scholar] [CrossRef]
- Lee, M.-T.; Liao, C.-H.; Tsai, C.-H.; Chen, H. Highly Efficient, Deep-blue Doped Organic Light-emitting Devices. Adv. Mater. 2002, 80, 2493–2497. [Google Scholar] [CrossRef]
- Baldo, M.; Thompson, M.; Forrest, S. High-Efficiency Fluorescent Organic Light-Emitting Devices Using a Phosphorescent Sensitizer. Nature 2000, 403, 750–753. [Google Scholar] [CrossRef]
- Kido, J.; Kimura, M.; Science, K.N. Multilayer White Light-Emitting Organic Electroluminescent Device. Science 1995, 267, 1332–1334. [Google Scholar] [CrossRef]
- Benmansour, B.H.; Shioya, T.; Sato, Y.; Bazan, G.C. Anthracene-Containing Binaphthol Chromophores for Light-Emitting Diode (LED) Fabrication. Adv. Funct. Mater. 2003, 13, 883–886. [Google Scholar] [CrossRef]
- Holmes, R.J.; Forrest, S.R.; Sajoto, T.; Tamayo, A.; Djurovich, P.I.; Thompson, M.E.; Brooks, J.; Tung, Y.J.; D’Andrade, B.W.; Weaver, M.S.; et al. Saturated Deep Blue Organic Electrophosphorescence Using a Fluorine-Free Emitter. Appl. Phys. Lett. 2005, 87, 243507. [Google Scholar] [CrossRef]
- Xiaohui Yang, B.; Wang, Z.; Madakuni, S.; Li, J.; Jabbour, G.E.; Jabbour, G.E.; Yang, X.; Li, J.; Wang, Z.; Madakuni, S. Efficient Blue- and White-Emitting Electrophosphorescent Devices Based on Platinum(II) [1,3-Difluoro-4,6-Di(2-Pyridinyl)Benzene] Chloride. Adv. Mater. 2008, 20, 2405–2409. [Google Scholar] [CrossRef]
- Sasabe, H.; Takamatsu, J.I.; Motoyama, T.; Watanabe, S.; Wagenblast, G.; Langer, N.; Molt, O.; Fuchs, E.; Lennartz, C.; Kido, J. High-Efficiency Blue and White Organic Light-Emitting Devices Incorporating a Blue Iridium Carbene Complex. Adv. Mater. 2010, 22, 5003–5007. [Google Scholar] [CrossRef]
- Hang, X.-C.; Fleetham, T.; Turner, E.; Brooks, J.; Li, J.; Hang, X.; Fleetham, T.; Turner, E.; Li, J.; Brooks, J. Highly Efficient Blue-Emitting Cyclometalated Platinum(II) Complexes by Judicious Molecular Design. Angew. Chem. Int. Ed. 2013, 52, 6753–6756. [Google Scholar] [CrossRef]
- Ertl, C.D.; Cerdá, J.; Junquera-Hernández, J.M.; Pertegás, A.; Bolink, H.J.; Constable, E.C.; Neuburger, M.; Ortí, E.; Housecroft, C.E. Colour Tuning by the Ring Roundabout: [Ir(C^N)2(N^N)]+ Emitters with Sulfonyl-Substituted Cyclometallating Ligands. RSC Adv. 2015, 5, 42815–42827. [Google Scholar] [CrossRef]
- He, L.; Wang, Z.; Duan, L.; Yang, C.; Tang, R.; Song, X.; Pan, C. Toward Fluorine-Free Blue-Emitting Cationic Iridium Complexes: To Generate Emission from the Cyclometalating Ligands with Enhanced Triplet Energy. Dalton Trans. 2016, 45, 5604–5613. [Google Scholar] [CrossRef]
- Shavaleev, N.M.; Scopelliti, R.; Grätzel, M.; Nazeeruddin, M.K. Phosphorescent cationic iridium(III) complexes with cyclometalating 1H-indazole and 2H-[1,2,3]-triazole ligands. Inorganica Chim. Acta 2012, 388, 84–87. [Google Scholar] [CrossRef]
- Li, J.; Djurovich, P.I.; Alleyne, B.D.; Yousufuddin, M.; Ho, N.N.; Thomas, J.C.; Peters, J.C.; Bau, R.; Thompson, M.E. Synthetic Control of Excited-State Properties in Cyclometalated Ir(III) Complexes Using Ancillary Ligands. Inorg. Chem. 2005, 44, 1713–1727. [Google Scholar] [CrossRef] [PubMed]
- Holmes, R.J.; D’Andrade, B.W.; Forrest, S.R.; Ren, X.; Li, J.; Thompson, M.E. Efficient, Deep-Blue Organic Electrophosphorescence by Guest Charge Trapping. Appl. Phys. Lett. 2003, 83, 3818. [Google Scholar] [CrossRef]
- Lee, S.J.; Park, K.M.; Yang, K.; Kang, Y. Blue Phosphorescent Ir(III) Complex with High Color Purity: Fac-Tris(2′,6′-Difluoro-2,3′-Bipyridinato-N,C 4′)Iridium(III). Inorg. Chem. 2009, 48, 1030–1037. [Google Scholar] [CrossRef] [PubMed]
- Kang, Y.; Chang, Y.L.; Lu, J.S.; Ko, S.B.; Rao, Y.; Varlan, M.; Lu, Z.H.; Wang, S. Highly Efficient Blue Phosphorescent and Electroluminescent Ir(III) Compounds. J. Mater. Chem. C Mater. 2012, 1, 441–450. [Google Scholar] [CrossRef]
- Hsieh, C.H.; Wu, F.I.; Fan, C.H.; Huang, M.J.; Lu, K.Y.; Chou, P.Y.; Yang, Y.H.O.; Wu, S.H.; Chen, I.C.; Chou, S.H.; et al. Design and Synthesis of Iridium Bis(Carbene) Complexes for Efficient Blue Electrophosphorescence. Chem.-A Eur. J. 2011, 17, 9180–9187. [Google Scholar] [CrossRef]
- Fan, C.; Li, Y.; Yang, C.; Wu, H.; Qin, J.; Cao, Y. Phosphoryl/Sulfonyl-Substituted Iridium Complexes as Blue Phosphorescent Emitters for Single-Layer Blue and White Organic Light-Emitting Diodes by Solution Process. Chem. Mater. 2012, 24, 4581–4587. [Google Scholar] [CrossRef]
- Fan, C.; Zhu, L.; Jiang, B.; Zhong, C.; Ma, D.; Qin, J.; Yang, C. Efficient Blue and Bluish-Green Iridium Phosphors: Fine-Tuning Emissions of FIrpic by Halogen Substitution on Pyridine-Containing Ligands. Org. Electron. 2013, 14, 3163–3171. [Google Scholar] [CrossRef]
- Kessler, F.; Watanabe, Y.; Sasabe, H.; Katagiri, H.; Nazeeruddin, M.K.; Grätzel, M.; Kido, J. High-Performance Pure Blue Phosphorescent OLED Using a Novel Bis-Heteroleptic Iridium(III) Complex with Fluorinated Bipyridyl Ligands. J. Mater. Chem. C Mater. 2013, 1, 1070–1075. [Google Scholar] [CrossRef]
- Park, H.J.; Kim, J.N.; Yoo, H.J.; Wee, K.R.; Kang, S.O.; Cho, D.W.; Yoon, U.C. Rational Design, Synthesis, and Characterization of Deep Blue Phosphorescent Ir(III) Complexes Containing (4′-Substituted-2′-Pyridyl)-1,2,4-Triazole Ancillary Ligands. J. Org. Chem. 2013, 78, 8054–8064. [Google Scholar] [CrossRef] [PubMed]
- Lee, S.; Kim, S.O.; Shin, H.; Yun, H.J.; Yang, K.; Kwon, S.K.; Kim, J.J.; Kim, Y.H. Deep-Blue Phosphorescence from Perfluoro Carbonyl-Substituted Iridium Complexes. J. Am. Chem. Soc. 2013, 135, 14321–14328. [Google Scholar] [CrossRef]
- Liu, L.; Liu, X.; Wu, K.; Ding, J.; Zhang, B.; Xie, Z.; Wang, L. Efficient Solution-Processed Blue Phosphorescent Organic Light-Emitting Diodes with Halogen-Free Solvent to Optimize the Emissive Layer Morphology. Org. Electron. 2014, 15, 1401–1406. [Google Scholar] [CrossRef]
- Sun, D.; Zhou, X.; Li, H.; Sun, X.; Ren, Z.; Yan, S. Multi-3,3 ′ -Bicarbazole-Substituted Arylsilane Host Materials with Balanced Charge Transport for Highly E Ffi Cient Solution-Processed Blue Phosphorescent Organic Light-Emitting Diodes. ACS Appl. Mater. Interfaces 2015, 32, 17802–17810. [Google Scholar] [CrossRef] [PubMed]
- Byeon, S.Y.; Choi, J.M.; Lee, J.Y. Dyes and Pigments Pyridoindole Based Intramolecular Charge Transfer Type Host Material for Blue Phosphorescent Organic Light-Emitting Diodes. Dye. Pigment. 2016, 134, 285–290. [Google Scholar] [CrossRef]
- Park, S.R.; Kim, S.M.; Kang, J.H.; Lee, J.H.; Suh, M.C. Bipolar Host Materials with Carbazole and Dipyridylamine Groups Showing High Triplet Energy for Blue Phosphorescent Organic Light Emitting Diodes. Dye. Pigment. 2017, 141, 217–224. [Google Scholar] [CrossRef]
- Yuan, J.; Jiang, H.; Yang, Q.; Xiang, Y.; Zhang, Y.; Dai, Y.; Li, P.; Zheng, C.; Xie, G.; Chen, R. A solution-processable wholly-aromatic bipolar host material for highly efficient blue electroluminescent devices. J. Mater. Chem. C 2021, 9, 687–692. [Google Scholar] [CrossRef]
- Kang, J.; Zaen, R.; Park, K.M.; Lee, K.H.; Lee, J.Y.; Kang, Y. Cyclometalated Platinum(II) β-Diketonate Complexes as Single Dopants for High-Efficiency White OLEDs: The Relationship between Intermolecular Interactions in the Solid State and Electroluminescent Efficiency. Cryst. Growth Des. 2020, 20, 6129–6138. [Google Scholar] [CrossRef]
- Liao, K.Y.; Hsu, C.W.; Chi, Y.; Hsu, M.K.; Wu, S.W.; Chang, C.H.; Liu, S.H.; Lee, G.H.; Chou, P.T.; Hu, Y.; et al. Pt(II) Metal Complexes Tailored with a Newly Designed Spiro-Arranged Tetradentate Ligand; Harnessing of Charge-Transfer Phosphorescence and Fabrication of Sky Blue and White OLEDs. Inorg. Chem. 2015, 54, 4029–4038. [Google Scholar] [CrossRef]
- Liu, Q.D.; Wang, R.; Wang, S. Blue Phosphorescent Zn(II) and Orange Phosphorescent Pt(II) Complexes of 4,4′-Diphenyl-6,6′-Dimethyl-2,2′-Bipyrimidine. Dalton Trans. 2004, 2073–2079. [Google Scholar] [CrossRef]
- Xu, H.; Xu, Z.F.; Yue, Z.Y.; Yan, P.F.; Wang, B.; Jia, L.W.; Li, G.M.; Sun, W.B.; Zhang, J.W. A Novel Deep Blue-Emitting ZnII Complex Based on Carbazole-Modified 2-(2-Hydroxyphenyl)Benzimidazole: Synthesis, Bright Electroluminescence, and Substitution Effect on Photoluminescent, Thermal, and Electrochemical Properties. J. Phys. Chem. C 2008, 112, 15517–15525. [Google Scholar] [CrossRef]
- Oh, C.S.; Lee, J.Y. High Triplet Energy Zn Complexes as Host Materials for Green and Blue Phosphorescent Organic Light-Emitting Diodes. Dye. Pigment. 2013, 99, 374–377. [Google Scholar] [CrossRef]
- Soo Yook, K.; Yeob Lee, J.; Yook, K.S.; Lee, J.Y. Organic Materials for Deep Blue Phosphorescent Organic Light-emitting Diodes. Adv. Mater. 2012, 24, 3169–3190. [Google Scholar] [CrossRef] [PubMed]
- Zhu, M.; Yang, C. Blue Fluorescent Emitters: Design Tactics and Applications in Organic Light-Emitting Diodes. Chem. Soc. Rev. 2013, 42, 4963–4976. [Google Scholar] [CrossRef] [PubMed]
- Endo, A.; Ogasawara, M.; Takahashi, A.; Yokoyama, D.; Kato, Y.; Adachi, C.; Adachi, C.; Endo, A.; Yokoyama, D.; Ogasawara, M.; et al. Thermally Activated Delayed Fluorescence from Sn4+–Porphyrin Complexes and Their Application to Organic Light Emitting Diodes—A Novel Mechanism for Electroluminescence. Adv. Mater. 2009, 21, 4802–4806. [Google Scholar] [CrossRef] [PubMed]
- Cui, L.-S.; Nomura, H.; Kim, J.U.; Nakanotani, H.; Adachi, C.; Cui, L.; Geng, Y.; Kim, J.U.; Nakanotani, H.; Adachi, C.; et al. Controlling Singlet–Triplet Energy Splitting for Deep-Blue Thermally Activated Delayed Fluorescence Emitters. Angew. Chem. Int. Ed. 2017, 56, 1571–1575. [Google Scholar] [CrossRef]
- Cai, X.; Su, S.-J.; Cai, X.Y.; Su, S.-J. Marching Toward Highly Efficient, Pure-Blue, and Stable Thermally Activated Delayed Fluorescent Organic Light-Emitting Diodes. Adv. Funct. Mater. 2018, 28, 1802558. [Google Scholar] [CrossRef]
- Su, S.J.; Chiba, T.; Takeda, T.; Kido, J. Pyridine-Containing Triphenylbenzene Derivatives with High Electron Mobility for Highly Efficient Phosphorescent OLEDs. Adv. Mater. 2008, 20, 2125–2130. [Google Scholar] [CrossRef]
- Cui, L.S.; Deng, Y.L.; Tsang, D.P.K.; Jiang, Z.Q.; Zhang, Q.; Liao, L.S.; Adachi, C. Controlling Synergistic Oxidation Processes for Efficient and Stable Blue Thermally Activated Delayed Fluorescence Devices. Adv. Mater. 2016, 28, 7620–7625. [Google Scholar] [CrossRef]
- Tao, Y.; Yuan, K.; Chen, T.; Xu, P.; Li, H.; Chen, R.; Zheng, C.; Zhang, L.; Huang, W. Thermally Activated Delayed Fluorescence Materials towards the Breakthrough of Organoelectronics. Adv. Mater. 2014, 26, 7931–7958. [Google Scholar] [CrossRef]
- Shin, H.; Lee, S.; Kim, K.H.; Moon, C.K.; Yoo, S.J.; Lee, J.H.; Kim, J.J. Blue Phosphorescent Organic Light-Emitting Diodes Using an Exciplex Forming Co-Host with the External Quantum Efficiency of Theoretical Limit. Adv. Mater. 2014, 26, 4730–4734. [Google Scholar] [CrossRef]
- Hirata, S.; Sakai, Y.; Masui, K.; Tanaka, H.; Lee, S.Y.; Nomura, H.; Nakamura, N.; Yasumatsu, M.; Nakanotani, H.; Zhang, Q.; et al. Highly Efficient Blue Electroluminescence Based on Thermally Activated Delayed Fluorescence. Nat. Mater. 2014, 14, 330–336. [Google Scholar] [CrossRef]
- Li, W.; Pan, Y.; Xiao, R.; Peng, Q.; Zhang, S.; Ma, D.; Li, F.; Shen, F.; Wang, Y.; Yang, B.; et al. Employing ~100% Excitons in OLEDs by Utilizing a Fluorescent Molecule with Hybridized Local and Charge-Transfer Excited State. Adv. Funct. Mater. 2014, 24, 1609–1614. [Google Scholar] [CrossRef]
- Zhang, Q.; Li, B.; Huang, S.; Nomura, H.; Tanaka, H.; Adachi, C. Efficient Blue Organic Light-Emitting Diodes Employing Thermally Activated Delayed Fluorescence. Nat. Photonics 2014, 8, 326–332. [Google Scholar] [CrossRef]
- Zhang, Q.; Tsang, D.; Kuwabara, H.; Hatae, Y.; Li, B.; Takahashi, T.; Youn Lee, S.; Yasuda, T.; Adachi, C.; Zhang, Q.; et al. Nearly 100% Internal Quantum Efficiency in Undoped Electroluminescent Devices Employing Pure Organic Emitters. Adv. Mater. 2015, 27, 2096–2100. [Google Scholar] [CrossRef] [PubMed]
- Sasabe, H.; Seino, Y.; Kimura, M.; Kido, J. A m -Terphenyl-Modifed Sulfone Derivative as a Host Material for High-Efficiency Blue and Green Phosphorescent OLEDs. Chem. Mater. 2012, 24, 1404–1406. [Google Scholar] [CrossRef]
- Jeon, S.O.; Earmme, T.; Jenekhe, S.A. New Sulfone-Based Electron-Transport Materials with High Triplet Energy for Highly Efficient Blue Phosphorescent Organic Light-Emitting Diodes. J. Mater. Chem. C Mater. 2014, 2, 10129–10137. [Google Scholar] [CrossRef]
- Duan, L.; Qiao, J.; Sun, Y.; Qiu, Y.; Duan, L.; Qiao, J.; Sun, Y.D.; Qiu, Y. Strategies to Design Bipolar Small Molecules for OLEDs: Donor-Acceptor Structure and Non-Donor-Acceptor Structure. Adv. Mater. 2011, 23, 1137–1144. [Google Scholar] [CrossRef]
- Hsu, F.M.; Chien, C.H.; Hsieh, Y.J.; Wu, C.H.; Shu, C.F.; Liu, S.W.; Chen, C.T. Highly Efficient Red Electrophosphorescent Device Incorporating a Bipolar Triphenylamine/Bisphenylsulfonyl-Substituted Fluorene Hybrid as the Host. J. Mater. Chem. 2009, 19, 8002–8008. [Google Scholar] [CrossRef]
- Zhang, Q.; Li, J.; Shizu, K.; Huang, S.; Hirata, S.; Miyazaki, H.; Adachi, C. Design of Efficient Thermally Activated Delayed Fluorescence Materials for Pure Blue Organic Light Emitting Diodes. J. Am. Chem. Soc. 2012, 134, 14706–14709. [Google Scholar] [CrossRef]
- Romain, M.; Tondelier, D.; Geffroy, B.; Shirinskaya, A.; Jeannin, O.; Rault-Berthelot, J.; Poriel, C. Spiro-Configured Phenyl Acridine Thioxanthene Dioxide as a Host for Efficient PhOLEDs. Chem. Commun. 2014, 51, 1313–1315. [Google Scholar] [CrossRef]
- Lee, C.W.; Lee, J.Y. A Hole Transport Material with Ortho-Linked Terphenyl Core Structure for High Power Efficiency in Blue Phosphorescent Organic Light-Emitting Diodes. Org. Electron. 2014, 15, 399–404. [Google Scholar] [CrossRef]
- Seo, J.A.; Gong, M.S.; Lee, J.Y. Thermally Stable Indoloacridine Type Host Material for High Efficiency Blue Phosphorescent Organic Light-Emitting Diodes. Org. Electron. 2014, 15, 3773–3779. [Google Scholar] [CrossRef]
- Park, M.S.; Lee, J.Y. High Efficiency Green and Blue Phosphorescent Organic Light-Emitting Diodes Using Pyrroloacridine Type Hole Transport Material. Mol. Cryst. Liq. Cryst. 2013, 584, 145–152. [Google Scholar] [CrossRef]
- Kim, M.; Lee, J.Y. Improved Power Efficiency in Deep Blue Phosphorescent Organic Light-Emitting Diodes Using an Acridine Core Based Hole Transport Material. Org. Electron. 2012, 13, 1245–1249. [Google Scholar] [CrossRef]
- Kim, M.; Lee, J.Y. Pyridine-Modified Acridine-Based Bipolar Host Material for Green Phosphorescent Organic Light-Emitting Diodes. Chem. Asian J. 2012, 7, 899–902. [Google Scholar] [CrossRef] [PubMed]
- Park, M.S.; Lee, J.Y. Indolo Acridine-Based Hole-Transport Materials for Phosphorescent OLEDs with over 20% External Quantum Efficiency in Deep Blue and Green. Chem. Mater. 2011, 23, 4338–4343. [Google Scholar] [CrossRef]
- Seo, J.A.; Jeon, S.K.; Gong, M.S.; Lee, J.Y.; Noh, C.H.; Kim, S.H. Long Lifetime Blue Phosphorescent Organic Light-Emitting Diodes with an Exciton Blocking Layer. J. Mater. Chem. C Mater. 2015, 3, 4640–4645. [Google Scholar] [CrossRef]
- Nakanotani, H.; Higuchi, T.; Furukawa, T.; Masui, K.; Morimoto, K.; Numata, M.; Tanaka, H.; Sagara, Y.; Yasuda, T.; Adachi, C. High-Efficiency Organic Light-Emitting Diodes with Fluorescent Emitters. Nat. Commun. 2014, 5, 4016. [Google Scholar] [CrossRef]
- Nakao, K.; Sasabe, H.; Komatsu, R.; Hayasaka, Y.; Ohsawa, T.; Kido, J.; Nakao, K.; Sasabe, H.; Komatsu, R.; Hayasaka, Y.; et al. Significant Enhancement of Blue OLED Performances through Molecular Engineering of Pyrimidine-Based Emitter. Adv. Opt. Mater. 2017, 5, 1600843. [Google Scholar] [CrossRef]
- Grimsdale, A.C.; Jacob, J. Polymer-Based LEDs and Solar Cells. Polym. Sci. A Compr. Ref. 2012, 8, 261–282. [Google Scholar] [CrossRef]
- Liou, G.S.; Yen, H.J. Polyimides. Polym. Sci. A Compr. Ref. 2012, 5, 497–535. [Google Scholar] [CrossRef]
- Wu, S.; Aonuma, M.; Zhang, Q.; Huang, S.; Nakagawa, T.; Kuwabara, K.; Adachi, C. High-Efficiency Deep-Blue Organic Light-Emitting Diodes Based on a Thermally Activated Delayed Fluorescence Emitter. J. Mater. Chem. C Mater. 2013, 2, 421–424. [Google Scholar] [CrossRef]
- High-Efficiency Diphenylsulfon Derivative-Based Organic Light-Emitting Diode Exhibiting Thermally-Activated Delayed Fluorescence|Request PDF. Available online: https://www.researchgate.net/publication/303448146_High-efficiency_diphenylsulfon_derivative-based_organic_light-emitting_diode_exhibiting_thermally-activated_delayed_fluorescence (accessed on 15 May 2022).
- Serevičius, T.; Nakagawa, T.; Kuo, M.C.; Cheng, S.H.; Wong, K.T.; Chang, C.H.; Kwong, R.C.; Xia, S.; Adachi, C. Enhanced Electroluminescence Based on Thermally Activated Delayed Fluorescence from a Carbazole–Triazine Derivative. Phys. Chem. Chem. Phys. 2013, 15, 15850–15855. [Google Scholar] [CrossRef] [PubMed]
- Kim, M.; Kyu Jeon, S.; Hwang, S.-H.; Yeob Lee, J.; Kim, M.; Hwang, S.; Jeon, S.K.; Lee, J.Y. Stable Blue Thermally Activated Delayed Fluorescent Organic Light-Emitting Diodes with Three Times Longer Lifetime than Phosphorescent Organic Light-Emitting Diodes. Adv. Mater. 2015, 27, 2515–2520. [Google Scholar] [CrossRef]
- Uoyama, H.; Goushi, K.; Shizu, K.; Nomura, H.; Adachi, C. Highly Efficient Organic Light-Emitting Diodes from Delayed Fluorescence. Nature 2012, 492, 234–238. [Google Scholar] [CrossRef] [PubMed]
- Cho, Y.J.; Yook, K.S.; Lee, J.Y. A Universal Host Material for High External Quantum Efficiency Close to 25% and Long Lifetime in Green Fluorescent and Phosphorescent OLEDs. Adv. Mater. 2014, 26, 4050–4055. [Google Scholar] [CrossRef]
- Cho, Y.J.; Yook, K.S.; Lee, J.Y. Cool and Warm Hybrid White Organic Light-Emitting Diode with Blue Delayed Fluorescent Emitter Both as Blue Emitter and Triplet Host. Sci. Rep. 2015, 5, 7859. [Google Scholar] [CrossRef]
- Lee, D.R.; Hwang, S.H.; Jeon, S.K.; Lee, C.W.; Lee, J.Y. Benzofurocarbazole and Benzothienocarbazole as Donors for Improved Quantum Efficiency in Blue Thermally Activated Delayed Fluorescent Devices. Chem. Commun. 2015, 51, 8105–8107. [Google Scholar] [CrossRef]
- Yi, C.L.; Ko, C.L.; Yeh, T.C.; Chen, C.Y.; Chen, Y.S.; Chen, D.G.; Chou, P.T.; Hung, W.Y.; Wong, K.T. Harnessing a New Co-Host System and Low Concentration of New TADF Emitters Equipped with Trifluoromethyl- and Cyano-Substituted Benzene as Core for High-Efficiency Blue OLEDs. ACS Appl. Mater. Interfaces 2020, 12, 2724–2732. [Google Scholar] [CrossRef]
- Numata, M.; Yasuda, T.; Adachi, C. High Efficiency Pure Blue Thermally Activated Delayed Fluorescence Molecules Having 10 H -Phenoxaborin and Acridan Units. Chem. Commun. 2015, 51, 9443–9446. [Google Scholar] [CrossRef]
- Tsai, W.L.; Huang, M.H.; Lee, W.K.; Hsu, Y.J.; Pan, K.C.; Huang, Y.H.; Ting, H.C.; Sarma, M.; Ho, Y.Y.; Hu, H.C.; et al. A Versatile Thermally Activated Delayed Fluorescence Emitter for Both Highly Efficient Doped and Non-Doped Organic Light Emitting Devices. Chem. Commun. 2015, 51, 13662–13665. [Google Scholar] [CrossRef]
- Li, W.; Li, W.; Gan, L.; Li, M.; Zheng, N.; Ning, C.; Chen, D.; Wu, Y.C.; Su, S.J. J-Aggregation Enhances the Electroluminescence Performance of a Sky-Blue Thermally Activated Delayed-Fluorescence Emitter in Nondoped Organic Light-Emitting Diodes. ACS Appl. Mater. Interfaces 2020, 12, 2717–2723. [Google Scholar] [CrossRef] [PubMed]
- Yu, Y.J.; Wang, X.Q.; Liu, J.F.; Jiang, Z.Q.; Liao, L.S. Harvesting Triplet Excitons for Near-Infrared Electroluminescence via Thermally Activated Delayed Fluorescence Channel. iScience 2021, 24, 102123. [Google Scholar] [CrossRef] [PubMed]
- Evaristo De Sousa, L.; Dos, L.; Born, S.; Henrique De Oliveira Neto, P.; De Silva, P. Triplet-to-Singlet Exciton Transfer in Hyperfluorescent OLED Materials. J. Mater. Chem. C Mater. 2022, 10, 4914–4922. [Google Scholar] [CrossRef]
- Dias, F.B.; Bourdakos, K.N.; Jankus, V.; Moss, K.C.; Kamtekar, K.T.; Bhalla, V.; Santos, J.; Bryce, M.R.; Monkman, A.P. Triplet Harvesting with 100% Efficiency by Way of Thermally Activated Delayed Fluorescence in Charge Transfer OLED Emitters. Adv. Mater. 2013, 25, 3707–3714. [Google Scholar] [CrossRef]
- Li, Z.W.; Peng, L.Y.; Song, X.F.; Chen, W.K.; Gao, Y.J.; Fang, W.H.; Cui, G. Room-Temperature Phosphorescence and Thermally Activated Delayed Fluorescence in the Pd Complex: Mechanism and Dual Upconversion Channels. J. Phys. Chem. Lett. 2021, 12, 5944–5950. [Google Scholar] [CrossRef] [PubMed]
- Mamada, M.; Inada, K.; Komino, T.; Potscavage, W.J.; Nakanotani, H.; Adachi, C. Highly Efficient Thermally Activated Delayed Fluorescence from an Excited-State Intramolecular Proton Transfer System. ACS Cent. Sci. 2017, 3, 769–777. [Google Scholar] [CrossRef]
- Madayanad Suresh, S.; Hall, D.; Beljonne, D.; Olivier, Y.; Zysman-Colman, E.; Madayanad Suresh, S.; Hall, D.; Zysman-Colman, E.; Beljonne, D.; Olivier, Y. Multiresonant Thermally Activated Delayed Fluorescence Emitters Based on Heteroatom-Doped Nanographenes: Recent Advances and Prospects for Organic Light-Emitting Diodes. Adv. Funct. Mater. 2020, 30, 1908677. [Google Scholar] [CrossRef]
- Weissenseel, S.; Gottscholl, A.; Bönnighausen, R.; Dyakonov, V.; Sperlich, A.; Maximilian, J. Long-Lived Spin-Polarized Intermolecular Exciplex States in Thermally Activated Delayed Fluorescence-Based Organic Light-Emitting Diodes. Sci. Adv. 2021, 7, eabj9961. [Google Scholar] [CrossRef]
- Sakai, Y.; Sagara, Y.; Nomura, H.; Nakamura, N.; Suzuki, Y.; Miyazaki, H.; Adachi, C. Zinc Complexes Exhibiting Highly Efficient Thermally Activated Delayed Fluorescence and Their Application to Organic Light-Emitting Diodes. Chem. Commun. 2015, 51, 3181–3184. [Google Scholar] [CrossRef]
- Kanno, H.; Ishikawa, K.; Nishio, Y.; Endo, A.; Adachi, C.; Shibata, K. Highly Efficient and Stable Red Phosphorescent Organic Light-Emitting Device Using Bis[2-(2-Benzothiazoyl)Phenolato]Zinc(II) as Host Material. Appl. Phys. Lett. 2007, 90, 123509. [Google Scholar] [CrossRef]
- Hamada, Y.; Sano, T.; Fujii, H.; Nishio, Y.; Takahashi, H.; Shibata, K. White-Light-Emitting Material for Organic Electroluminescent Devices. Jpn. J. Appl. Phys. 1996, 35, L1339. [Google Scholar] [CrossRef]
- Norikazu, N.; Shinichi, W.; Keiichi, M.; Tsuneo, F. A Novel Blue Light Emitting Material Prepared from 2-(o-Hydroxyphenyl)Benzoxazole. Chem. Lett. 2006, 23, 1741–1742. [Google Scholar] [CrossRef]
- Osawa, M. Highly Efficient Blue-Green Delayed Fluorescence from Copper(i) Thiolate Complexes: Luminescence Color Alteration by Orientation Change of the Aryl Ring. Chem. Commun. 2014, 50, 1801–1803. [Google Scholar] [CrossRef]
- Kang, L.; Chen, J.; Teng, T.; Chen, X.L.; Yu, R.; Lu, C.Z. Experimental and Theoretical Studies of Highly Emissive Dinuclear Cu(i) Halide Complexes with Delayed Fluorescence. Dalton Trans. 2015, 44, 11649–11659. [Google Scholar] [CrossRef]
- Zhang, Q.; Chen, J.; Wu, X.Y.; Chen, X.L.; Yu, R.; Lu, C.Z. Outstanding Blue Delayed Fluorescence and Significant Processing Stability of Cuprous Complexes with Functional Pyridine–Pyrazolate Diimine Ligands. Dalton Trans. 2015, 44, 6706–6710. [Google Scholar] [CrossRef]
- Zink, D.M.; Bächle, M.; Baumann, T.; Nieger, M.; Kühn, M.; Wang, C.; Klopper, W.; Monkowius, U.; Hofbeck, T.; Yersin, H.; et al. Synthesis, Structure, and Characterization of Dinuclear Copper(I) Halide Complexes with P^N Ligands Featuring Exciting Photoluminescence Properties. Inorg. Chem. 2013, 52, 2292–2305. [Google Scholar] [CrossRef] [PubMed]
- Deaton, J.C.; Switalski, S.C.; Kondakov, D.Y.; Young, R.H.; Pawlik, T.D.; Giesen, D.J.; Harkins, S.B.; Miller, A.J.M.; Mickenberg, S.F.; Peters, J.C. E-Type Delayed Fluorescence of a Phosphine-Supported Cu 2(μ-Nar 2) 2 Diamond Core: Harvesting Singlet and Triplet Excitons in OLEDs. J. Am. Chem. Soc. 2010, 132, 9499–9508. [Google Scholar] [CrossRef] [PubMed]
- Igawa, S.; Hashimoto, M.; Kawata, I.; Yashima, M.; Hoshino, M.; Osawa, M. Highly Efficient Green Organic Light-Emitting Diodes Containing Luminescent Tetrahedral Copper(i) Complexes. J. Mater. Chem. C Mater. 2012, 1, 542–551. [Google Scholar] [CrossRef]
- Osawa, M.; Kawata, I.; Ishii, R.; Igawa, S.; Hashimoto, M.; Hoshino, M. Application of Neutral d 10 Coinage Metal Complexes with an Anionic Bidentate Ligand in Delayed Fluorescence-Type Organic Light-Emitting Diodes. J. Mater. Chem. C Mater. 2013, 1, 4375–4383. [Google Scholar] [CrossRef]
- Volz, D.; Zink, D.M.; Bocksrocker, T.; Friedrichs, J.; Nieger, M.; Baumann, T.; Lemmer, U.; Bräse, S. Molecular Construction Kit for Tuning Solubility, Stability and Luminescence Properties: Heteroleptic MePyrPHOS-Copper Iodide-Complexes and Their Application in Organic Light-Emitting Diodes. Chem. Mater. 2013, 25, 3414–3426. [Google Scholar] [CrossRef]
- Ma, Y.; Che, C.M.; Chao, H.Y.; Zhou, X.; Chan, W.H.; Shen, J. High Luminescence Gold(I) and Copper(I) Complexes with a Triplet Excited State for Use in Light-Emitting Diodes. Adv. Mater. 1999, 11, 852–857. [Google Scholar] [CrossRef]
- Ma, Y.G.; Chan, W.H.; Zhou, X.M.; Che, C.M. Light-Emitting Diode Device from a Luminescent Organocopper(I) Compound. New J. Chem. 1999, 23, 263–265. [Google Scholar] [CrossRef]
- Cu(I) Complexes–Thermally Activated Delayed Fluorescence. Photophysical Approach and Material Design|Request PDF. Available online: https://www.researchgate.net/publication/304779001_CuI_complexes_-_Thermally_activated_delayed_fluorescence_Photophysical_approach_and_material_design (accessed on 17 May 2022).
- Tomé, L.I.N.; Domínguez-Pérez, M.; Cláudio, A.F.M.; Freire, M.G.; Marrucho, I.M.; Oscar Cabeza, O.C.; Coutinho, J.A.P. On the Interactions between Amino Acids and Ionic Liquids in Aqueous Media. J. Phys. Chem. B 2009, 113, 13971–13979. [Google Scholar] [CrossRef] [PubMed]
- Housecroft, C.E.; Constable, E.C. TADF: Enabling Luminescent Copper(I) Coordination Compounds for Light-Emitting Electrochemical Cells. J. Mater. Chem. C Mater. 2022, 10, 4456–4482. [Google Scholar] [CrossRef] [PubMed]
- Teng, T.; Xiong, J.; Cheng, G.; Zhou, C.; Lv, X.; Li, K. Solution-Processed Oleds Based on Thermally Activated Delayed Fluorescence Copper(I) Complexes with Intraligand Charge-Transfer Excited State. Molecules 2021, 26, 1125. [Google Scholar] [CrossRef]
- Lv, L.L.; Yuan, K.; Wang, Y.C. Theoretical Studying of Basic Photophysical Processes in a Thermally Activated Delayed Fluorescence Copper(I) Complex: Determination of Reverse Intersystem Crossing and Radiative Rate Constants. Org. Electron. 2017, 51, 207–219. [Google Scholar] [CrossRef]
- Czerwieniec, R.; Leitl, M.J.; Homeier, H.H.H.; Yersin, H. Cu(I) Complexes–Thermally Activated Delayed Fluorescence. Photophysical Approach and Material Design. Coord. Chem. Rev. 2016, 325, 2–28. [Google Scholar] [CrossRef]
- Czerwieniec, R.; Yersin, H. Diversity of Copper(I) Complexes Showing Thermally Activated Delayed Fluorescence: Basic Photophysical Analysis. Inorg. Chem. 2015, 54, 4322–4327. [Google Scholar] [CrossRef]
- Linfoot, C.L.; Leitl, M.J.; Richardson, P.; Rausch, A.F.; Chepelin, O.; White, F.J.; Yersin, H.; Robertson, N. Thermally Activated Delayed Fluorescence (TADF) and Enhancing Photoluminescence Quantum Yields of [CuI(Diimine)(Diphosphine)]+ Complexes-Photophysical, Structural, and Computational Studies. Inorg. Chem. 2014, 53, 10854–10861. [Google Scholar] [CrossRef]
- Xu, H.; Yang, T.; Wang, F.; Zhang, J.; Zhang, X.; Wang, H.; Xu, B. Thermally Activated Delayed Fluorescence of Copper(I) Complexes Using N, N′-Heteroaromatic of 2-(5-Phenyl-1,2,3-Triazole)Pyridine as Ligand. J. Lumin. 2019, 205, 82–86. [Google Scholar] [CrossRef]
- Stoïanov, A.; Gourlaouen, C.; Vela, S.; Daniel, C. Luminescent Dinuclear Copper(I) Complexes as Potential Thermally Activated Delayed Fluorescence (TADF) Emitters: A Theoretical Study. J. Phys. Chem. A 2018, 122, 1413–1421. [Google Scholar] [CrossRef] [PubMed]
- Leitl, M.J.; Zink, D.M.; Schinabeck, A.; Baumann, T.; Volz, D.; Yersin, H. Copper(I) Complexes for Thermally Activated Delayed Fluorescence: From Photophysical to Device Properties. Top. Curr. Chem. 2016, 374, 25. [Google Scholar] [CrossRef]
- Leitl, M.J.; Krylova, V.A.; Djurovich, P.I.; Thompson, M.E.; Yersin, H. Phosphorescence versus Thermally Activated Delayed Fluorescence. Controlling Singlet-Triplet Splitting in Brightly Emitting and Sublimable Cu(I) Compounds. J. Am. Chem. Soc. 2014, 136, 16032–16038. [Google Scholar] [CrossRef] [PubMed]
- Chen, X.L.; Yu, R.; Zhang, Q.K.; Zhou, L.J.; Wu, X.Y.; Zhang, Q.; Lu, C.Z. Rational Design of Strongly Blue-Emitting Cuprous Complexes with Thermally Activated Delayed Fluorescence and Application in Solution-Processed OLEDS. Chem. Mater. 2013, 25, 3910–3920. [Google Scholar] [CrossRef]
- Czerwieniec, R.; Yu, J.; Yersin, H. Blue-Light Emission of Cu(I) Complexes and Singlet Harvesting. Inorg. Chem. 2011, 50, 8293–8301. [Google Scholar] [CrossRef] [PubMed]
- Lee, C.F.; Chin, K.F.; Peng, S.M.; Che, C.M. A Luminescent Tetrameric Zinc(II) Complex Containing the 7-Azaindolate Ligand. Photophysical Properties and Crystal Structure. J. Chem. Soc. Dalton Trans. 1993, 3, 467–470. [Google Scholar] [CrossRef]
- Yu, G.; Yin, S.; Liu, Y.; Shuai, Z.; Zhu, D. Structures, Electronic States, and Electroluminescent Properties of a Zinc(II) 2-(2-Hydroxyphenyl)Benzothiazolate Complex. J. Am. Chem. Soc. 2003, 125, 14816–14824. [Google Scholar] [CrossRef]
- Xu, X.; Liao, Y.; Yu, G.; You, H.; Di, C.; Su, Z.; Ma, D.; Wang, Q.; Li, S.; Wang, S.; et al. Charge Carrier Transporting, Photoluminescent, and Electroluminescent Properties of Zinc(II)-2-(2-Hydroxyphenyl)Benzothiazolate Complex. Chem. Mater. 2007, 19, 1740–1748. [Google Scholar] [CrossRef]
- Singh, S.P.; Mohapatra, Y.N.; Qureshi, M.; Manoharan, S.S. White Organic Light-Emitting Diodes Based on Spectral Broadening in Electroluminescence Due to Formation of Interfacial Exciplexes. Appl. Phys. Lett. 2005, 86, 113505. [Google Scholar] [CrossRef]
- Hao, Y.; Meng, W.; Xu, H.; Wang, H.; Liu, X.; Xu, B. White Organic Light-Emitting Diodes Based on a Novel Zn Complex with High CRI Combining Emission from Excitons and Interface-Formed Electroplex. Org. Electron. 2011, 12, 136–142. [Google Scholar] [CrossRef]
- Roh, S.G.; Kim, Y.H.; Seo, K.D.; Lee, D.H.; Kim, H.K.; Park, Y.I.; Park, J.W.; Lee, J.H. Synthesis, Photophysical, and Electroluminescent Device Properties of Zn(II)-Chelated Complexes Based on Functionalized Benzothiazole Derivatives. Adv. Funct. Mater. 2009, 19, 1663–1671. [Google Scholar] [CrossRef]
- Li, Z.; Dellali, A.; Malik, J.; Motevalli, M.; Nix, R.M.; Olukoya, T.; Peng, Y.; Ye, H.; Gillin, W.P.; Hernández, I.; et al. Luminescent Zinc(II) Complexes of Fluorinated Benzothiazol-2-Yl Substituted Phenoxide and Enolate Ligands. Inorg. Chem. 2013, 52, 1379–1387. [Google Scholar] [CrossRef] [PubMed]
- Wang, R.; Deng, L.; Fu, M.; Cheng, J.; Li, J. Novel Zn II Complexes of 2-(2-Hydroxyphenyl)Benzothiazoles Ligands: Electroluminescence and Application as Host Materials for Phosphorescent Organic Light-Emitting Diodes. J. Mater. Chem. 2012, 22, 23454–23460. [Google Scholar] [CrossRef]
- Son, H.J.; Han, W.S.; Chun, J.Y.; Kang, B.K.; Kwon, S.N.; Ko, J.; Su, J.H.; Lee, C.; Sung, J.K.; Sang, O.K. Generation of Blue Light-Emitting Zinc Complexes by Band-Gap Control of the Oxazolylphenolate Ligand System: Syntheses, Characterizations, and Organic Light Emitting Device Applications of 4-Coordinated Bis(2-Oxazolylphenolate) Zinc(II) Complexes. Inorg. Chem. 2008, 47, 5666–5676. [Google Scholar] [CrossRef]
- Zhang, Q.; Komino, T.; Huang, S.; Matsunami, S.; Goushi, K.; Adachi, C. Triplet Exciton Confinement in Green Organic Light-Emitting Diodes Containing Luminescent Charge-Transfer Cu(I) Complexes. Adv. Funct. Mater. 2012, 22, 2327–2336. [Google Scholar] [CrossRef]
- Hashimoto, M.; Igawa, S.; Yashima, M.; Kawata, I.; Hoshino, M.; Osawa, M. Highly Efficient Green Organic Light-Emitting Diodes Containing Luminescent Three-Coordinate Copper(I) Complexes. J. Am. Chem. Soc. 2011, 133, 10348–10351. [Google Scholar] [CrossRef]
- Cheng, G.; So, G.K.M.; To, W.P.; Chen, Y.; Kwok, C.C.; Ma, C.; Guan, X.; Chang, X.; Kwok, W.M.; Che, C.M. Luminescent Zinc(II) and Copper(I) Complexes for High-Performance Solution-Processed Monochromic and White Organic Light-Emitting Devices. Chem. Sci. 2015, 6, 4623–4635. [Google Scholar] [CrossRef]
- Nam, S.; Kim, J.W.; Bae, H.J.; Maruyama, Y.M.; Jeong, D.; Kim, J.; Kim, J.S.; Son, W.J.; Jeong, H.; Lee, J.; et al. Improved Efficiency and Lifetime of Deep-Blue Hyperfluorescent Organic Light-Emitting Diode Using Pt(II) Complex as Phosphorescent Sensitizer. Adv. Sci. 2021, 8, 2100586. [Google Scholar] [CrossRef]
- Jeon, S.O.; Lee, K.H.; Kim, J.S.; Ihn, S.G.; Chung, Y.S.; Kim, J.W.; Lee, H.; Kim, S.; Choi, H.; Lee, J.Y. High-Efficiency, Long-Lifetime Deep-Blue Organic Light-Emitting Diodes. Nat. Photonics 2021, 15, 208–215. [Google Scholar] [CrossRef]
- Bulović, V.; Deshpande, R.; Thompson, M.E.; Forrest, S.R. Tuning the Color Emission of Thin Film Molecular Organic Light Emitting Devices by the Solid State Solvation Effect. Chem. Phys. Lett. 1999, 308, 317–322. [Google Scholar] [CrossRef]
- Chen, W.C.; Yuan, Y.; Ni, S.F.; Tong, Q.X.; Wong, F.L.; Lee, C.S. Achieving Efficient Violet-Blue Electroluminescence with CIEy <0.06 and EQE >6% from Naphthyl-Linked Phenanthroimidazole–Carbazole Hybrid Fluorophores. Chem. Sci. 2017, 8, 3599–3608. [Google Scholar] [CrossRef]
- Lin, S.L.; Chan, L.H.; Lee, R.H.; Yen, M.Y.; Kuo, W.J.; Chen, C.T.; Jeng, R.J. Highly Efficient Carbazole-π-Dimesitylborane Bipolar Fluorophores for Nondoped Blue Organic Light-Emitting Diodes. Adv. Mater. 2008, 20, 3947–3952. [Google Scholar] [CrossRef]
- Reig, M.; Puigdollers, J.; Velasco, D. Molecular Order of Air-Stable p-Type Organic Thin-Film Transistors by Tuning the Extension of the π-Conjugated Core: The Cases of Indolo[3,2-b]Carbazole and Triindole Semiconductors. J. Mater. Chem. C Mater. 2014, 3, 506–513. [Google Scholar] [CrossRef]
- Chen, S.; Sun, B.; Hong, W.; Yan, Z.; Aziz, H.; Meng, Y.; Hollinger, J.; Seferos, D.S.; Li, Y. Impact of N-Substitution of a Carbazole Unit on Molecular Packing and Charge Transport of DPP–Carbazole Copolymers. J. Mater. Chem. C Mater. 2014, 2, 1683–1690. [Google Scholar] [CrossRef]
- Yu, M.; Wang, S.; Shao, S.; Ding, J.; Wang, L.; Jing, X.; Wang, F. Starburst 4,4′,4″-Tris(Carbazol-9-Yl)-Triphenylamine-Based Deep-Blue Fluorescent Emitters with Tunable Oligophenyl Length for Solution-Processed Undoped Organic Light-Emitting Diodes. J. Mater. Chem. C Mater. 2015, 3, 861–869. [Google Scholar] [CrossRef]
- Xiao, J.; Yang, S. Sequential Crystallization of Sea Urchin-like Bimetallic (Ni, Co) Carbonate Hydroxide and Its Morphology Conserved Conversion to Porous NiCo2O4 Spinel for Pseudocapacitors. RSC Adv. 2011, 1, 588–595. [Google Scholar] [CrossRef]
- Sahoo, S.; Dubey, D.K.; Singh, M.; Joseph, V.; Thomas, K.R.J.; Jou, J.H. Highly Efficient Deep-Blue Organic Light Emitting Diode with a Carbazole Based Fluorescent Emitter. Jpn. J. Appl. Phys. 2018, 57, 04FL08. [Google Scholar] [CrossRef]
- Huang, C.C.; Xue, M.M.; Wu, F.P.; Yuan, Y.; Liao, L.S.; Fung, M.K. Deep-Blue and Hybrid-White Organic Light Emitting Diodes Based on a Twisting Carbazole-Benzofuro[2,3-b]Pyrazine Fluorescent Emitter. Molecules 2019, 24, 353. [Google Scholar] [CrossRef] [PubMed]
- Pal, A.K.; Krotkus, S.; Fontani, M.; Mackenzie, C.F.R.; Cordes, D.B.; Slawin, A.M.Z.; Samuel, I.D.W.; Zysman-Colman, E.; Pal, A.K.; Fontani, M.; et al. High-Efficiency Deep-Blue-Emitting Organic Light-Emitting Diodes Based on Iridium(III) Carbene Complexes. Adv. Mater. 2018, 30, 1804231. [Google Scholar] [CrossRef]
- Wang, R.; Liu, Y.; Hu, T.; Wei, X.; Liu, J.; Li, Z.; Hu, X.; Yi, Y.; Wang, P.; Wang, Y. Solution-Processed White Organic Light-Emitting Diodes with Bi-Component Emitting Layer Based on Symmetry Blue Spiro-Sulfone Derivative. Org. Electron. 2019, 71, 24–30. [Google Scholar] [CrossRef]
- Weissenseel, S.; Drigo, N.A.; Kudriashova, L.G.; Schmid, M.; Morgenstern, T.; Lin, K.H.; Prlj, A.; Corminboeuf, C.; Sperlich, A.; Brütting, W.; et al. Getting the Right Twist: Influence of Donor-Acceptor Dihedral Angle on Exciton Kinetics and Singlet-Triplet Gap in Deep Blue Thermally Activated Delayed Fluorescence Emitter. J. Phys. Chem. C 2019, 123, 27778–27784. [Google Scholar] [CrossRef]
- Chan, C.-Y.; Cui, L.-S.; Uk Kim, J.; Nakanotani, H.; Adachi, C.; Chan, C.; Cui, L.; Kim, J.U.; Nakanotani, H.; Adachi, C. Rational Molecular Design for Deep-Blue Thermally Activated Delayed Fluorescence Emitters. Adv. Funct. Mater. 2018, 28, 1706023. [Google Scholar] [CrossRef]
- Luo, Y.; Li, S.; Zhao, Y.; Li, C.; Pang, Z.; Huang, Y.; Yang, M.; Zhou, L.; Zheng, X.; Pu, X.; et al. An Ultraviolet Thermally Activated Delayed Fluorescence OLED with Total External Quantum Efficiency over 9%. Adv. Mater. 2020, 32, 2001248. [Google Scholar] [CrossRef] [PubMed]
- Gudeika, D.; Bezvikonnyi, O.; Volyniuk, D.; Skuodis, E.; Lee, P.H.; Chen, C.H.; Ding, W.C.; Lee, J.H.; Chiu, T.L.; Grazulevicius, J.V. Oxygen Sensing and OLED Applications of Di-Tert-Butyl-Dimethylacridinyl Disubstituted Oxygafluorene Exhibiting Long-Lived Deep-Blue Delayed Fluorescence. J. Mater. Chem. C Mater. 2020, 8, 9632–9638. [Google Scholar] [CrossRef]
- Yang, J.; Guo, Q.; Wang, J.; Ren, Z.; Chen, J.; Peng, Q.; Ma, D.; Li, Z.; Yang, J.; Wang, J.; et al. Rational Molecular Design for Efficient Exciton Harvesting, and Deep-Blue OLED Application. Adv. Opt. Mater. 2018, 6, 1800342. [Google Scholar] [CrossRef]
- Fu, C.; Luo, S.; Li, Z.; Ai, X.; Pang, Z.; Li, C.; Chen, K.; Zhou, L.; Li, F.; Huang, Y.; et al. Highly Efficient Deep-Blue OLEDs Based on Hybridized Local and Charge-Transfer Emitters Bearing Pyrene as the Structural Unit. Chem. Commun. 2019, 55, 6317–6320. [Google Scholar] [CrossRef]
- Yu, Y.; Zhao, R.; Liu, H.; Zhang, S.; Zhou, C.; Gao, Y.; Li, W.; Yang, B. Highly Efficient Deep-Blue Light-Emitting Material Based on V-Shaped Donor-Acceptor Triphenylamine-Phenanthro[9,10-d]Imidazole Molecule. Dye. Pigment. 2020, 180, 108511. [Google Scholar] [CrossRef]
- Usta, H.; Alimli, D.; Ozdemir, R.; Dabak, S.; Zorlu, Y.; Alkan, F.; Tekin, E.; Can, A. Highly Efficient Deep-Blue Electroluminescence Based on a Solution-Processable A-π-D-π-A Oligo(p-Phenyleneethynylene) Small Molecule. ACS Appl. Mater. Interfaces 2019, 11, 44474–44486. [Google Scholar] [CrossRef]
- Zhang, H.; Xue, J.; Li, C.; Zhang, S.; Yang, B.; Liu, Y.; Wang, Y.; Zhang, H.; Xue, J.; Li, C.; et al. Novel Deep-Blue Hybridized Local and Charge-Transfer Host Emitter for High-Quality Fluorescence/Phosphor Hybrid Quasi-White Organic Light-Emitting Diode. Adv. Funct. Mater. 2021, 31, 2100704. [Google Scholar] [CrossRef]
- Kondakov, D.Y.; Pawlik, T.D.; Hatwar, T.K.; Spindler, J.P. Triplet Annihilation Exceeding Spin Statistical Limit in Highly Efficient Fluorescent Organic Light-Emitting Diodes. J. Appl. Phys. 2009, 106, 124510. [Google Scholar] [CrossRef]
- Turshatov, A.A.; Baluschev, S.B. Triplet-Triplet Annihilation Assisted Upconversion: All-Optical Tools for Probing Physical Parameter of Soft Matter. In Handbook of Coherent-Domain Optical Methods; Springer: New York, NY, USA, 2012. [Google Scholar] [CrossRef]
- Hu, J.Y.; Pu, Y.J.; Satoh, F.; Kawata, S.; Katagiri, H.; Sasabe, H.; Kido, J. Bisanthracene-Based Donor–Acceptor-Type Light-Emitting Dopants: Highly Efficient Deep-Blue Emission in Organic Light-Emitting Devices. Adv. Funct. Mater. 2014, 24, 2064–2071. [Google Scholar] [CrossRef]
- Chen, Y.H.; Lin, C.C.; Huang, M.J.; Hung, K.; Wu, Y.C.; Lin, W.C.; Chen-Cheng, R.W.; Lin, H.W.; Cheng, C.H. Superior Upconversion Fluorescence Dopants for Highly Efficient Deep-Blue Electroluminescent Devices. Chem. Sci. 2016, 7, 4044–4051. [Google Scholar] [CrossRef]
- Zeng, W.; Zhao, Y.; Ning, W.; Gong, S.; Zhu, Z.; Zou, Y.; Lu, Z.H.; Yang, C. Efficient Non-Doped Fluorescent OLEDs with Nearly 6% External Quantum Efficiency and Deep-Blue Emission Approaching the Blue Standard Enabled by Quaterphenyl-Based Emitters. J. Mater. Chem. C Mater. 2018, 6, 4479–4484. [Google Scholar] [CrossRef]
- Peng, L.; Yao, J.W.; Wang, M.; Wang, L.Y.; Huang, X.L.; Wei, X.F.; Ma, D.G.; Cao, Y.; Zhu, X.H. Efficient Soluble Deep Blue Electroluminescent Dianthracenylphenylene Emitters with CIE y (Y ≤ 0.08) Based on Triplet-Triplet Annihilation. Sci. Bull. 2019, 64, 774–781. [Google Scholar] [CrossRef] [PubMed]
- Wu, Z.; Song, S.; Zhu, X.; Chen, H.; Chi, J.; Ma, D.; Zhao, Z.; Tang, B.Z. Highly Efficient Deep-Blue Fluorescent OLEDs Based on Anthracene Derivatives with a Triplet–Triplet Annihilation Mechanism. Mater. Chem. Front. 2021, 5, 6978–6986. [Google Scholar] [CrossRef]
- 《擁抱暗黑》新書講座(憑書報名入場)|ACCUPASS. Available online: https://www.accupass.com/event/2011030819584976501710 (accessed on 15 May 2022).

















































| Company | Dimensions (mm) | ηp (lm/W) | Luminance (cd/m2) | Lifetime (h) | Reference |
|---|---|---|---|---|---|
| Philips | 124 × 124.5 × 3.3 | 16.7 | 4000 | 10,000 @ L50 | [32] |
| Osram | Φ75 mm | 35.0 | 2000 | 10,000 @ L50 | [33] |
| Lumiotech | 145 × 145 | 45.0 | 3000 | 40,000 @ L70 | [36] |
| Konica Minolta | 21.4 × 25.9 | - | 500 | - | [38] |
| Mitsubishi Chem. | 55 × 55 × 1.08 | - | 2000 | - | [39] |
| Kaneka | 80 × 80 × 1.05 | - | 3000 | 50,000 @ - | [40] |
| LG Chem. | 200 × 50 × 0.88 | 60.0 | 3000 | 40,000 @ L70 | [34] |
| CIEy | EQEmax (%) | L0 (cd/m2) | Lifetime (h) | Lifetime (h) @L0:1000 (cd/m2) | CEmax (cd/A) | Year | Reference |
|---|---|---|---|---|---|---|---|
| 0.09 | 11.8 | 1000 | 125 (LT90) | 125 (LT90) | 9.2 | 2018 | [72] |
| 0.11 | 8.6 | 1176 | 110 (LT50) | 121 (LT50) | 4.9 | 2010 | [83] |
| 0.15 | 8.2 | 5000 | 168 (LT50) | 458 (LT50) | 9.1 | 2010 | [82] |
| 0.17 | 3.0 | 100 | 5600 (LT50) | 1330 (LT50) | 4.0 | 2005 | [84] |
| 0.22 | 4.9 | 1000 | 78 (LT80) | 78 (LT80) | 7.1 | 2020 | [85] |
| 0.32 | 1.5 | 100 | 7000 (LT50) | 1662 (LT50) | 9.7 | 2005 | [84] |
| CIEy | EQEmax (%) | L0 (cd/m2) | Lifetime (h) | Lifetime (h) @L0:1000 (cd/m2) | CEmax (cd/A) | Year | Reference |
|---|---|---|---|---|---|---|---|
| 0.13 | 27.6 | 100 | 10,000 (LT50) | 2375 (LT50) | - | 2020 | [99] |
| 0.16 | 25 | 327 | 2203 (LT50) | 1095 (LT50) | 42.6 | 2017 | [87] |
| 0.23 | 5.5 | 200 | 2.9 (LT75) | 1 (LT75) | 6.3 | 2019 | [100] |
| 0.23 | 5.9 | 200 | 2.6 (LT75) | 0.9 (LT75) | 9.1 | 2019 | |
| 0.24 | 9.7 | 200 | 4 (LT75) | 1.4 (LT75) | - | 2019 | |
| 0.24 | 12.1 | - | 0.8 (LT95) | - | - | 2019 | [101] |
| 0.24 | 17.1 | - | 1.3 (LT95) | - | - | 2019 | |
| 0.24 | 16.1 | - | 13.8 (LT95) | - | - | 2019 | |
| 0.25 | 16.9 | 20 | 46 (LT70) | 4 (LT70) | 14.5 | 2019 | [102] |
| 0.25 | 16.9 | 1000 | 602 (LT70) | 602 (LT70) | - | 2019 | |
| 0.28 | 11.6 | 1000 | 553 (LT50) | 553 (LT50) | 20.7 | 2020 | [103] |
| 0.28 | 17.6 | 20 | 43 (LT70) | 3.7 (LT70) | - | 2019 | [102] |
| 0.28 | 17.6 | 1000 | 709 (LT70) | 709 (LT70) | - | 2019 | |
| 0.28 | 14.7 | - | 2.1 (LT95) | - | - | 2019 | [101] |
| 0.29 | 11 | 200 | 17,500 (LT50) | 6410 (LT50) | 21 | 2006 | [97] |
| 0.29 | 18 | 20 | 39.5 (LT70) | 3.4 (LT70) | - | 2019 | [102] |
| 0.29 | 18 | 1000 | 761 (LT70) | 761 (LT70) | - | 2019 | |
| 0.32 | 25.6 | 1000 | 20 (LT70) | 20 (LT70) | 52.1 | 2020 | [98] |
| 0.38 | 14 | 200 | 100,000 (LT50) | 36,630 (LT50) | 32 | 2006 | [97] |
| 0.38 | 12.6 | 20 | 37.8 (LT70) | 3.2 (LT70) | - | 2019 | [102] |
| 0.38 | 12.6 | 1000 | 466 (LT70) | 466 (LT70) | - | 2019 |
Disclaimer/Publisher’s Note: The statements, opinions and data contained in all publications are solely those of the individual author(s) and contributor(s) and not of MDPI and/or the editor(s). MDPI and/or the editor(s) disclaim responsibility for any injury to people or property resulting from any ideas, methods, instructions or products referred to in the content. |
© 2023 by the authors. Licensee MDPI, Basel, Switzerland. This article is an open access article distributed under the terms and conditions of the Creative Commons Attribution (CC BY) license (https://creativecommons.org/licenses/by/4.0/).
Share and Cite
Siddiqui, I.; Kumar, S.; Tsai, Y.-F.; Gautam, P.; Shahnawaz; Kesavan, K.; Lin, J.-T.; Khai, L.; Chou, K.-H.; Choudhury, A.; et al. Status and Challenges of Blue OLEDs: A Review. Nanomaterials 2023, 13, 2521. https://doi.org/10.3390/nano13182521
Siddiqui I, Kumar S, Tsai Y-F, Gautam P, Shahnawaz, Kesavan K, Lin J-T, Khai L, Chou K-H, Choudhury A, et al. Status and Challenges of Blue OLEDs: A Review. Nanomaterials. 2023; 13(18):2521. https://doi.org/10.3390/nano13182521
Chicago/Turabian StyleSiddiqui, Iram, Sudhir Kumar, Yi-Fang Tsai, Prakalp Gautam, Shahnawaz, Kiran Kesavan, Jin-Ting Lin, Luke Khai, Kuo-Hsien Chou, Abhijeet Choudhury, and et al. 2023. "Status and Challenges of Blue OLEDs: A Review" Nanomaterials 13, no. 18: 2521. https://doi.org/10.3390/nano13182521
APA StyleSiddiqui, I., Kumar, S., Tsai, Y.-F., Gautam, P., Shahnawaz, Kesavan, K., Lin, J.-T., Khai, L., Chou, K.-H., Choudhury, A., Grigalevicius, S., & Jou, J.-H. (2023). Status and Challenges of Blue OLEDs: A Review. Nanomaterials, 13(18), 2521. https://doi.org/10.3390/nano13182521

