Shape and Composition Evolution in an Alloy Core–Shell Nanowire Heterostructure Induced by Adatom Diffusion
Abstract
1. Introduction
2. Modelling
3. Results and Discussion
3.1. Shape Evolution
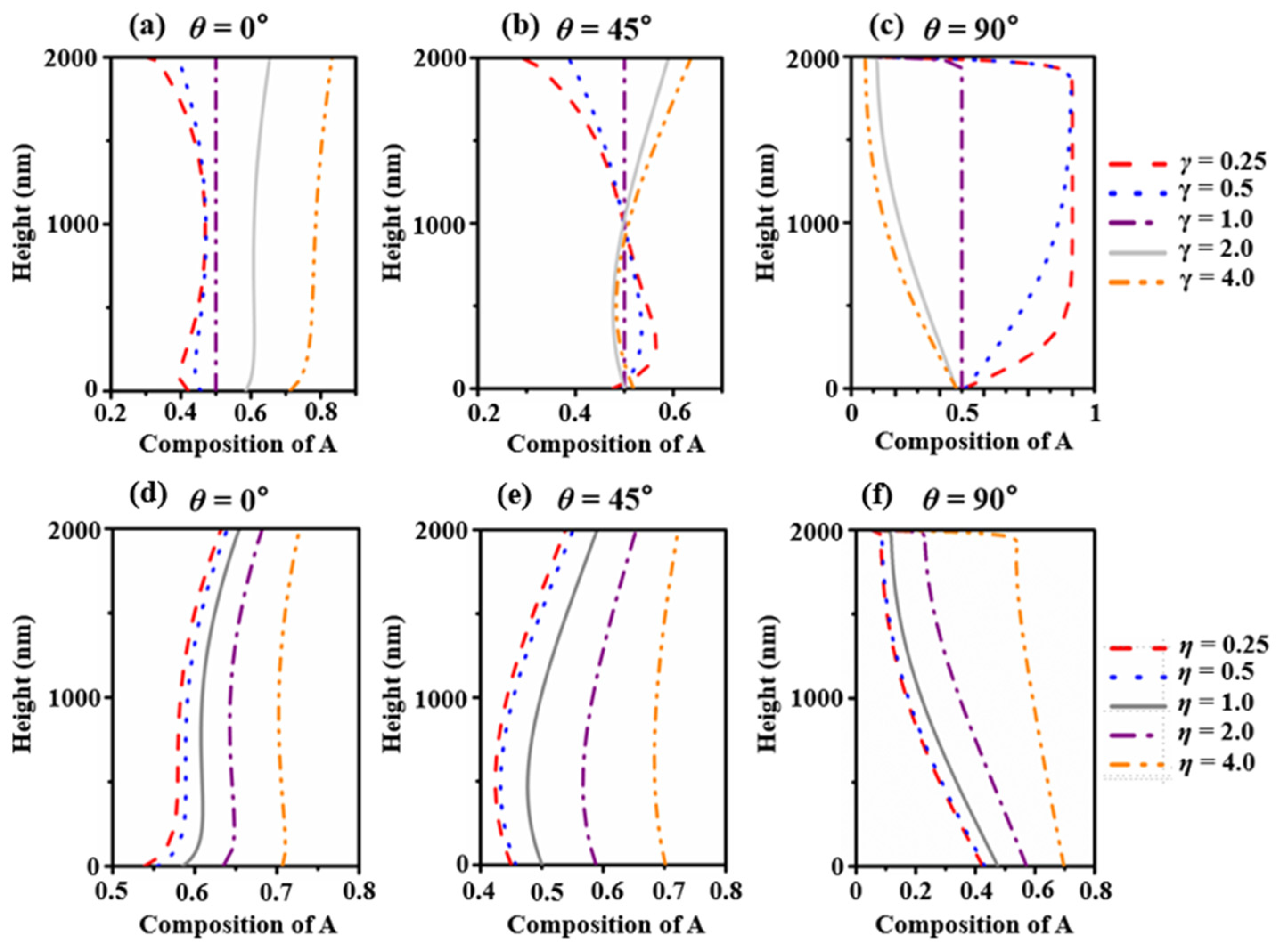
3.2. Composition Evolution
4. Conclusions
Supplementary Materials
Author Contributions
Funding
Data Availability Statement
Conflicts of Interest
References
- Wong-Leung, J.; Yang, I.; Li, Z.; Karuturi, S.-K.; Lan, F.; Tan, H.-H.; Jagadish, C. Engineering III–V semiconductor nanowires for device applications. Adv. Mater. 2020, 32, 1904359. [Google Scholar] [CrossRef] [PubMed]
- Li, N.-Q.; Kang, J.; Ning, C.; Yang, P. Nanowires for Photonics. Chem. Rev. 2019, 119, 9153–9169. [Google Scholar] [CrossRef]
- Bolshakov, A.-D.; Fedorov, V.-V.; Sibirev, N.-V.; Fetisova, M.-V.; Moiseev, E.-I.; Kryzhanovskaya, N.-V.; Koval, O.-Y.; Ubyivovk, E.-V.; Mozharov, A.-M.; Cirlin, G.-E.; et al. Growth and characterization of GaP/GaPAs nanowire heterostructures with controllable composition. Phys. Status Solidi-Rapid Res. Lett. 2019, 13, 1900350. [Google Scholar] [CrossRef]
- Zagaglia, L.; Demontis, V.; Rossella, F.; Floris, F. Semiconductor nanowire arrays for optical sensing: A numerical insight on the impact of array periodicity and density. Nanotechnology 2021, 32, 335502. [Google Scholar] [CrossRef] [PubMed]
- Hyun, J.-K.; Zhang, S.-X.; Lauhon, L.-J. Nanowire Heterostructures. Annu. Rev. Mater. Res. 2013, 43, 451–479. [Google Scholar] [CrossRef]
- Zagaglia, L.; Demontis, V.; Rossella, F.; Floris, F. Particle swarm optimization of GaAs-AlGaAS nanowire photonic crystals as two-dimensional diffraction gratings for light trapping. Nano Express 2022, 3, 021001. [Google Scholar] [CrossRef]
- Ra, Y.-H.; Lee, C.-R. Core–shell tunnel junction nanowire white-light-emitting diode. Nano Lett. 2020, 20, 4162–4168. [Google Scholar] [CrossRef]
- Demontis, V.; Zannier, V.; Sorba, L.; Rossella, F. Surface nano-patterning for the bottom-up growth of III-V semiconductor nanowire ordered arrays. Nanomaterials 2021, 11, 2079. [Google Scholar] [CrossRef]
- Sjökvist, R.; Jacobsson, D.; Tornberg, M.; Wallenberg, R.; Leshchenko, E.-D.; Johansson, J.; Dick, K.-A. Compositional Correlation between the Nanoparticle and the Growing Au-Assisted In x Ga1–x As Nanowire. J. Phys. Chem. Lett. 2021, 12, 7590–7595. [Google Scholar] [CrossRef]
- Dubrovskii, V.-G.; Koryakin, A.-A.; Sibirev, N.-V. Understanding the composition of ternary III–V nanowires and axial nanowire heterostructures in nucleation-limited regime. Mater. Des. 2017, 132, 400–408. [Google Scholar] [CrossRef]
- Lauhon, L.-J.; Gudiksen, M.-S.; Wang, D.-L.; Lieber, C.-M. Epitaxial core–shell and core–multishell nanowire heterostructures. Nature 2002, 420, 57–61. [Google Scholar] [CrossRef] [PubMed]
- Sköld, N.; Karlsson, L.-S.; Larsson, M.-W.; Pistol, M.-E.; Seifert, W.; Trägårdh, J.; Samuelson, L. Growth and Optical Properties of Strained GaAs-GaxIn1-xP Core-Shell Nanowires. Nano Lett. 2005, 5, 1943–1947. [Google Scholar] [CrossRef] [PubMed]
- Hua, B.; Motohisa, J.; Kobayashi, Y.; Hara, S.; Fukui, T. Single GaAs/GaAsP coaxial core−shell nanowire lasers. Nano Lett. 2009, 9, 112–116. [Google Scholar] [CrossRef] [PubMed]
- Assali, S.; Dijkstra, A.; Li, A.; Koelling, S.; Verheijen, M.-A.; Gagliano, L.; Driesch, N.; Buca, D.; Koenraad, P.-M.; Haverkort, J.-E.-M.; et al. Growth and optical properties of direct band gap Ge/Ge0. 87Sn0. 13 core/shell nanowire arrays. Nano Lett. 2017, 17, 1538–1544. [Google Scholar] [CrossRef]
- Dillen, D.-C.; Kim, K.; Liu, E.-S.; Tutuc, E. Radial modulation doping in core–shell nanowires. Nat. Nanotechnol. 2014, 9, 116–120. [Google Scholar] [CrossRef]
- Hayden, O.; Greytak, A.B.; Bell, D.C. Core–shell nanowire light-emitting diodes. Adv. Mater. 2005, 17, 701–704. [Google Scholar] [CrossRef]
- Lee, J.-S.; Brittman, S.; Yu, D.; Park, H. Vapor–Liquid–Solid and Vapor–Solid Growth of Phase-Change Sb2Te3 Nanowires and Sb2Te3/GeTe Nanowire Heterostructures. J. Am. Chem. Soc. 2008, 130, 6252–6258. [Google Scholar] [CrossRef]
- Jishiashvili, D.; Shiolashvili, Z.; Makhatadze, N.; Jishiashvili, A.; Gobronidze, V.; Sukhanov, D. Vapor–Solid growth of InP and Ga2O3 based composite nanowires. Eur. Chem. Bull. 2015, 4, 24–29. [Google Scholar] [CrossRef]
- Lin, H.-M.; Chen, Y.-L.; Yang, J.; Liu, Y.-C.; Yin, K.-M.; Kai, J.-J.; Chen, F.-R.; Chen, L.-C.; Chen, Y.-F.; Chen, C.-C. Synthesis and Characterization of Core−Shell GaP@GaN and GaN@GaP Nanowires. Nano. Lett. 2003, 3, 537–541. [Google Scholar] [CrossRef]
- Ghasemi, M.; Leshchenko, E.-D.; Johansson, J. Assembling your nanowire: An overview of composition tuning in ternary III–V nanowires. Nanotechnology 2020, 32, 072001. [Google Scholar] [CrossRef]
- Lee, J.W.; Lee, J.; Yi, S.-I.; Seo, Y.M.; Choi, B.L.; Yu, C.; Yang, C.-W.; Hwang, S.; Kim, S.; Whang, D.; et al. Core-shell Si1−xGex nanowires with controlled structural defects for phonon scattering enhancement. J. Mater. Chem. A 2014, 2, 12153–12157. [Google Scholar] [CrossRef]
- Zhou, H.-L.; Hoang, T.-B.; Dheeraj, D.-L.; Helvoort, A.-T.-J.; Harmand, J.-C.; Fimland, B.-O.; Weman, H. Wurtzite GaAs/AlGaAs core–shell nanowires grown by molecular beam epitaxy. Nanotechnology 2009, 20, 415701. [Google Scholar] [CrossRef] [PubMed]
- Kang, J.-H.; Gao, Q.; Joyce, H.-J.; Tan, H.-H.; Jagadish, C.; Kim, Y.; Guo, Y.; Xu, H.; Zou, J.; Fickenscher, M.-A.; et al. Defect-free GaAs/AlGaAs core–shell nanowires on Si substrates. Cryst. Growth Des. 2011, 11, 3109–3114. [Google Scholar] [CrossRef]
- Koryakin, A.-A.; Kukushkin, S.-A.; Kotlyar, K.-P.; Ubyivovk, E.-D.; Reznik, R.-R.; Cirlin, G.E. A new insight into the mechanism of low-temperature Au-assisted growth of InAs nanowires. Cryst. Eng. Comm. 2019, 21, 4707–4717. [Google Scholar] [CrossRef]
- Gueorguiev, G.-K.; Stafström, S.; Hultman, L. Nano-wire formation by self-assembly of silicon–metal cage-like molecules. Chem. Phys. Lett. 2008, 458, 170–174. [Google Scholar] [CrossRef]
- Alves Machado Filho, M.; Hsiao, C.-L.; dos Santos, R.-B.; Hultman, L.; Birch, J.; Gueorguiev, G.-K. Self-Induced Core–Shell InAlN Nanorods: Formation and Stability Unraveled by Ab Initio Simulations. ACS Nanosci. Au 2023, 3, 84–93. [Google Scholar] [CrossRef]
- Li, Q.; Wang, G.-T. Strain influenced indium composition distribution in GaN/InGaN core-shell nanowires. Appl. Phys. Lett. 2010, 97, 181107. [Google Scholar] [CrossRef]
- Ye, H.; Yu, Z.-Y.; Kodambaka, S.; Shenoy, V.-B. Kinetics of axial composition evolution in multi-component alloy nanowires. Appl. Phys. Lett. 2012, 100, 263103. [Google Scholar] [CrossRef]
- Yao, L.-C.; Zhou, X.-H.; Lu, W.; Chen, X. Chemical potential effects on polytypism in Au-catalyzed GaAs nanowire molecular beam epitaxy growth: A first-principles study. Chem. Phys. Lett. 2016, 644, 147–151. [Google Scholar] [CrossRef]
- Zhang, Q.; Voorhees, P.-W.; Davis, S.-H. Modeling of the growth of GaAs–AlGaAs core–shell nanowires. Beilstein J. Nanotechnol. 2017, 8, 506–513. [Google Scholar] [CrossRef]
- Dubrovskii, V.-G.; Timofeeva, M.-A.; Tchernycheva, M.; Bolshakov, A.-D. Lateral growth and shape of semiconductor nanowires. Semiconductors 2013, 47, 50–57. [Google Scholar] [CrossRef]
- Vastola, G.; Shenoy, V.-B.; Zhang, Y.-W. Controlling the interface composition of core-shell and axial heterojunction nanowires. J. Appl. Phys. 2012, 112, 064311. [Google Scholar] [CrossRef]
- Shenoy, V.-B. Evolution of morphology and composition in three-dimensional fully faceted strained alloy crystals. J. Mech. Phys. Solids 2011, 59, 1121–1130. [Google Scholar] [CrossRef]
- Medhekar, N.-V.; Hegadekatte, V.; Shenoy, V.-B. Composition Maps in Self-Assembled Alloy Quantum Dots. Phys. Rev. Lett. 2008, 100, 106104. [Google Scholar] [CrossRef]
- Gatti, R.; Uhlik, F.; Montalenti, F. Intermixing in heteroepitaxial islands: Fast, self-consistent calculation of the concentration profile minimizing the elastic energy. New J. Phys. 2008, 10, 083039. [Google Scholar] [CrossRef]
- Chai, H.-Y.; Ye, H.; Yu, Z.-Y.; Liu, Y.-M.; Li, Y.-F. Electronic structures of uncapped In(Ga)As nanoislands grown on pit-patterned GaAs(001) substrate. Superlattices Microstruct. 2017, 109, 99–106. [Google Scholar] [CrossRef]
- Lim, S.-H.; Song, S.; Park, T.-S.; Yoon, E.; Lee, J.-H. Si adatom diffusion on Si(100) surface in selective epitaxial growth of Si. J. Vac. Sci. Technol. B 2003, 21, 2388–2392. [Google Scholar] [CrossRef]
- Jiang, Y.; Mo, D.; Hu, X.-F.; Wang, S.-G.; Chen, Y.-L.; Lin, D.; Fan, Y.; Yang, X.; Zhong, Z.; Jiang, Z. Investigation on Ge surface diffusion via growing Ge quantum dots on top of Si pillars. AIP Adv. 2016, 6, 085120. [Google Scholar] [CrossRef]
- Sibirev, N.-V.; Tchernycheva, M.; Timofeeva, M.-A.; Harmand, J.; Cirlin, G.-E.; Dubrovskii, V.-G. Influence of shadow effect on the growth and shape of InAs nanowires. J. Appl. Phys. 2012, 111, 104317. [Google Scholar] [CrossRef]
- Harmand, J.-C.; Patriarche, G.; Péré-Laperne, N.; Mérat-Combes, M.-N.; Travers, L.; Glas, F. Analysis of vapor liquid solid mechanism in Au assisted GaAs nanowire growth. Appl. Phys. Lett. 2005, 87, 203101. [Google Scholar] [CrossRef]
- Aldao, C.-M.; Iguain, J.-L.; Mfirtin, H.-O. A steady-state approach to determine diffusion coefficients: The migration of silicon on the Si(100) surface. Surf. Sci. 1996, 366, 483–490. [Google Scholar] [CrossRef]
- Consonni, V.; Dubrovskii, V.-G.; Trampert, A.; Geelhaar, L.; Riechert, H. Quantitative description for the growth rate of self-induced GaN nanowires. Phys. Rev. B 2012, 85, 155313. [Google Scholar] [CrossRef]
- Zhong, Z.-Y.; Chen, P.; Jiang, Z.-M.; Bauer, G. Temperature dependence of ordered GeSi island growth on patterned Si(001) Substrates. Appl. Phys. Lett. 2008, 93, 043106. [Google Scholar] [CrossRef]






Disclaimer/Publisher’s Note: The statements, opinions and data contained in all publications are solely those of the individual author(s) and contributor(s) and not of MDPI and/or the editor(s). MDPI and/or the editor(s) disclaim responsibility for any injury to people or property resulting from any ideas, methods, instructions or products referred to in the content. |
© 2023 by the authors. Licensee MDPI, Basel, Switzerland. This article is an open access article distributed under the terms and conditions of the Creative Commons Attribution (CC BY) license (https://creativecommons.org/licenses/by/4.0/).
Share and Cite
Han, D.; Tang, W.; Sun, N.; Ye, H.; Chai, H.; Wang, M. Shape and Composition Evolution in an Alloy Core–Shell Nanowire Heterostructure Induced by Adatom Diffusion. Nanomaterials 2023, 13, 1732. https://doi.org/10.3390/nano13111732
Han D, Tang W, Sun N, Ye H, Chai H, Wang M. Shape and Composition Evolution in an Alloy Core–Shell Nanowire Heterostructure Induced by Adatom Diffusion. Nanomaterials. 2023; 13(11):1732. https://doi.org/10.3390/nano13111732
Chicago/Turabian StyleHan, Delong, Wenlei Tang, Naizhang Sun, Han Ye, Hongyu Chai, and Mingchao Wang. 2023. "Shape and Composition Evolution in an Alloy Core–Shell Nanowire Heterostructure Induced by Adatom Diffusion" Nanomaterials 13, no. 11: 1732. https://doi.org/10.3390/nano13111732
APA StyleHan, D., Tang, W., Sun, N., Ye, H., Chai, H., & Wang, M. (2023). Shape and Composition Evolution in an Alloy Core–Shell Nanowire Heterostructure Induced by Adatom Diffusion. Nanomaterials, 13(11), 1732. https://doi.org/10.3390/nano13111732

