Magnetic Properties of a High-Pressure Torsion Deformed Co-Zr Alloy
Abstract
1. Introduction
2. Material and Methods
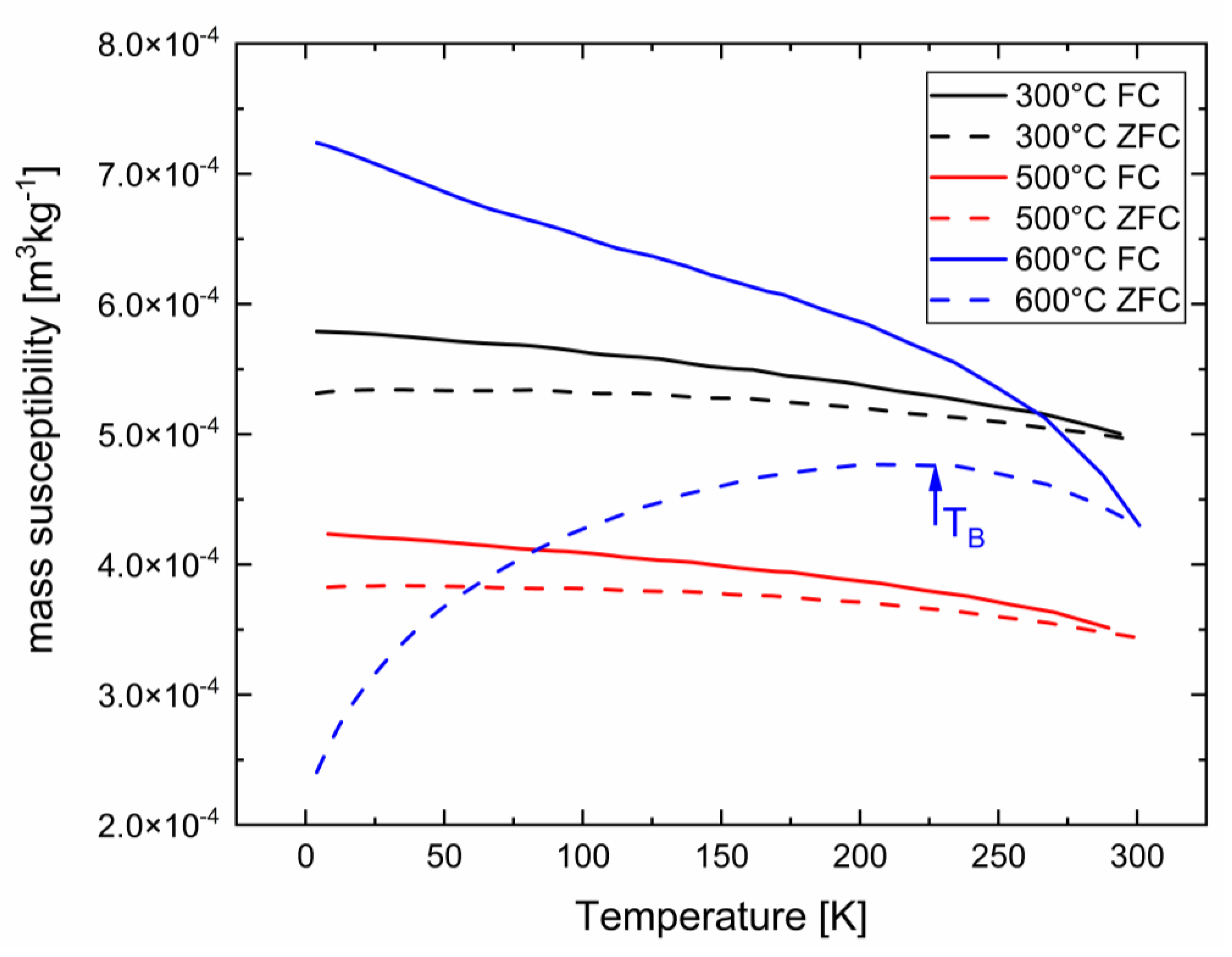
3. Results and Discussion
4. Conclusions
Supplementary Materials
Author Contributions
Funding
Informed Consent Statement
Data Availability Statement
Acknowledgments
Conflicts of Interest
References
- Wang, Z.-R.; Si, P.-Z.; Park, J.; Choi, C.-J.; Ge, H.-L. A Review of Ultrafine-Grained Magnetic Materials Prepared by Using High-Pressure Torsion Method. Materials 2022, 15, 2129. [Google Scholar] [CrossRef]
- Weissitsch, L.; Staab, F.; Durst, K.; Bachmaier, A. Magnetic Materials via High-Pressure Torsion Deformation of Powders. Mater. Trans. 2023, 64, 1537–1550. [Google Scholar] [CrossRef]
- Weissitsch, L.; Stückler, M.; Wurster, S.; Knoll, P.; Krenn, H.; Pippan, R.; Bachmaier, A. Strain Induced Anisotropic Magnetic Behaviour and Exchange Coupling Effect in Fe-SmCo5 Permanent Magnets Generated by High Pressure Torsion. Crystals 2020, 10, 1026. [Google Scholar] [CrossRef]
- Weissitsch, L.; Stueckler, M.; Wurster, S.; Todt, J.; Knoll, P.; Krenn, H.; Pippan, R.; Bachmaier, A. Manufacturing of Textured Bulk Fe-SmCo5 Magnets by Severe Plastic Deformation. Nanomaterials 2022, 12, 963. [Google Scholar] [CrossRef]
- Stückler, M.; Teichert, C.; Matković, A.; Krenn, H.; Weissitsch, L.; Wurster, S.; Pippan, R.; Bachmaier, A. On the Magnetic Nanostructure of a Co–Cu Alloy Processed by High-Pressure Torsion. J. Sci. Adv. Mater. Devices 2021, 6, 33–41. [Google Scholar] [CrossRef]
- Stückler, M.; Krenn, H.; Pippan, R.; Weissitsch, L.; Wurster, S.; Bachmaier, A. Magnetic Binary Supersaturated Solid Solutions Processed by Severe Plastic Deformation. Nanomaterials 2018, 9, 6. [Google Scholar] [CrossRef]
- Stückler, M.; Weissitsch, L.; Wurster, S.; Krenn, H.; Pippan, R.; Bachmaier, A. Sampling the Cu–Fe–Co Phase Diagram by Severe Plastic Deformation for Enhanced Soft Magnetic Properties. J. Mater. Res. Technol. 2021, 12, 1235–1242. [Google Scholar] [CrossRef]
- Inoue, A.; Kong, F. Soft Magnetic Materials. In Encyclopedia of Smart Materials; Olabi, A.G., Ed.; Elsevier: Oxford, UK, 2022; pp. 10–23. ISBN 978-0-12-815733-6. [Google Scholar]
- Hellstern, E.; Schultz, L. Glass Formation in Mechanically Alloyed Transition Metal—Titanium Alloys. Mater. Sci. Eng. 1987, 93, 213–216. [Google Scholar] [CrossRef]
- Hellstern, E.; Schultz, L. Glass Formation in Mechanically Alloyed Transition-Metal-Zr Alloys. Philos. Mag. B 1987, 56, 443–448. [Google Scholar] [CrossRef]
- Hellstern, E.; Schultz, L.; Eckert, J. Glass-Forming Ranges of Mechanically Alloyed Powders. J. Less Common Met. 1988, 140, 93–98. [Google Scholar] [CrossRef]
- Sherif El-Eskandarany, M.; Akoi, K.; Sumiyama, K.; Suzuki, K. Cyclic Crystalline–Amorphous Transformations of Mechanically Alloyed Co75Ti25. Appl. Phys. Lett. 1997, 70, 1679–1681. [Google Scholar] [CrossRef]
- Dolgin, B.P.; Vanek, M.A.; McGory, T.; Ham, D.J. Mechanical Alloying of Ni, CO, and Fe with Ti. Formation of an Amorphous Phase. J. Non Cryst. Solids 1986, 87, 281–289. [Google Scholar] [CrossRef]
- Huang, J.Y.; Zhu, Y.T.; Liao, X.Z.; Valiev, R.Z. Amorphization of TiNi Induced by High-Pressure Torsion. Philos. Mag. Lett. 2004, 84, 183–190. [Google Scholar] [CrossRef]
- Sun, Y.F.; Fujii, H.; Nakamura, T.; Tsuji, N.; Todaka, D.; Umemoto, M. Critical Strain for Mechanical Alloying of Cu–Ag, Cu–Ni and Cu–Zr by High-Pressure Torsion. Scr. Mater. 2011, 65, 489–492. [Google Scholar] [CrossRef]
- Tsuchiya, K.; Ciuca, O. Nanostructure Formation and Amorphization in Intermetallic Compounds by Severe Plastic Deformation. MSF 2010, 667–669, 17–24. [Google Scholar] [CrossRef]
- Machon, D.; Mélinon, P. Size-Dependent Pressure-Induced Amorphization: A Thermodynamic Panorama. Phys. Chem. Chem. Phys. 2015, 17, 903–910. [Google Scholar] [CrossRef]
- Pippan, R.; Scheriau, S.; Taylor, A.; Hafok, M.; Hohenwarter, A.; Bachmaier, A. Saturation of Fragmentation During Severe Plastic Deformation. Annu. Rev. Mater. Res. 2010, 40, 319–343. [Google Scholar] [CrossRef]
- Sundeev, R.V.; Glezer, A.M.; Shalimova, A.V. Phase Transformations «Amorphization ↔ Crystallization» in Metallic Materials Induced by Severe Plastic Deformation. Rev. Adv. Mater. Sci. 2018, 54, 93–105. [Google Scholar] [CrossRef]
- Yamada, K.; Maruyama, T.; Tanaka, H.; Kaneko, H.; Kagaya, I.; Ito, S. A Thin Film Head for High Density Magnetic Recording Using CoZr Amorphous Films. J. Appl. Phys. 1984, 55, 2235–2237. [Google Scholar] [CrossRef]
- Shimada, Y.; Kojima, H. Sputtering of Amorphous Co-Zr and Co-Hf Films with Soft Magnetic Properties. J. Appl. Phys. 1982, 53, 3156–3160. [Google Scholar] [CrossRef]
- Naoe, M.; Terada, N.; Hoshi, Y.; Yamanaka, S. Deposition of Amorphous Co-Ta and Co-Zr Thin Films by Means of Double Ion Beam Sputtering. IEEE Trans. Magn. 1984, 20, 1311–1313. [Google Scholar] [CrossRef]
- Hellstern, E.; Schultz, L. Amorphization of Transition Metal Zr Alloys by Mechanical Alloying. Appl. Phys. Lett. 1986, 48, 124–126. [Google Scholar] [CrossRef]
- Ivanova, G.V.; Shchegoleva, N.N. The Microstructure of a Magnetically Hard Zr2Co11 Alloy. Phys. Met. Metallogr. 2009, 107, 270–275. [Google Scholar] [CrossRef]
- Okamoto, H. Co-Zr (Cobalt-Zirconium). J. Phase Equilibria Diffus. 2011, 32, 169–170. [Google Scholar] [CrossRef]
- Aoki, Y.; Nakamichi, T.; Yamamoto, M. Paramagnetic Behavior in the Non-Stoichiometric Composition of the Laves Phase Compound in the Zr—Co Alloy System. Phys. Status Solidi 1972, 53, K137–K139. [Google Scholar] [CrossRef]
- Fujii, H.; Pourarian, F.; Wallace, W.E. Appearance of Spontaneous Ferromagnetism in Non-Stoichiometric ZrCo2. J. Magn. Magn. Mater. 1981, 24, 93–96. [Google Scholar] [CrossRef]
- Hohenwarter, A. Microstructure, Strength and Fracture Toughness of CuNb Nanocomposites Processed with High Pressure Torsion Using Multi-Sector Disks. Scr. Mater. 2020, 189, 48–52. [Google Scholar] [CrossRef]
- Tago, A.; Nishimura, C.; Yanagisawa, K. Magnetic Properties of Ion Beam Sputtered Co-Zr and Co-Zr-Re Amorphous Films. IEEE Trans. Magn. 1985, 21, 2032–2034. [Google Scholar] [CrossRef]
- Malozemoff, A.P.; Williams, A.R.; Terakura, K.; Moruzzi, V.L.; Fukamichi, K. Magnetism of Amorphous Metal-Metal Alloys. J. Magn. Magn. Mater. 1983, 35, 192–198. [Google Scholar] [CrossRef]
- Hofmann, B.; Reininger, T.; Kronmüller, H. Influence of the Microstructure on the Magnetization Processes in Nanocrystalline Fe73.5Cu1Nb3Si13.5B9. Phys. Status Solidi 1992, 134, 247–261. [Google Scholar] [CrossRef]
- Todt, J.; Keckes, J.; Winter, G.; Staron, P.; Hohenwarter, A. Gradient Residual Strain and Stress Distributions in a High Pressure Torsion Deformed Iron Disk Revealed by High Energy X-ray Diffraction. Scr. Mater. 2018, 146, 178–181. [Google Scholar] [CrossRef]
- Shen, T.D.; Schwarz, R.B.; Thompson, J.D. Soft Magnetism in Mechanically Alloyed Nanocrystalline Materials. Phys. Rev. B 2005, 72, 14431. [Google Scholar] [CrossRef]
- Coey, J.M.D. Magnetism and Magnetic Materials; Cambridge University Press: Cambridge, UK, 2010; ISBN 9780521816144. [Google Scholar]
- Gammer, C.; Mangler, C.; Rentenberger, C.; Karnthaler, H.P. Quantitative Local Profile Analysis of Nanomaterials by Electron Diffraction. Scr. Mater. 2010, 63, 312–315. [Google Scholar] [CrossRef]
- Buschow, K.H.J. Crystallization of Amorphous Zr1−xCox Alloys. J. Less Common Met. 1982, 85, 221–231. [Google Scholar] [CrossRef]
- Zhou, G.F.; Bakker, H. Magnetic Properties of B2-Structure CoZr upon Ball Milling. Phys. B Condens. Matter 1995, 211, 134–138. [Google Scholar] [CrossRef][Green Version]
- Woińska, M.; Majhofer, A.; Gosk, J.; Szczytko, J. Monte Carlo Simulations of Ferromagnetic Nanocomposites. Acta Phys. Pol. A 2012, 122, 1019–1021. [Google Scholar] [CrossRef]
- Hansen, M.F.; Mørup, S. Estimation of Blocking Temperatures from ZFC/FC Curves. J. Magn. Magn. Mater. 1999, 203, 214–216. [Google Scholar] [CrossRef]
- Cui, J.; Kramer, M.; Zhou, L.; Liu, F.; Gabay, A.; Hadjipanayis, G.; Balasubramanian, B.; Sellmyer, D. Current Progress and Future Challenges in Rare-Earth-Free Permanent Magnets. Acta Mater. 2018, 158, 118–137. [Google Scholar] [CrossRef]
- Balasubramanian, B.; Sakurai, M.; Wang, C.-Z.; Xu, X.; Ho, K.-M.; Chelikowsky, J.R.; Sellmyer, D.J. Synergistic Computational and Experimental Discovery of Novel Magnetic Materials. Mol. Syst. Des. Eng. 2020, 5, 1098–1117. [Google Scholar] [CrossRef]





Disclaimer/Publisher’s Note: The statements, opinions and data contained in all publications are solely those of the individual author(s) and contributor(s) and not of MDPI and/or the editor(s). MDPI and/or the editor(s) disclaim responsibility for any injury to people or property resulting from any ideas, methods, instructions or products referred to in the content. |
© 2023 by the authors. Licensee MDPI, Basel, Switzerland. This article is an open access article distributed under the terms and conditions of the Creative Commons Attribution (CC BY) license (https://creativecommons.org/licenses/by/4.0/).
Share and Cite
Stückler, M.; Wurster, S.; Alfreider, M.; Zawodzki, M.; Krenn, H.; Bachmaier, A. Magnetic Properties of a High-Pressure Torsion Deformed Co-Zr Alloy. Nanomaterials 2023, 13, 2280. https://doi.org/10.3390/nano13162280
Stückler M, Wurster S, Alfreider M, Zawodzki M, Krenn H, Bachmaier A. Magnetic Properties of a High-Pressure Torsion Deformed Co-Zr Alloy. Nanomaterials. 2023; 13(16):2280. https://doi.org/10.3390/nano13162280
Chicago/Turabian StyleStückler, Martin, Stefan Wurster, Markus Alfreider, Michael Zawodzki, Heinz Krenn, and Andrea Bachmaier. 2023. "Magnetic Properties of a High-Pressure Torsion Deformed Co-Zr Alloy" Nanomaterials 13, no. 16: 2280. https://doi.org/10.3390/nano13162280
APA StyleStückler, M., Wurster, S., Alfreider, M., Zawodzki, M., Krenn, H., & Bachmaier, A. (2023). Magnetic Properties of a High-Pressure Torsion Deformed Co-Zr Alloy. Nanomaterials, 13(16), 2280. https://doi.org/10.3390/nano13162280

