Design and Optimization of an Ultrathin and Broadband Polarization-Insensitive Fractal FSS Using the Improved Bacteria Foraging Optimization Algorithm and Curve Fitting
Abstract
1. Introduction
2. Design of the Proposed FSS Using IBFO and Curve Fitting
2.1. Geometrical Structure
2.2. Improved Bacterial Foraging Optimization Algorithm
2.3. Curve Fitting
- Step 1
- Load data (Structural parameters and their corresponding S);
- Step 2
- Create a fit using the fit function, specifying the variables and a model type (Fourier, Polynomial, Gaussian, Exponential, etc.);
- Step 3
- Calculate the goodness of fit: (1) The sum of squares due to error () of the corresponding points of the predicted data and the original data ; (2) Root mean squared error () at the corresponding points of the predicted and original data; (3) Coefficient of certainty ().where is the total sum of squares of the difference between the original data and its mean , .
- Step 4
- Observe the evaluation metrics to determine if the fit meets the requirements, and if not, continue to change them. The fitting requirement is satisfied if and are approximately 0, is approximately 1.
3. Performance Assessment of the Proposed Method
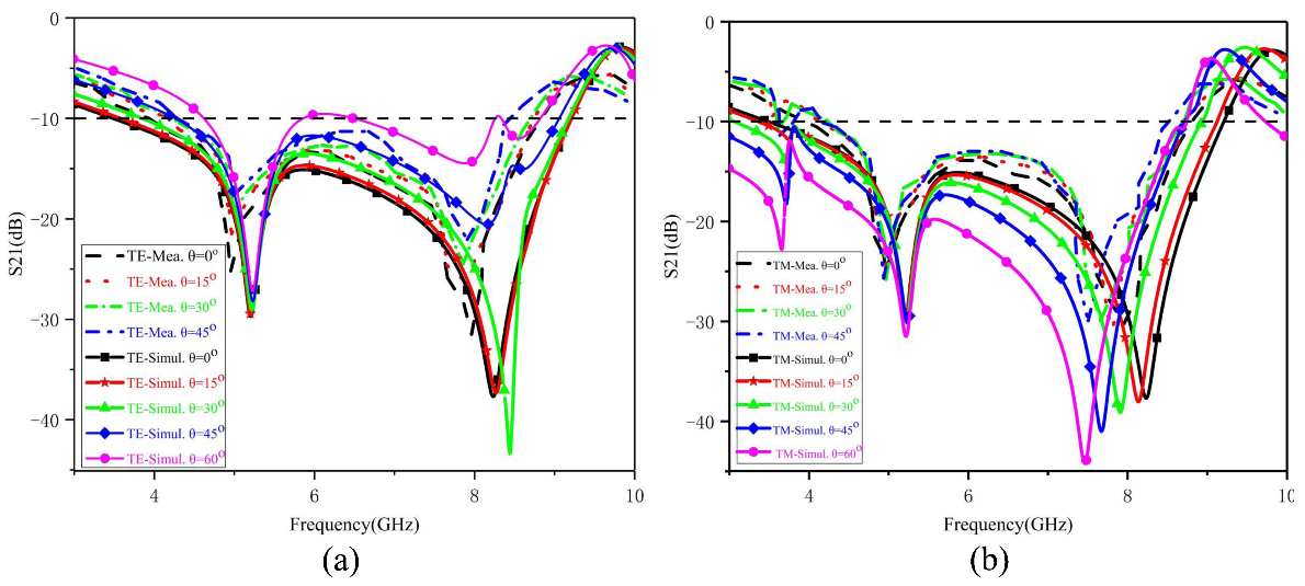
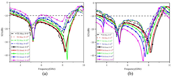
4. Experimental Verification
5. Conclusions
Author Contributions
Funding
Data Availability Statement
Conflicts of Interest
References
- Pazokian, M.; Komjani, N.; Karimipour, M. Broadband RCS reduction of microstrip antenna using coding frequency selective surface. IEEE Antennas Wirel. Propag. Lett. 2018, 17, 1382–1385. [Google Scholar] [CrossRef]
- Kanth, V.K.; Raghavan, S. EM design and analysis of frequency selective surface based on substrate-integrated waveguide technology for airborne radome application. IEEE Trans. Microw. Theory Tech. 2019, 67, 1727–1739. [Google Scholar] [CrossRef]
- Rafieipour, H.; Setoodeh, A.; Lau, A.K.T. Mechanical and electromagnetic behavior of fabricated hybrid composite sandwich radome with a new optimized frequency-selective surface. Compos. Struct. 2021, 273, 114256. [Google Scholar] [CrossRef]
- Qu, S.W.; Lu, S.; Ma, C.; Yang, S. K/Ka dual-band reflectarray subreflector for ring-focus reflector antenna. IEEE Antennas Wirel. Propag. Lett. 2019, 18, 1567–1571. [Google Scholar] [CrossRef]
- Abdulkarim, Y.I.; Xiao, M.; Awl, H.N.; Muhammadsharif, F.F.; Lang, T.; Saeed, S.R.; Alkurt, F.Ö.; Bakır, M.; Karaaslan, M.; Dong, J. Simulation and lithographic fabrication of a triple band terahertz metamaterial absorber coated on flexible polyethylene terephthalate substrate. Opt. Mater. Express 2022, 12, 338–359. [Google Scholar] [CrossRef]
- Huang, C.; Ji, C.; Wu, X.; Song, J.; Luo, X. Combining FSS and EBG surfaces for high-efficiency transmission and low-scattering properties. IEEE Trans. Antennas Propag. 2018, 66, 1628–1632. [Google Scholar] [CrossRef]
- Wang, C.; Li, Y.; Feng, M.; Wang, J.; Ma, H.; Zhang, J.; Qu, S. Frequency-selective structure with transmission and scattering deflection based on spoof surface plasmon polariton modes. IEEE Trans. Antennas Propag. 2019, 67, 6508–6514. [Google Scholar] [CrossRef]
- Shah, G.; Cao, Q.; Abidin, Z.U.; Rafique, Z. A 2 b dual-band multifunction frequency selective surface. IEEE Antennas Wirel. Propag. Lett. 2020, 19, 954–958. [Google Scholar] [CrossRef]
- Costa, F.; Monorchio, A.; Manara, G. Efficient analysis of frequency-selective surfaces by a simple equivalent-circuit model. IEEE Antennas Propag. Mag. 2012, 54, 35–48. [Google Scholar] [CrossRef]
- Zhao, P.C.; Zong, Z.Y.; Wu, W.; Li, B.; Fang, D.G. Miniaturized-element bandpass FSS by loading capacitive structures. IEEE Trans. Antennas Propag. 2019, 67, 3539–3544. [Google Scholar] [CrossRef]
- Li, D.; Shen, Z.; Li, E.P. Spurious-free dual-band bandpass frequency-selective surfaces with large band ratio. IEEE Trans. Antennas Propag. 2018, 67, 1065–1072. [Google Scholar] [CrossRef]
- Ahmed, F.; Hassan, T.; Shoaib, N. A multiband bianisotropic FSS with polarization-insensitive and angularly stable properties. IEEE Antennas Wirel. Propag. Lett. 2020, 19, 1833–1837. [Google Scholar] [CrossRef]
- Ji, C.; Huang, C.; Zhang, X.; Yang, J.; Song, J.; Luo, X. Broadband low-scattering metasurface using a combination of phase cancellation and absorption mechanisms. Opt. Express 2019, 27, 23368–23377. [Google Scholar] [CrossRef] [PubMed]
- Zhao, B.; Huang, C.; Yang, J.; Song, J.; Guan, C.; Luo, X. Broadband polarization-insensitive tunable absorber using active frequency selective surface. IEEE Antennas Wirel. Propag. Lett. 2020, 19, 982–986. [Google Scholar] [CrossRef]
- Gerislioglu, B.; Ahmadivand, A.; Karabiyik, M.; Sinha, R.; Pala, N. VO2-Based Reconfigurable Antenna Platform with Addressable Microheater Matrix. Adv. Electron. Mater. 2017, 3, 1700170. [Google Scholar] [CrossRef]
- Bangi, I.S.; Sivia, J.S. Moore, Minkowski and Koch curves based hybrid fractal antenna for multiband applications. Wirel. Pers. Commun. 2019, 108, 2435–2448. [Google Scholar] [CrossRef]
- Puente-Baliarda, C.; Romeu, J.; Pous, R.; Cardama, A. On the behavior of the Sierpinski multiband fractal antenna. IEEE Trans. Antennas Propag. 1998, 46, 517–524. [Google Scholar] [CrossRef]
- Darimireddy, N.K.; Reddy, R.R.; Prasad, A.M. A miniaturized hexagonal-triangular fractal antenna for wide-band applications [antenna applications corner. IEEE Antennas Propag. Mag. 2018, 60, 104–110. [Google Scholar] [CrossRef]
- Arif, A.; Zubair, M.; Ali, M.; Khan, M.U.; Mehmood, M.Q. A compact, low-profile fractal antenna for wearable on-body WBAN applications. IEEE Antennas Wirel. Propag. Lett. 2019, 18, 981–985. [Google Scholar] [CrossRef]
- Gianvittorio, J.P.; Rahmat-Samii, Y.; Romeu, J. Fractal FSS: Various self-similar geometries used for dual-band and dual-polarized FSS. In Proceedings of the IEEE Antennas and Propagation Society International Symposium. 2001 Digest. Held in Conjunction with: USNC/URSI National Radio Science Meeting (Cat. No. 01CH37229), Boston, MA, USA, 8–13 July 2001; IEEE: Piscataway, NJ, USA, 2001; Volume 3, pp. 640–643. [Google Scholar]
- Panwar, R.; Puthucheri, S.; Agarwala, V.; Singh, D. Fractal frequency-selective surface embedded thin broadband microwave absorber coatings using heterogeneous composites. IEEE Trans. Microw. Theory Tech. 2015, 63, 2438–2448. [Google Scholar] [CrossRef]
- Li, Y.; Li, L.; Zhang, Y.; Zhao, C. Design and synthesis of multilayer frequency selective surface based on antenna-filter-antenna using Minkowski fractal structures. IEEE Trans. Antennas Propag. 2014, 63, 133–141. [Google Scholar] [CrossRef]
- Anwar, R.S.; Wei, Y.; Mao, L.; Ning, H. Miniaturised frequency selective surface based on fractal arrays with square slots for enhanced bandwidth. IET Microwaves Antennas Propag. 2019, 13, 1811–1819. [Google Scholar] [CrossRef]
- Zhu, D.Z.; Werner, P.L.; Werner, D.H. Design and optimization of 3-D frequency-selective surfaces based on a multiobjective lazy ant colony optimization algorithm. IEEE Trans. Antennas Propag. 2017, 65, 7137–7149. [Google Scholar] [CrossRef]
- Lalbakhsh, A.; Afzal, M.U.; Esselle, K.P.; Zeb, B.A. Multi-objective particle swarm optimization for the realization of a low profile bandpass frequency selective surface. In Proceedings of the 2015 International Symposium on Antennas and Propagation (ISAP), Hobart, Australia, 9–12 December 2015; IEEE: Piscataway, NJ, USA, 2015; pp. 1–4. [Google Scholar]
- Barton, J.H.; Garcia, C.R.; Berry, E.A.; Salas, R.; Rumpf, R.C. 3-D printed all-dielectric frequency selective surface with large bandwidth and field of view. IEEE Trans. Antennas Propag. 2015, 63, 1032–1039. [Google Scholar] [CrossRef]
- Silva, P.H.d.F.; Cruz, R.M.S.; d’Assuncao, A.G. Blending PSO and ANN for optimal design of FSS filters with Koch island patch elements. IEEE Trans. Magn. 2010, 46, 3010–3013. [Google Scholar] [CrossRef]
- Rani, S.; Singh, A. A novel design of hybrid fractal antenna using BFO. J. Intell. Fuzzy Syst. 2014, 27, 1233–1241. [Google Scholar] [CrossRef]
- Kaur, M.; Sivia, J.S. Minkowski, Giuseppe Peano and Koch curves based design of compact hybrid fractal antenna for biomedical applications using ANN and PSO. AEU-Int. J. Electron. Commun. 2019, 99, 14–24. [Google Scholar] [CrossRef]
- Singh, A.; Singh, S. Design and optimization of a modified Sierpinski fractal antenna for broadband applications. Appl. Soft Comput. 2016, 38, 843–850. [Google Scholar] [CrossRef]
- Werner, D.H.; Ganguly, S. An overview of fractal antenna engineering research. IEEE Antennas Propag. Mag. 2003, 45, 38–57. [Google Scholar] [CrossRef]
- Sharma, N.; Sharma, V. A journey of antenna from dipole to fractal: A review. J. Eng. Technol 2017, 6, 317–351. [Google Scholar]
- Passino, K.M. Biomimicry of bacterial foraging for distributed optimization and control. IEEE Control Syst. Mag. 2002, 22, 52–67. [Google Scholar]
- Passino, K.M. Bacterial foraging optimization. Int. J. Swarm Intell. Res. (IJSIR) 2010, 1, 1–16. [Google Scholar] [CrossRef]
- Dasgupta, S.; Das, S.; Abraham, A.; Biswas, A. Adaptive computational chemotaxis in bacterial foraging optimization: An analysis. IEEE Trans. Evol. Comput. 2009, 13, 919–941. [Google Scholar] [CrossRef]
- Kennedy, J.; Eberhart, R. Particle swarm optimization. In Proceedings of the ICNN’95-International Conference on Neural Networks, Perth, Australia, 27 November–1 December 1995; IEEE: Piscataway, NJ, USA, 1995; Volume 4, pp. 1942–1948. [Google Scholar]
- Biswas, A.; Dasgupta, S.; Das, S.; Abraham, A. Synergy of PSO and bacterial foraging optimization—a comparative study on numerical benchmarks. In Innovations in Hybrid Intelligent Systems; Springer: Berlin/Heidelberg, Germany, 2007; pp. 255–263. [Google Scholar]
- Karaboga, D.; Basturk, B. A powerful and efficient algorithm for numerical function optimization: Artificial bee colony (ABC) algorithm. J. Glob. Optim. 2007, 39, 459–471. [Google Scholar] [CrossRef]
- Lalbakhsh, A.; Afzal, M.U.; Esselle, K.P.; Smith, S.L. All-metal wideband frequency-selective surface bandpass filter for TE and TM polarizations. IEEE Trans. Antennas Propag. 2022, 70, 2790–2800. [Google Scholar] [CrossRef]
- Li, Q.; Pang, Y.; Yan, M.; Wang, J.; Xu, Z.; Qu, S. Reducing reflection of bandpass frequency selective surface using checkerboard surface. J. Phys. D Appl. Phys. 2018, 51, 365103. [Google Scholar] [CrossRef]
- Zhang, B.; Jin, C.; Chen, J. Wideband and ultrathin absorber using frequency selective surfaces. In Proceedings of the 2019 IEEE MTT-S International Wireless Symposium (IWS), Guangzhou, China, 19–22 May 2019; IEEE: Piscataway, NJ, USA, 2019; pp. 1–3. [Google Scholar]
- Wei, J.; Deng, W.; He, Y.; Lei, Z.; Liu, Y.; Zhang, Y.; Li, C.; Jiang, J. A wideband transmission frequency selective surface rasorber with low insertion loss. In Proceedings of the 2019 Thirteenth International Congress on Artificial Materials for Novel Wave Phenomena (Metamaterials), Rome, Italy, 16–21 September 2019; IEEE: Piscataway, NJ, USA, 2019; pp. X-468–X-470. [Google Scholar]
- Ghosh, S.; Srivastava, K.V. A polarization-independent broadband multilayer switchable absorber using active frequency selective surface. IEEE Antennas Wirel. Propag. Lett. 2017, 16, 3147–3150. [Google Scholar] [CrossRef]
- Xie, X.; Fang, W.; Chen, P.; Poo, Y.; Wu, R. A broadband and wide-angle band-stop frequency selective surface (FSS) based on dual-layered fractal square loops. In Proceedings of the 2018 IEEE Asia-Pacific Conference on Antennas and Propagation (APCAP), Auckland, New Zealand, 5–8 August 2018; IEEE: Piscataway, NJ, USA, 2018; pp. 278–280. [Google Scholar]











| Parameters | IBFO | BFO | BSO | ABC |
|---|---|---|---|---|
| Dimensions of search space | 2 | 2 | 2 | 2 |
| Total population | 26 | 26 | 26 | 26 |
| Chemotactic steps | 50 | 50 | 50 | - |
| Limits the length of a swim | 4 | 4 | 4 | - |
| Reproduction steps | 4 | 4 | 4 | - |
| Elimination-dispersal events | 2 | 2 | 2 | - |
| eliminated/dispersed probability | 0.25 | 0.25 | 0.25 | - |
| run length C | - | 0.005 | 0.005 | - |
| Weight w | 0.9 | - | 0.9 | - |
| Learning rate | - | - | ||
| depth of the attractant | 0.05 | 0.05 | 0.05 | - |
| width of the attractant | 0.05 | 0.05 | 0.05 | - |
| height of the repellent effect | 0.05 | 0.05 | 0.05 | - |
| width of the repellent effect | 0.05 | 0.05 | 0.05 | - |
| Parameters | p | h | ||||||
|---|---|---|---|---|---|---|---|---|
| (mm) | (mm) | (mm) | (mm) | |||||
| lower limit | 3 | 0.15 | 0.001 | 13.5 | 0.15 | 0.001 | 14.5 | 1.5 |
| upper limit | 4.5 | 0.3 | 0.125 | 15 | 0.35 | 0.130 | 16 | 2.5 |
| Algorithm | Mean Solution | Best Solution | Worst Solution | Standard Deviation |
|---|---|---|---|---|
| BFO | ||||
| IBFO | ||||
| BSO | ||||
| ABC |
| Parameters | p | h | ||||||
|---|---|---|---|---|---|---|---|---|
| (mm) | (mm) | (mm) | (mm) | |||||
| BFO | 3.64 | 0.302 | 0.057 | 14.4 | 0.259 | 0.0606 | 15.2 | 2.02 |
| IBFO | 3.83 | 0.248 | 0.081 | 14.64 | 0.229 | 0.0771 | 15.0 | 2.20 |
| BSO | 3.70 | 0.27 | 0.0706 | 14.47 | 0.258 | 0.0610 | 15.10 | 2.07 |
| ABC | 3.59 | 0.29 | 0.0605 | 14.1 | 0.256 | 0.0741 | 15.2 | 1.96 |
| Ref. | Bandwidth (GHz) | Fractional Bandwidth | Incidence Angle Stability | Thickness (Unit: ) | FSS Structure |
|---|---|---|---|---|---|
| [39] | 8.76–11.96 | 30.9% | 0.23–0.32 | orthogonal dipole resonator | |
| [40] | 8.4–18 | 72.7% | - | 0.258–0.492 | checkerboard surface |
| [41] | 5.38–12.03 | 76.4% | 0.079–0.176 | folded metal strips | |
| [1] | 6.25–12 | 63% | - | 0.032–0.061 | coding FSS |
| [42] | 7.4–13.4 | 57.7% | - | 0.346–0.493 | choked structure |
| [43] | 3.6–11.8 | 0.159–0.524 | square loop and rotated cross | ||
| [44] | 8.8–17.92 | 0.118–0.240 | fractal square loop pattern | ||
| This paper | 3.41–9.18 | 91.7% | 0.025–0.067 | Minkowski fractal islands and Koch curve-like |
Disclaimer/Publisher’s Note: The statements, opinions and data contained in all publications are solely those of the individual author(s) and contributor(s) and not of MDPI and/or the editor(s). MDPI and/or the editor(s) disclaim responsibility for any injury to people or property resulting from any ideas, methods, instructions or products referred to in the content. |
© 2023 by the authors. Licensee MDPI, Basel, Switzerland. This article is an open access article distributed under the terms and conditions of the Creative Commons Attribution (CC BY) license (https://creativecommons.org/licenses/by/4.0/).
Share and Cite
Pan, Y.; Dong, J. Design and Optimization of an Ultrathin and Broadband Polarization-Insensitive Fractal FSS Using the Improved Bacteria Foraging Optimization Algorithm and Curve Fitting. Nanomaterials 2023, 13, 191. https://doi.org/10.3390/nano13010191
Pan Y, Dong J. Design and Optimization of an Ultrathin and Broadband Polarization-Insensitive Fractal FSS Using the Improved Bacteria Foraging Optimization Algorithm and Curve Fitting. Nanomaterials. 2023; 13(1):191. https://doi.org/10.3390/nano13010191
Chicago/Turabian StylePan, Yaxi, and Jian Dong. 2023. "Design and Optimization of an Ultrathin and Broadband Polarization-Insensitive Fractal FSS Using the Improved Bacteria Foraging Optimization Algorithm and Curve Fitting" Nanomaterials 13, no. 1: 191. https://doi.org/10.3390/nano13010191
APA StylePan, Y., & Dong, J. (2023). Design and Optimization of an Ultrathin and Broadband Polarization-Insensitive Fractal FSS Using the Improved Bacteria Foraging Optimization Algorithm and Curve Fitting. Nanomaterials, 13(1), 191. https://doi.org/10.3390/nano13010191

