Unraveling Anisotropy in Crystalline Orientation under Shock-Induced Dynamic Responses in High-Entropy Alloy Co25Ni25Fe25Al7.5Cu17.5
Abstract
:1. Introduction
2. Simulation Details
3. Results
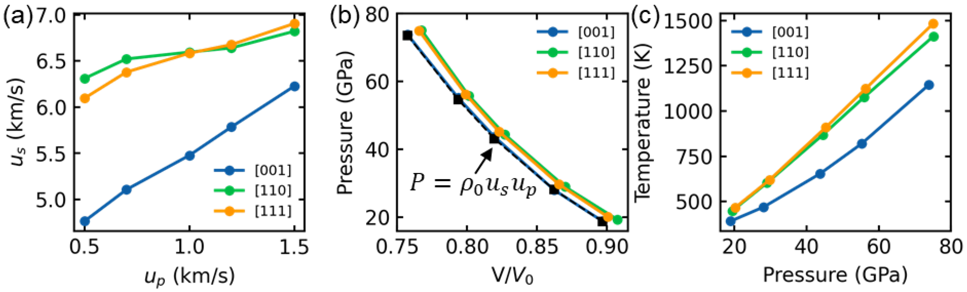
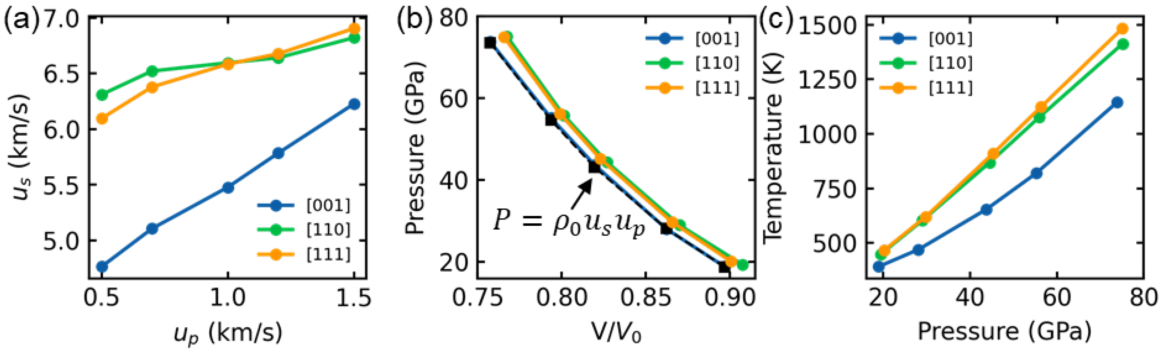
3.1. Shock Induced Plasticity
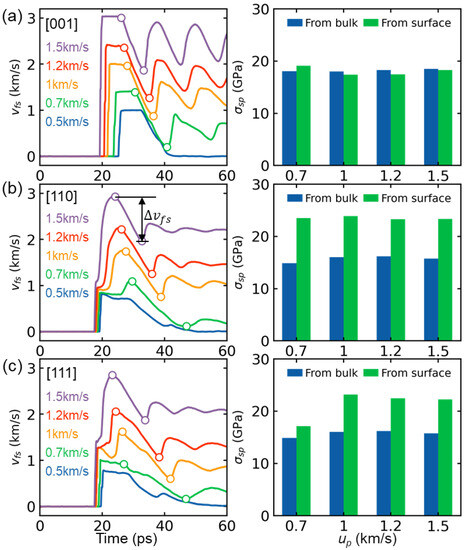
3.2. Spallation Damage
3.3. Spall Strength
4. Conclusions
Author Contributions
Funding
Data Availability Statement
Conflicts of Interest
References
- Yang, T.; Zhao, Y.L.; Li, W.P.; Yu, C.Y.; Luan, J.H.; Lin, D.Y.; Fan, L.; Jiao, Z.B.; Liu, W.H.; Liu, X.J.; et al. Ultrahigh-strength and ductile superlattice alloys with nanoscale disordered interfaces. Science 2020, 369, 427–432. [Google Scholar] [CrossRef]
- Nguyen, N.T.-C.; Asghari-Rad, P.; Sathiyamoorthi, P.; Zargaran, A.; Lee, C.S.; Kim, H.S. Ultrahigh high-strain-rate superplasticity in a nanostructured high-entropy alloy. Nat. Commun. 2020, 11, 2736. [Google Scholar] [CrossRef]
- Zhao, Y.; Yang, T.; Li, Y.; Fan, L.; Han, B.; Jiao, Z.; Chen, D.; Liu, C.; Kai, J. Superior high-temperature properties and deformation-induced planar faults in a novel L12-strengthened high-entropy alloy. Acta Mater. 2020, 188, 517–527. [Google Scholar] [CrossRef]
- Wang, S.; Wu, M.; Shu, D.; Zhu, G.; Wang, D.; Sun, B. Mechanical instability and tensile properties of TiZrHfNbTa high entropy alloy at cryogenic temperatures. Acta Mater. 2020, 201, 517–527. [Google Scholar] [CrossRef]
- Liu, D.; Yu, Q.; Kabra, S.; Jiang, M.; Forna-Kreutzer, P.; Zhang, R.; Payne, M.; Walsh, F.; Gludovatz, B.; Asta, M.; et al. Exceptional fracture toughness of CrCoNi-based medium- and high-entropy alloys at 20 kelvin. Science 2022, 378, 978–983. [Google Scholar] [CrossRef]
- George, E.P.; Curtin, W.A.; Tasan, C.C. High Entropy Alloys: A Focused Review of Mechanical Properties and Deformation Mechanisms. Acta Mater. 2020, 188, 435–474. [Google Scholar] [CrossRef]
- Chang, C.-C.; Hsiao, Y.-T.; Chen, Y.-L.; Tsai, C.-Y.; Lee, Y.-J.; Ko, P.-H.; Chang, S.-Y. Lattice distortion or cocktail effect dominates the performance of Tantalum-based high-entropy nitride coatings. Appl. Surf. Sci. 2022, 577, 151894. [Google Scholar] [CrossRef]
- Tsai, K.-Y.; Tsai, M.-H.; Yeh, J.-W. Sluggish diffusion in Co–Cr–Fe–Mn–Ni high-entropy alloys. Acta Mater. 2013, 61, 4887–4897. [Google Scholar] [CrossRef]
- Liu, X.; Duan, Y.; Yang, X.; Huang, L.; Gao, M.; Wang, T. Enhancement of magnetic properties in FeCoNiCr0.4CuX high entropy alloys through the cocktail effect for megahertz electromagnetic wave absorption. J. Alloys Compd. 2021, 872, 159602. [Google Scholar] [CrossRef]
- Seol, J.B.; Ko, W.-S.; Sohn, S.S.; Na, M.Y.; Chang, H.J.; Heo, Y.-U.; Kim, J.G.; Sung, H.; Li, Z.; Pereloma, E.; et al. Mechanically derived short-range order and its impact on the multi-principal-element alloys. Nat. Commun. 2022, 13, 6766. [Google Scholar] [CrossRef]
- Chen, S.; Aitken, Z.H.; Pattamatta, S.; Wu, Z.; Yu, Z.G.; Srolovitz, D.J.; Liaw, P.K.; Zhang, Y.-W. Simultaneously enhancing the ultimate strength and ductility of high-entropy alloys via short-range ordering. Nat. Commun. 2021, 12, 4953. [Google Scholar] [CrossRef]
- Zhao, S.; Li, Z.; Zhu, C.; Yang, W.; Zhang, Z.; Armstrong, D.E.J.; Grant, P.S.; Ritchie, R.O.; Meyers, M.A. Amorphization in extreme deformation of the CrMnFeCoNi high-entropy alloy. Sci. Adv. 2021, 7, 1–6. [Google Scholar] [CrossRef]
- Foley, D.L.; Huang, S.H.; Anber, E.; Shanahan, L.; Shen, Y.; Lang, A.C.; Barr, C.M.; Spearot, D.; Lamberson, L.; Taheri, M.L. Simultaneous twinning and microband formation under dynamic compression in a high entropy alloy with a complex energetic landscape. Acta Mater. 2020, 200, 1–11. [Google Scholar] [CrossRef]
- Qiao, Y.; Chen, Y.; Cao, F.-H.; Wang, H.-Y.; Dai, L.-H. Dynamic behavior of CrMnFeCoNi high-entropy alloy in impact tension. Int. J. Impact Eng. 2021, 158, 104008. [Google Scholar] [CrossRef]
- Thürmer, D.; Zhao, S.; Deluigi, O.R.; Stan, C.; Alhafez, I.A.; Urbassek, H.M.; Meyers, M.A.; Bringa, E.M.; Gunkelmann, N. Exceptionally high spallation strength for a high-entropy alloy demonstrated by experiments and simulations. J. Alloys Compd. 2022, 895, 162567. [Google Scholar] [CrossRef]
- Yang, K.; Feng, Z.; Zhao, X.; Li, J.; Huang, J. Phase transitions in additively manufactured high-entropy alloy Cr10Mn10Fe60Co10Ni10 induced by high strain rate compression. Scr. Mater. 2022, 221, 114955. [Google Scholar] [CrossRef]
- Zhang, N.; Tang, Z.; Lin, Z.; Zhu, S.; Cai, Y.; Chen, S.; Lu, L.; Zhao, X.; Luo, S. Deformation and damage of heterogeneous-structured high-entropy alloy CrMnFeCoNi under plate impact. Mater. Sci. Eng. A 2022, 843, 143069. [Google Scholar] [CrossRef]
- Liu, S.; Feng, G.; Xiao, L.; Guan, Y.; Song, W. Shock-induced dynamic response in single and nanocrystalline high-entropy alloy FeNiCrCoCu. Int. J. Mech. Sci. 2023, 239, 107859. [Google Scholar] [CrossRef]
- Song, S.; Li, H.; Liu, P.; Duan, M.; Peng, X. Dynamic shock response of high-entropy alloy with elemental anomaly distribution. Int. J. Mech. Sci. 2023, 253, 108408. [Google Scholar] [CrossRef]
- Li, W.; Chen, S.; Aitken, Z.; Zhang, Y.-W. Shock-induced deformation and spallation in CoCrFeMnNi high-entropy alloys at high strain-rates. Int. J. Plast. 2023, 168, 103691. [Google Scholar] [CrossRef]
- Fu, Z.; Chen, W.; Wen, H.; Zhang, D.; Chen, Z.; Zheng, B.; Zhou, Y.; Lavernia, E.J. Microstructure and strengthening mechanisms in an FCC structured single-phase nanocrystalline Co25Ni25Fe25Al7.5Cu17.5 high-entropy alloy. Acta Mater. 2016, 107, 59–71. [Google Scholar] [CrossRef]
- Li, J.; Fang, Q.; Liu, B.; Liu, Y. Transformation induced softening and plasticity in high entropy alloys. Acta Mater. 2018, 147, 35–41. [Google Scholar] [CrossRef]
- Wang, L.; Liu, W.; Zhu, B.; Chen, W.; Zhang, F.; Liu, B.; Liu, J.; Zhou, J.; Zhao, Y. Influences of strain rate, Al concentration and grain heterogeneity on mechanical behavior of CoNiFeAlxCu1-x high-entropy alloys: A molecular dynamics simulation. J. Mater. Res. Technol. 2021, 14, 2071–2084. [Google Scholar] [CrossRef]
- Chen, S.; Aitken, Z.H.; Wu, Z.; Yu, Z.; Banerjee, R.; Zhang, Y.-W. Hall-Petch and inverse Hall-Petch relations in high-entropy CoNiFeAlxCu1-x alloys. Mater. Sci. Eng. A 2020, 773, 138873. [Google Scholar] [CrossRef]
- Zhou, X.; Wadley, H.; Johnson, R.; Larson, D.; Tabat, N.; Cerezo, A.; Petford-Long, A.; Smith, G.; Clifton, P.; Martens, R.; et al. Atomic scale structure of sputtered metal multilayers. Acta Mater. 2001, 49, 4005–4015. [Google Scholar] [CrossRef]
- Li, W.; Hahn, E.N.; Yao, X.; Germann, T.C.; Feng, B.; Zhang, X. On the grain size dependence of shock responses in nanocrystalline sic ceramics at high strain rates. Acta Mater. 2020, 200, 632–651. [Google Scholar] [CrossRef]
- Wu, D.; Chen, K.; Zhu, Y.; Zhao, L.; Huang, M.; Li, Z. Unveiling grain size effect on shock-induced plasticity and its underlying mechanisms in nano-polycrystalline Ta. Mech. Mater. 2021, 160, 103952. [Google Scholar] [CrossRef]
- Wu, Y.-C.; Shao, J.-L.; Zhan, H. Deformation and damage characteristics of copper/honeycomb-graphene under shock loading. Int. J. Mech. Sci. 2022, 230, 107544. [Google Scholar] [CrossRef]
- Chen, B.; Li, Y.; Şopu, D.; Eckert, J.; Wu, W. Molecular dynamics study of shock-induced deformation phenomena and spallation failure in Ni-based single crystal superalloys. Int. J. Plast. 2023, 162, 103539. [Google Scholar] [CrossRef]
- Xiang, M.; Cui, J.; Yang, Y.; Liao, Y.; Wang, K.; Chen, Y.; Chen, J. Shock responses of nanoporous aluminum by molecular dynamics simulations. Int. J. Plast. 2017, 97, 24–45. [Google Scholar] [CrossRef]
- Thompson, A.P.; Aktulga, H.M.; Berger, R.; Bolintineanu, D.S.; Brown, W.M.; Crozier, P.S.; in ’t Veld, P.J.; Kohlmeyer, A.; Moore, S.G.; Nguyen, T.D.; et al. LAMMPS—A flexible simulation tool for particle-based materials modeling at the atomic, meso, and continuum scales. Comput. Phys. Commun. 2022, 271, 108171. [Google Scholar] [CrossRef]
- Stukowski, A. Visualization and analysis of atomistic simulation data with OVITO—The Open Visualization Tool. Model. Simul. Mater. Sci. Eng. 2010, 18, 015012. [Google Scholar] [CrossRef]
- Wu, Y.-C.; Shao, J.-L. mdapy: A flexible and efficient analysis software for molecular dynamics simulations. Comput. Phys. Commun. 2023, 290, 108764. [Google Scholar] [CrossRef]
- Stukowski, A. Structure identification methods for atomistic simulations of crystalline materials. Model. Simul. Mater. Sci. Eng. 2012, 20, 045021–045037. [Google Scholar] [CrossRef]
- Stukowski, A.; Bulatov, V.V.; Arsenlis, A. Automated identification and indexing of dislocations in crystal interfaces. Model. Simul. Mater. Sci. Eng. 2012, 20, 085007. [Google Scholar] [CrossRef]
- Vogler, T.J.; Reinhart, W.D.; Chhabildas, L.C.; Dandekar, D.P. Hugoniot and strength behavior of silicon carbide. J. Appl. Phys. 2006, 99, 2159084. [Google Scholar] [CrossRef]
- Singla, A.; Ray, A. Hugoniot elastic limit of single-crystal tantalum at normal and elevated temperatures subjected to extreme strain rates. Phys. Rev. B 2022, 105, 064102. [Google Scholar] [CrossRef]
- Wang, K.; Shang, S.-L.; Wang, Y.; Liu, Z.-K.; Liu, F. Martensitic transition in Fe via Bain path at finite temperatures: A comprehensive first-principles study. Acta Mater. 2018, 147, 261–276. [Google Scholar] [CrossRef]
- Al-Zoubi, N.; Johansson, B.; Nilson, G.; Vitos, L. The Bain path of paramagnetic Fe-Cr based alloys. J. Appl. Phys. 2011, 110, 013708. [Google Scholar] [CrossRef]
- Jiang, D.-D.; Shao, J.-L.; Wu, B.; Wang, P.; He, A.-M. Sudden change of spall strength induced by shock defects based on atomistic simulation of single crystal aluminum. Scr. Mater. 2022, 210, 114474. [Google Scholar] [CrossRef]
- Xiong, Q.-L.; Kitamura, T.; Li, Z. Transient phase transitions in single-crystal coppers under ultrafast lasers induced shock compression: A molecular dynamics study. J. Appl. Phys. 2019, 125, 194302. [Google Scholar] [CrossRef]
- He, L.; Polsin, D.; Zhang, S.; Collins, G.W.; Abdolrahim, N. Phase transformation path in Aluminum under ramp compression; simulation and experimental study. Sci. Rep. 2022, 12, 18954. [Google Scholar] [CrossRef] [PubMed]
- Stukowski, A. Computational Analysis Methods in Atomistic Modeling of Crystals. JOM 2013, 66, 399–407. [Google Scholar] [CrossRef]
- Pogorelko, V.V.; Mayer, A.E. Dynamic tensile fracture of iron: Molecular dynamics simulations and micromechanical model based on dislocation plasticity. Int. J. Plast. 2023, 167, 103678. [Google Scholar] [CrossRef]
- Zhang, N.; Xu, J.; Feng, Z.; Sun, Y.; Huang, J.; Zhao, X.; Yao, X.; Chen, S.; Lu, L.; Luo, S. Shock compression and spallation damage of high-entropy alloy Al0.1CoCrFeNi. J. Mater. Sci. Technol. 2022, 128, 1–9. [Google Scholar] [CrossRef]
- Li, Z.; Zhao, S.; Diao, H.; Liaw, P.K.; Meyers, M.A. High-velocity deformation of Al0.3CoCrFeNi high-entropy alloy: Remarkable resistance to shear failure. Sci. Rep. 2017, 7, 42742. [Google Scholar] [CrossRef]
- Wu, Y.-C.; Shao, J.-L. FCC-BCC phase transformation induced simultaneous enhancement of tensile strength and ductility at high strain rate in high-entropy alloy. Int. J. Plast. 2023, 169, 103730. [Google Scholar] [CrossRef]










| 0.5 km/s | 0.7 km/s | 1 km/s | 1.2 km/s | 1.5 km/s | |
|---|---|---|---|---|---|
| [110] | 16.8 GPa | 20.6 GPa | 25.3 GPa | 27.6 GPa | 30.8 GPa |
| [111] | 17.6 GPa | 23.8 GPa | 32.6 GPa | 32.8 GPa | 40.5 GPa |
Disclaimer/Publisher’s Note: The statements, opinions and data contained in all publications are solely those of the individual author(s) and contributor(s) and not of MDPI and/or the editor(s). MDPI and/or the editor(s) disclaim responsibility for any injury to people or property resulting from any ideas, methods, instructions or products referred to in the content. |
© 2023 by the authors. Licensee MDPI, Basel, Switzerland. This article is an open access article distributed under the terms and conditions of the Creative Commons Attribution (CC BY) license (https://creativecommons.org/licenses/by/4.0/).
Share and Cite
Wu, Y.; Shao, J. Unraveling Anisotropy in Crystalline Orientation under Shock-Induced Dynamic Responses in High-Entropy Alloy Co25Ni25Fe25Al7.5Cu17.5. Nanomaterials 2023, 13, 2446. https://doi.org/10.3390/nano13172446
Wu Y, Shao J. Unraveling Anisotropy in Crystalline Orientation under Shock-Induced Dynamic Responses in High-Entropy Alloy Co25Ni25Fe25Al7.5Cu17.5. Nanomaterials. 2023; 13(17):2446. https://doi.org/10.3390/nano13172446
Chicago/Turabian StyleWu, Yongchao, and Jianli Shao. 2023. "Unraveling Anisotropy in Crystalline Orientation under Shock-Induced Dynamic Responses in High-Entropy Alloy Co25Ni25Fe25Al7.5Cu17.5" Nanomaterials 13, no. 17: 2446. https://doi.org/10.3390/nano13172446
APA StyleWu, Y., & Shao, J. (2023). Unraveling Anisotropy in Crystalline Orientation under Shock-Induced Dynamic Responses in High-Entropy Alloy Co25Ni25Fe25Al7.5Cu17.5. Nanomaterials, 13(17), 2446. https://doi.org/10.3390/nano13172446

