Ultrafast Antisolvent Growth of Single-Crystal CsPbBr3 Microcavity for Whispering-Gallery-Mode Lasing
Abstract
1. Introduction
2. Materials and Methods
2.1. Materials
2.2. Instrumentation
2.3. Synthesis Method
3. Results and Discussion
3.1. Morphology and Structure Characteristics
3.2. Optical Characteristics
3.3. Lasing
3.4. Stability
4. Conclusions
Author Contributions
Funding
Data Availability Statement
Conflicts of Interest
References
- Duan, X.F.; Huang, Y.; Agarwal, R.; Lieber, C.M. Single-nanowire electrically driven lasers. Nature 2003, 421, 241–245. [Google Scholar] [CrossRef] [PubMed]
- Guzelturk, B.; Kelestemur, Y.; Gungor, K.; Yeltik, A.; Akgul, M.Z.; Wang, Y.; Chen, R.; Dang, C.; Sun, H.D.; Demir, H.V. Stable and Low-Threshold Optical Gain in CdSe/CdS Quantum Dots: An All-Colloidal Frequency Up-Converted Laser. Adv. Mater. 2015, 27, 2741–2746. [Google Scholar] [CrossRef] [PubMed]
- Huang, M.H.; Mao, S.; Feick, H.; Yan, H.Q.; Wu, Y.Y.; Kind, H.; Weber, E.; Russo, R.; Yang, P.D. Room-Temperature Ultraviolet Nanowire Nanolasers. Science 2001, 292, 1897–1899. [Google Scholar] [CrossRef] [PubMed]
- Tong, L.M.; Gattass, R.R.; Ashcom, J.B.; He, S.L.; Lou, J.Y.; Shen, M.Y.; Maxwell, I.; Mazur, E. Subwavelength-diameter silica wires for low-loss optical wave guiding. Nature 2003, 426, 816–819. [Google Scholar] [CrossRef]
- Zhang, Q.; Liu, X.F.; Utama, M.I.B.; Xing, G.C.; Sum, T.C.; Xiong, Q.H. Phonon-Assisted Anti-Stokes Lasing in ZnTe Nanoribbons. Adv. Mater. 2016, 28, 276–283. [Google Scholar] [CrossRef]
- Lu, Y.; Qu, K.; Zhang, T.; He, Q.; Pan, J. Metal Halide Perovskite Nanowires: Controllable Synthesis, Mechanism, and Application in Optoelectronic Devices. Nanomaterials 2023, 13, 419. [Google Scholar] [CrossRef]
- Xing, G.C.; Mathews, N.; Lim, S.S.; Yantara, N.; Liu, X.F.; Sabba, D.; Grätzel, M.; Mhaisalkar, S.; Sum, T.C. Low-temperature solution-processed wavelength-tunable perovskites for lasing. Nat. Mater. 2014, 13, 476–480. [Google Scholar] [CrossRef]
- Saidaminov, M.I.; Haque, M.A.; Almutlaq, J.; Sarmah, S.; Miao, X.H.; Begum, R.; Zhumekenov, A.A.; Dursun, I.; Cho, N.; Murali, B.; et al. Inorganic Lead Halide Perovskite Single Crystals: Phase-Selective Low-Temperature Growth, Carrier Transport Properties, and Self-Powered Photodetection. Adv. Opt. Mater. 2017, 5, 1600704. [Google Scholar] [CrossRef]
- Pan, G.C.; Bai, X.; Xu, W.; Chen, X.; Zhai, Y.; Zhu, J.Y.; Shao, H.; Ding, N.; Xu, L.; Dong, B.; et al. Bright Blue Light Emission of Ni2+ Ion-Doped CsPbClxBr3–x Perovskite Quantum Dots Enabling Efficient Light-Emitting Devices. ACS Appl. Mater. Interfaces 2020, 12, 14195–14202. [Google Scholar] [CrossRef]
- Eaton, S.W.; Lai, M.L.; Gibson, N.A.; Wong, A.B.; Dou, L.; Ma, J.; Wang, L.W.; Leone, S.R.; Yang, P.D. Lasing in robust cesium lead halide perovskite nanowires. Proc. Natl. Acad. Sci. USA 2016, 113, 1993–1998. [Google Scholar] [CrossRef]
- Zhang, Q.; Su, R.; Liu, X.F.; Xing, J.; Sum, T.C.; Xiong, Q.H. High-Quality Whispering-Gallery-Mode Lasing from Cesium Lead Halide Perovskite Nanoplatelets. Adv. Funct. Mater. 2016, 26, 6238–6245. [Google Scholar] [CrossRef]
- Wang, L.; Meng, L.H.; Chen, L.; Huang, S.; Wu, X.G.; Dai, G.; Deng, L.G.; Han, J.B.; Zou, B.S.; Zhang, C.F.; et al. Ultralow-Threshold and Color-Tunable Continuous-Wave Lasing at Room-Temperature from In Situ Fabricated Perovskite Quantum Dots. J. Phys. Chem. Lett. 2019, 10, 3248–3253. [Google Scholar] [CrossRef] [PubMed]
- Bist, A.; Pant, B.; Ojha, G.P.; Acharya, J.; Park, M.; Saud, P.S. Novel Materials in Perovskite Solar Cells: Efficiency, Stability, and Future Perspectives. Nanomaterials 2023, 13, 1724. [Google Scholar] [CrossRef] [PubMed]
- Song, J.Z.; Xu, L.M.; Li, J.H.; Xue, J.; Dong, Y.H.; Li, X.M.; Zeng, H.B. Monolayer and Few-Layer All-Inorganic Perovskites as a New Family of Two-Dimensional Semiconductors for Printable Optoelectronic Devices. Adv. Mater. 2016, 28, 4861–4869. [Google Scholar] [CrossRef] [PubMed]
- Zhang, J.R.; Hodes, G.; Jin, Z.W.; Liu, S.Z. All-Inorganic CsPbX3 Perovskite Solar Cells: Progress and Prospects. Angew. Chem. Int. Ed. 2019, 58, 15596–15618. [Google Scholar] [CrossRef]
- Chen, J.Z.; Ma, G.B.; Gong, B.X.; Deng, C.Y.; Zhang, M.; Guo, K.X.; Cui, R.R.; Wu, Y.K.; Lv, M.L.; Wang, X. Bulk Photovoltaic Current Mechanisms in All-Inorganic Perovskite Multiferroic Materials. Nanomaterials 2023, 13, 429. [Google Scholar] [CrossRef] [PubMed]
- Bao, C.X.; Yang, J.; Bai, S.; Xu, W.D.; Yan, Z.B.; Xu, Q.Y.; Liu, J.M.; Zhang, W.J.; Gao, F. High Performance and Stable All-Inorganic Metal Halide Perovskite-Based Photodetectors for Optical Communication Applications. Adv. Mater. 2018, 30, 1803422. [Google Scholar] [CrossRef]
- Huang, S.Y.; Guo, M.L.; Tan, J.; Geng, Y.Y.; Wu, J.Y.; Tang, Y.W.; Su, C.C.; Lin, C.C.; Liang, Y. Novel Fluorescence Sensor Based on All-Inorganic Perovskite Quantum Dots Coated with Molecularly Imprinted Polymers for Highly Selective and Sensitive Detection of Omethoate. ACS Appl. Mater. Interfaces 2018, 10, 39056–39063. [Google Scholar] [CrossRef]
- Wang, Y.; Lv, Z.Y.; Chen, J.R.; Wang, Z.P.; Zhou, Y.; Zhou, L.; Chen, X.L.; Han, S.T. Photonic Synapses Based on Inorganic Perovskite Quantum Dots for Neuromorphic Computing. Adv. Mater. 2018, 30, 1802883. [Google Scholar] [CrossRef]
- Pourdavoud, N.; Haeger, T.; Mayer, A.; Cegielski, P.J.; Giesecke, A.L.; Heiderhoff, R.; Olthof, S.; Zaefferer, S.; Shutsko, I.; Henkel, A.; et al. Room-Temperature Stimulated Emission and Lasing in Recrystallized Cesium Lead Bromide Perovskite Thin Films. Adv. Mater. 2019, 31, 1903717. [Google Scholar] [CrossRef]
- Yun, R.; Luo, L.; He, J.; Wang, J.; Li, X.; Zhao, W.; Nie, Z.; Lin, Z. Mixed-Solvent Polarity-Assisted Phase Transition of Cesium Lead Halide Perovskite Nanocrystals with Improved Stability at Room Temperature. Nanomaterials 2019, 9, 1537. [Google Scholar] [CrossRef] [PubMed]
- Zhou, H.; Yuan, S.P.; Wang, X.X.; Xu, T.; Wang, X.; Li, H.L.; Zheng, W.H.; Fan, P.; Li, Y.Y.; Sun, L.T.; et al. Vapor Growth and Tunable Lasing of Band Gap Engineered Cesium Lead Halide Perovskite Micro/Nanorods with Triangular Cross Section. ACS Nano 2017, 11, 1189–1195. [Google Scholar] [CrossRef] [PubMed]
- Yakunin, S.; Protesescu, L.; Krieg, F.; Bodnarchuk, M.I.; Nedelcu, G.; Humer, M.; De Luca, G.; Fiebig, M.; Heiss, W.; Kovalenko, M.V. Low-threshold amplified spontaneous emission and lasing from colloidal nanocrystals of caesium lead halide perovskites. Nat. Commun. 2015, 6, 8056. [Google Scholar] [CrossRef]
- Fu, Y.P.; Zhu, H.M.; Stoumpos, C.C.; Ding, Q.; Wang, J.; Kanatzidis, M.G.; Zhu, X.Y.; Jin, S. Broad Wavelength Tunable Robust Lasing from Single-Crystal Nanowires of Cesium Lead Halide Perovskites (CsPbX3, X = Cl, Br, I). ACS Nano 2016, 10, 7963–7972. [Google Scholar] [CrossRef] [PubMed]
- Zhang, H.J.; Liu, X.; Dong, J.P.; Yu, H.; Zhou, C.; Zhang, B.B.; Xu, Y.D.; Jie, W.Q. Centimeter-Sized Inorganic Lead Halide Perovskite CsPbBr3 Crystals Grown by an Improved Solution Method. Cryst. Growth Des. 2017, 17, 6426–6431. [Google Scholar] [CrossRef]
- Zeng, J.P.; Li, X.M.; Wu, Y.; Yang, D.D.; Sun, Z.G.; Song, Z.H.; Wang, H.; Zeng, H.B. Space-Confined Growth of CsPbBr3 Film Achieving Photodetectors with High Performance in All Figures of Merit. Adv. Funct. Mater. 2018, 28, 1804394. [Google Scholar] [CrossRef]
- Liu, P.; He, X.X.; Ren, J.H.; Liao, Q.; Yao, J.N.; Fu, H.B. Organic–Inorganic Hybrid Perovskite Nanowire Laser Arrays. ACS Nano 2017, 11, 5766–5773. [Google Scholar] [CrossRef]
- Zhang, L.; Zhang, J.S.; Shang, Q.Y.; Song, J.P.; Li, C.; Du, W.N.; Chen, S.L.; Liu, X.F.; Zou, B.S.; Gao, P.; et al. Ultrafast Antisolvent Growth of Single-Crystalline CsPbCl3 Microcavity for Low-Threshold Room Temperature Blue Lasing. ACS Appl. Mater. Interfaces 2022, 14, 21356–21362. [Google Scholar] [CrossRef]
- Gebauer, D.; Kellermeier, M.; Gale, J.D.; Bergström, L.; Cölfen, H. Pre-nucleation clusters as solute precursors in crystallisation. Chem. Soc. Rev. 2014, 43, 2348–2371. [Google Scholar] [CrossRef]
- Ravi, V.K.; Santra, P.K.; Joshi, N.; Chugh, J.; Singh, S.K.; Rensmo, H.; Ghosh, P.; Nag, A. Origin of the Substitution Mechanism for the Binding of Organic Ligands on the Surface of CsPbBr3 Perovskite Nanocubes. J. Phys. Chem. Lett. 2017, 8, 4988–4994. [Google Scholar] [CrossRef]
- Ghaithan, H.M.; Alahmed, Z.A.; Qaid, S.M.H.; Hezam, M.; Aldwayyan, A.S. Density Functional Study of Cubic, Tetragonal, and Orthorhombic CsPbBr3 Perovskite. ACS Omega 2020, 5, 7468–7480. [Google Scholar] [CrossRef] [PubMed]
- Abiedh, K.; Zaaboub, Z.; Hassen, F. Mixed monomolecular and bimolecular-like recombination processes in CsPbBr3 perovskite film revealed by time-resolved photoluminescence spectroscopy. Appl. Phys. A 2021, 127, 623. [Google Scholar] [CrossRef]
- Francisco-López, A.; Charles, B.; Weber, O.J.; Alonso, M.I.; Garriga, M.; Campoy Quiles, M.; Weller, M.T.; Goñi, A.R. Equal Footing of Thermal Expansion and Electron–Phonon Interaction in the Temperature Dependence of Lead Halide Perovskite Band Gaps. J. Phys. Chem. Lett. 2019, 10, 2971–2977. [Google Scholar] [CrossRef] [PubMed]
- Niesner, D.; Schuster, O.; Wilhelm, M.; Levchuk, I.; Osvet, A.; Shrestha, S.; Batentschuk, M.; Brabec, C.; Fauster, T. Temperature-dependent optical spectra of single-crystal (CH3NH3)PbBr3 cleaved in ultrahigh vacuum. Phys. Rev. B 2017, 95, 075207. [Google Scholar] [CrossRef]
- Yu, C.; Chen, Z.; Wang, J.J.; Pfenninger, W.; Vockic, N.; Kenney, J.T.; Shum, K. Temperature dependence of the band gap of perovskite semiconductor compound CsSnI3. J. Appl. Phys. 2011, 110, 063526. [Google Scholar] [CrossRef]
- Wu, K.W.; Bera, A.; Ma, C.; Du, Y.M.; Yang, Y.; Li, L.; Wu, T. Temperature-dependent excitonic photoluminescence of hybrid organometal halide perovskite films. Phys. Chem. Chem. Phys. 2014, 16, 22476–22481. [Google Scholar] [CrossRef]
- Shibata, K.; Yan, J.; Hazama, Y.; Chen, S.; Akiyama, H. Exciton Localization and Enhancement of the Exciton–LO Phonon Interaction in a CsPbBr3 Single Crystal. J. Phys. Chem. C 2020, 124, 18257–18263. [Google Scholar] [CrossRef]
- Bimberg, D.; Sondergeld, M.; Grobe, E. Thermal Dissociation of Excitons Bounds to Neutral Acceptors in High-Purity GaAs. Phys. Rev. B 1971, 4, 3451–3455. [Google Scholar] [CrossRef]
- Ai, B.; Liu, C.; Deng, Z.; Wang, J.; Han, J.J.; Zhao, X.J. Low temperature photoluminescence properties of CsPbBr3 quantum dots embedded in glasses. Phys. Chem. Chem. Phys. 2017, 19, 17349–17355. [Google Scholar] [CrossRef]
- Wright, A.D.; Verdi, C.; Milot, R.L.; Eperon, G.E.; Pérez-Osorio, M.A.; Snaith, H.J.; Giustino, F.; Johnston, M.B.; Herz, L.M. Electron–phonon coupling in hybrid lead halide perovskites. Nat. Commun. 2016, 7, 11755. [Google Scholar] [CrossRef]
- Rudin, S.; Reinecke, T.L.; Segall, B. Temperature-dependent exciton linewidths in semiconductors. Phys. Rev. B 1990, 42, 11218–11231. [Google Scholar] [CrossRef] [PubMed]
- Rudin, S.; Reinecke, T.L. Temperature-dependent exciton linewidths in semiconductor quantum wells. Phys. Rev. B 1990, 41, 3017–3027. [Google Scholar] [CrossRef] [PubMed]
- Lan, S.G.; Peng, Y.Y.; Shen, H.Z.; Wang, S.; Ren, J.W.; Zheng, Z.P.; Liu, W.W.; Li, D.H. Seeds-Assisted Space-Confined Growth of All-Inorganic Perovskite Arrays for Ultralow-Threshold Single-Mode Lasing. Laser Photonics Rev. 2021, 15, 2000428. [Google Scholar] [CrossRef]
- Guo, P.F.; Hossain, M.K.; Shen, X.; Sun, H.B.; Yang, W.C.; Liu, C.P.; Ho, C.Y.; Kwok, C.K.; Tsang, S.W.; Luo, Y.S.; et al. Room-Temperature Red–Green–Blue Whispering-Gallery Mode Lasing and White-Light Emission from Cesium Lead Halide Perovskite (CsPbX3, X = Cl, Br, I) Microstructures. Adv. Opt. Mater. 2018, 6, 1700993. [Google Scholar] [CrossRef]
- He, X.X.; Liu, P.; Zhang, H.H.; Liao, Q.; Yao, J.N.; Fu, H.B. Patterning Multicolored Microdisk Laser Arrays of Cesium Lead Halide Perovskite. Adv. Mater. 2017, 29, 1604510. [Google Scholar] [CrossRef] [PubMed]
- Schlaus, A.P.; Spencer, M.S.; Miyata, K.; Liu, F.; Wang, X.X.; Datta, I.; Lipson, M.; Pan, A.L.; Zhu, X.Y. How lasing happens in CsPbBr3 perovskite nanowires. Nat. Commun. 2019, 10, 265. [Google Scholar] [CrossRef]
- Hu, J.Y.; Wang, M.; Tang, F.W.; Liu, M.; Mu, Y.Y.; Fu, Y.L.; Guo, J.X.; Song, X.Y.; Zhang, X.P. Threshold Size Effects in the Patterned Crystallization of Hybrid Halide Perovskites for Random Lasing. Adv. Photonics Res. 2021, 2, 2000097. [Google Scholar] [CrossRef]
- Liu, X.; Zhang, Q.; Xiong, Q.H.; Sum, T.C. Tailoring the Lasing Modes in Semiconductor Nanowire Cavities Using Intrinsic Self-Absorption. Nano Lett. 2013, 13, 1080–1085. [Google Scholar] [CrossRef]
- Bade, S.G.R.; Li, J.; Shan, X.; Ling, Y.; Tian, Y.; Dilbeck, T.; Besara, T.; Geske, T.; Gao, H.; Ma, B.; et al. Fully Printed Halide Perovskite Light-Emitting Diodes with Silver Nanowire Electrodes. ACS Nano 2016, 10, 1795–1801. [Google Scholar] [CrossRef]
- Tian, Y.X.; Peter, M.; Unger, E.; Abdellah, M.; Zheng, K.; Pullerits, T.; Yartsev, A.; Sundström, V.; Scheblykin, I.G. Mechanistic insights into perovskite photoluminescence enhancement: Light curing with oxygen can boost yield thousandfold. Phys. Chem. Chem. Phys. 2015, 17, 24978–24987. [Google Scholar] [CrossRef]







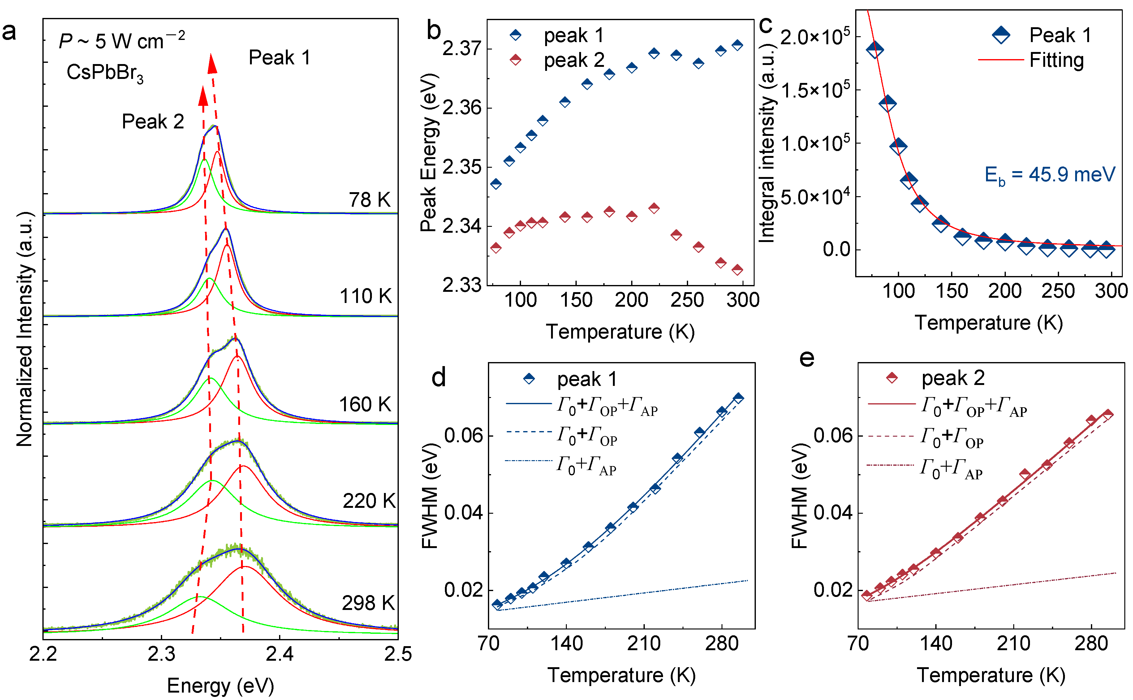
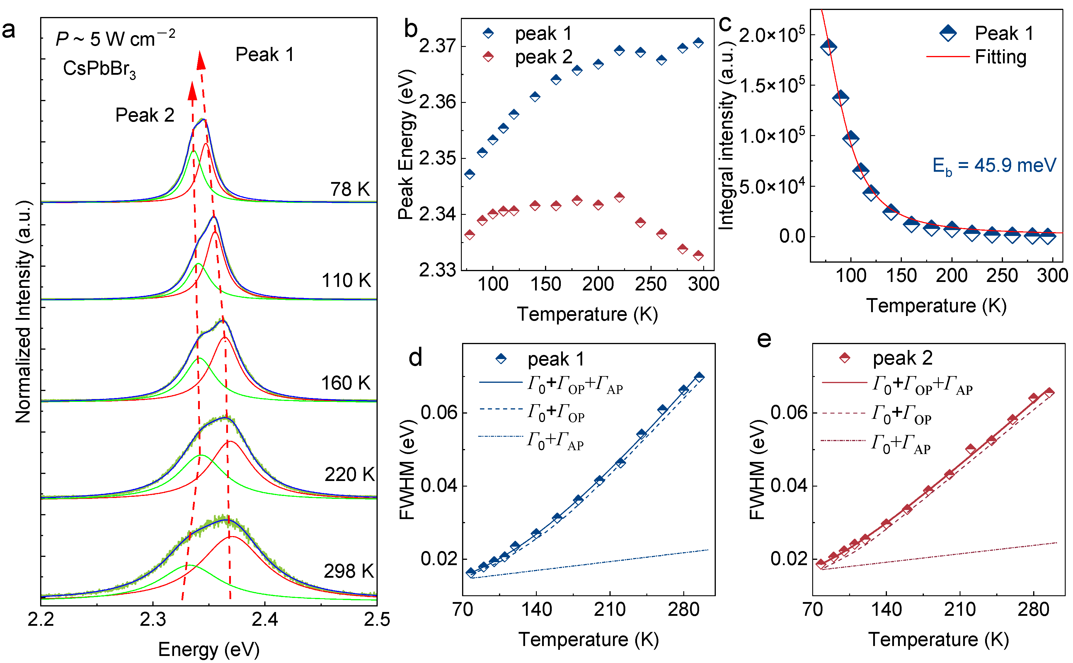
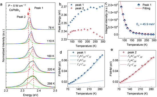
| Γ0 (meV) | (meV/T) | Γop (meV) | Eop (meV) | |
|---|---|---|---|---|
| Peak 1 | 7.88 | 0.104 | 58.8 | 41.7 |
| Peak 2 | 14.4 | 0.158 | 60.5 | 20.0 |
Disclaimer/Publisher’s Note: The statements, opinions and data contained in all publications are solely those of the individual author(s) and contributor(s) and not of MDPI and/or the editor(s). MDPI and/or the editor(s) disclaim responsibility for any injury to people or property resulting from any ideas, methods, instructions or products referred to in the content. |
© 2023 by the authors. Licensee MDPI, Basel, Switzerland. This article is an open access article distributed under the terms and conditions of the Creative Commons Attribution (CC BY) license (https://creativecommons.org/licenses/by/4.0/).
Share and Cite
Zhang, L.; Li, X.; Song, Y.; Zou, B. Ultrafast Antisolvent Growth of Single-Crystal CsPbBr3 Microcavity for Whispering-Gallery-Mode Lasing. Nanomaterials 2023, 13, 2116. https://doi.org/10.3390/nano13142116
Zhang L, Li X, Song Y, Zou B. Ultrafast Antisolvent Growth of Single-Crystal CsPbBr3 Microcavity for Whispering-Gallery-Mode Lasing. Nanomaterials. 2023; 13(14):2116. https://doi.org/10.3390/nano13142116
Chicago/Turabian StyleZhang, Li, Xinxin Li, Yimeng Song, and Bingsuo Zou. 2023. "Ultrafast Antisolvent Growth of Single-Crystal CsPbBr3 Microcavity for Whispering-Gallery-Mode Lasing" Nanomaterials 13, no. 14: 2116. https://doi.org/10.3390/nano13142116
APA StyleZhang, L., Li, X., Song, Y., & Zou, B. (2023). Ultrafast Antisolvent Growth of Single-Crystal CsPbBr3 Microcavity for Whispering-Gallery-Mode Lasing. Nanomaterials, 13(14), 2116. https://doi.org/10.3390/nano13142116

