Plasmonic Ag Nanoparticle-Loaded n-p Bi2O2CO3/α-Bi2O3 Heterojunction Microtubes with Enhanced Visible-Light-Driven Photocatalytic Activity
Abstract
:1. Introduction
2. Materials and Methods
2.1. Synthesis of Bi2O2CO3/α-Bi2O3 Heterostructure Microtubes
2.2. Synthesis of Ag NP-Loaded Bi2O2CO3/α-Bi2O3 Heterostructure Microtubes
2.3. Characterization
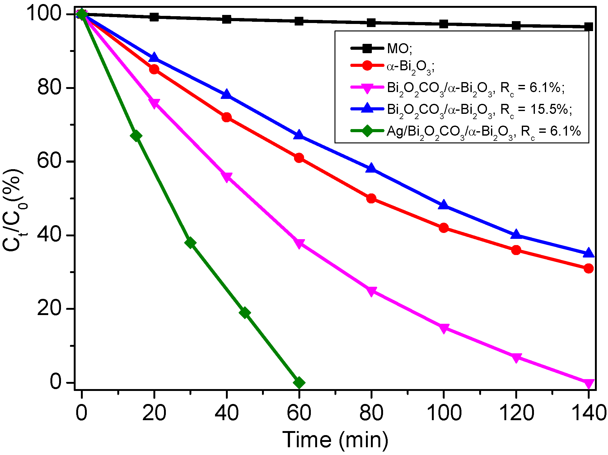
2.4. Photocatalytic Experiments
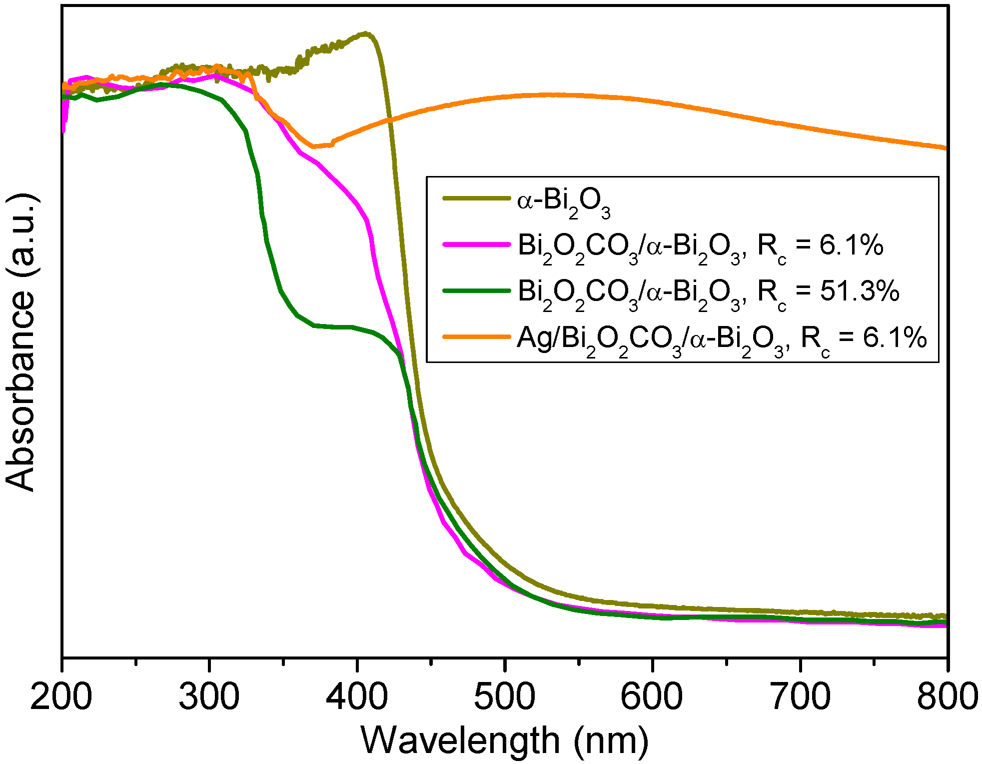
3. Results and Discussion
4. Conclusions
Author Contributions
Funding
Institutional Review Board Statement
Informed Consent Statement
Data Availability Statement
Acknowledgments
Conflicts of Interest
References
- Rather, R.A.; Mehta, A.; Lu, Y.; Valant, M.; Fang, M.; Liu, W. Influence of exposed facets, morphology and hetero-interfaces of BiVO4 on photocatalytic water oxidation: A review. Int. J. Hydrog. Energy 2021, 46, 21866–21888. [Google Scholar] [CrossRef]
- Zahid, A.H.; Han, Q. A review on the preparation, microstructure, and photocatalytic performance of Bi2O3 in polymorphs. Nanoscale 2021, 13, 17687–17724. [Google Scholar] [CrossRef]
- Zhu, Z.; Wan, S.; Zhao, Y.; Qin, Y.; Ge, X.; Zhong, Q.; Bu, Y. Recent progress in Bi2WO6-based photocatalysts for clean energy and environmental remediation: Competitiveness, challenges, and future perspectives. Nano Sel. 2021, 2, 187–215. [Google Scholar] [CrossRef]
- Yu, L.; Zhang, X.; Li, G.; Cao, Y.; Shao, Y.; Li, D. Highly efficient Bi2O2CO3/BiOCl photocatalyst based on heterojunction with enhanced dye-sensitization under visible light. Appl. Catal. B Environ. 2016, 187, 301–309. [Google Scholar] [CrossRef]
- Yin, G.; Jia, Y.; Lin, Y.; Zhang, C.C.; Zhu, Z.; Ma, Y. A review on the hierarchical Bi2MoO6 nanostructures for photocatalysis application. New J. Chem. 2021, 46, 906–918. [Google Scholar] [CrossRef]
- Kumar, R.; Raizada, P.; Khan, A.A.P.; Nguyen, V.H.; Van Le, Q.; Ghotekar, S.; Selvasembian, R.; Gandhi, V.; Singh, A.; Singh, P. Recent progress in emerging BiPO4-based photocatalysts: Synthesis, properties, modification strategies, and photocatalytic applications. J. Mater. Sci. Technol. 2022, 108, 208–225. [Google Scholar] [CrossRef]
- Theerthagiri, J.; Chandrasekaran, S.; Salla, S.; Elakkiya, V.; Senthil, R.A.; Nithyadharseni, P.; Maiyalagan, T.; Micheal, K.; Ayeshamariam, A.; Arasu, M.V.; et al. Recent developments of metal oxide based heterostructures for photocatalytic applications towards environmental remediation. J. Solid State Chem. 2018, 267, 35–52. [Google Scholar] [CrossRef]
- Zheng, Y.; Duan, F.; Chen, M.; Xie, Y. Synthetic Bi2O2CO3 nanostructures: Novel photocatalyst with controlled special surface exposed. J. Mol. Catal. A Chem. 2010, 317, 34–40. [Google Scholar] [CrossRef]
- Orooji, Y.; Tanhaei, B.; Ayati, A.; Tabrizi, S.H.; Alizadeh, M.; Bamoharram, F.F.; Karimi, F.; Salmanpour, S.; Rouhi, J.; Afshar, S.; et al. Heterogeneous UV-Switchable Au nanoparticles decorated tungstophosphoric acid/TiO2 for efficient photocatalytic degradation process. Chemosphere 2021, 281, 130795. [Google Scholar] [CrossRef]
- Li, L.; Zhang, Q.; Wang, X.; Zhang, J.; Gu, H.; Dai, W.L. Au Nanoparticles Embedded in Carbon Self-Doping g-C3N4: Facile Photodeposition Method for Superior Photocatalytic H2 Evolution. J. Phys. Chem. C 2021, 125, 10964–10973. [Google Scholar] [CrossRef]
- Zhang, X.; Yang, P. Pt nanoparticles embedded spine-like g-C3N4 nanostructures with superior photocatalytic activity for H2 generation and CO2 reduction. Nanotechnology 2021, 32, 175401. [Google Scholar] [CrossRef] [PubMed]
- Guo, Z.; Zhao, Y.; Shi, H.; Yuan, X.; Zhen, W.; He, L.; Che, H.; Xue, C.; Mu, J. MoSe2/g-C3N4 heterojunction coupled with Pt nanoparticles for enhanced photocatalytic hydrogen evolution. J. Phys. Chem. Solids 2021, 156, 110137. [Google Scholar] [CrossRef]
- Álvarez-Prada, I.; Peral, D.; Song, M.; Muñoz, J.; Romero, N.; Escriche, L.; Acharjya, A.; Thomas, A.; Schomäcker, R.; Schwarze, M.; et al. Ruthenium nanoparticles supported on carbon-based nanoallotropes as co-catalyst to enhance the photocatalytic hydrogen evolution activity of carbon nitride. Renew. Energy 2021, 168, 668–675. [Google Scholar] [CrossRef]
- Xu, W.; Li, X.; Peng, C.; Yang, G.; Cao, Y.; Wang, H.; Peng, F.; Yu, H. One-pot synthesis of Ru/Nb2O5@ Nb2C ternary photocatalysts for water splitting by harnessing hydrothermal redox reactions. Appl. Catal. B Environ. 2022, 303, 120910. [Google Scholar] [CrossRef]
- Ren, T.; Dang, Y.; Xiao, Y.; Hu, Q.; Deng, D.; Chen, J.; He, P. Depositing Ag nanoparticles on g-C3N4 by facile silver mirror reaction for enhanced photocatalytic hydrogen production. Inorg. Chem. Commun. 2021, 123, 108367. [Google Scholar] [CrossRef]
- Li, Y.; Wang, H.; Xie, J.; Hou, J.; Song, X.; Dionysiou, D.D. Bi2WO6-TiO2/starch composite films with Ag nanoparticle irradiated by γ-ray used for the visible light photocatalytic degradation of ethylene. Chem. Eng. J. 2021, 421, 129986. [Google Scholar] [CrossRef]
- Ma, C.; Yang, Z.; Wang, W.; Zhang, M.; Hao, X.; Zhu, S.; Chen, S. Fabrication of Ag-Cu2O/PANI nanocomposites for visible-light photocatalysis triggering super antibacterial activity. J. Mater. Chem. C 2020, 8, 2888–2898. [Google Scholar] [CrossRef]
- Liang, H.; Li, T.; Zhang, J.; Zhou, D.; Hu, C.; An, X.; Liu, R.; Liu, H. 3-D hierarchical Ag/ZnO@CF for synergistically removing phenol and Cr (VI): Heterogeneous vs. homogeneous photocatalysis. J. Colloid Interface Sci. 2020, 558, 85–94. [Google Scholar] [CrossRef]
- Jiao, Z.; Zhang, J.; Liu, Z.; Ma, Z. Ag/AgCl/Ag2MoO4 composites for visible-light-driven photocatalysis. J. Photochem. Photobiol. A Chem. 2019, 371, 67–75. [Google Scholar] [CrossRef]
- Kheirabadi, M.; Samadi, M.; Asadian, E.; Zhou, Y.; Dong, C.; Zhang, J.; Moshfegh, A.Z. Well-designed Ag/ZnO/3D graphene structure for dye removal: Adsorption, photocatalysis and physical separation capabilities. J. Colloid Interface Sci. 2019, 537, 66–78. [Google Scholar] [CrossRef]
- de Almeida, G.C.; Mohallem ND, S.; Viana, M.M. Ag/GO/TiO2 nanocomposites: The role of the interfacial charge transfer for application in photocatalysis. Nanotechnology 2021, 33, 035710. [Google Scholar] [CrossRef] [PubMed]
- Amiri, M.; Dashtian, K.; Ghaedi, M.; Mosleh, S.; Jannesar, R. Bi2WO6/Ag3PO4-Ag Z-scheme heterojunction as a new plasmonic visible-light-driven photocatalyst: Performance evaluation and mechanism study. New J. Chem. 2019, 43, 1275–1284. [Google Scholar] [CrossRef]
- Chen, Y.; Huang, W.; He, D.; Situ, Y.; Huang, H. Construction of heterostructured g-C3N4/Ag/TiO2 microspheres with enhanced photocatalysis performance under visible-light irradiation. ACS Appl. Mater. Interfaces 2014, 6, 14405–14414. [Google Scholar] [CrossRef] [PubMed]
- Wu, Z.; Zeng, D.; Liu, X.; Yu, C.; Yang, K.; Liu, M. Hierarchical δ-Bi2O3/Bi2O2CO3 composite microspheres: Phase transformation fabrication, characterization and high photocatalytic performance. Res. Chem. Intermed. 2018, 44, 5995–6010. [Google Scholar] [CrossRef]
- Guo, G.; Yan, H. Zn-doped Bi2O2CO3: Synthesis, characterization and photocatalytic properties. Chem. Phys. 2020, 538, 110920. [Google Scholar] [CrossRef]
- Taylor, P.; Sunder, S.; Lopata, V.J. Structure, spectra, and stability of solid bismuth carbonates. Can. J. Chem. 1984, 62, 2863–2873. [Google Scholar] [CrossRef]
- Yu, C.; Zhou, W.; Zhu, L.; Li, G.; Yang, K.; Jin, R. Integrating plasmonic Au nanorods with dendritic like α-Bi2O3/Bi2O2CO3 heterostructures for superior visible-light-driven photocatalysis. Appl. Catal. B Environ. 2016, 184, 1–11. [Google Scholar] [CrossRef] [Green Version]
- Ge, L.; Han, C.; Liu, J.; Li, Y. Enhanced visible light photocatalytic activity of novel polymeric g-C3N4 loaded with Ag nanoparticles. Appl. Catal. A Gen. 2011, 409, 215–222. [Google Scholar] [CrossRef]
- Liu, Y.; Ouyang, S.; Guo, W.; Zong, H.; Cui, X.; Jin, Z.; Yang, G. Ultrafast one-step synthesis of N and Ti3+ codoped TiO2 nanosheets via energetic material deflagration. Nano Res. 2018, 11, 4735–4743. [Google Scholar] [CrossRef]
- Ren, J.; Wang, W.; Sun, S.; Zhang, L.; Chang, J. Enhanced photocatalytic activity of Bi2WO6 loaded with Ag nanoparticles under visible light irradiation. Appl. Catal. B: Environ. 2009, 92, 50–55. [Google Scholar] [CrossRef]
- Guan, M.L.; Ma, D.K.; Hu, S.W.; Chen, Y.J.; Huang, S.M. From hollow olive-shaped BiVO4 to n-p core-shell BiVO4@Bi2O3 microspheres: Controlled synthesis and enhanced visible-light-responsive photocatalytic properties. Inorg. Chem. 2011, 50, 800–805. [Google Scholar] [CrossRef] [PubMed]
- Shi, J.; Li, J.; Huang, X.; Tan, Y. Synthesis and enhanced photocatalytic activity of regularly shaped Cu2O nanowire polyhedra. Nano Res. 2011, 4, 448–459. [Google Scholar] [CrossRef]
- Ong, S.A.; Min, O.M.; Ho, L.N.; Wong, Y.S. Comparative study on photocatalytic degradation of mono azo dye acid orange 7 and methyl orange under solar light irradiation. Water Air Soil Pollut. 2012, 223, 5483–5493. [Google Scholar] [CrossRef]
- Dong, G.; Ho, W.; Zhang, L. Photocatalytic NO removal on BiOI surface: The change from nonselective oxidation to selective oxidation. Appl. Catal. B Environ. 2015, 168, 490–496. [Google Scholar] [CrossRef]
- Tun, P.P.; Wang, J.; Khaing, T.T.; Wu, X.; Zhang, G. Fabrication of functionalized plasmonic Ag loaded Bi2O3/montmorillonite nanocomposites for efficient photocatalytic removal of antibiotics and organic dyes. J. Alloy. Compd. 2020, 818, 152836. [Google Scholar] [CrossRef]
- Majhi, D.; Mishra, A.K.; Das, K.; Bariki, R.; Mishra, B.G. Plasmonic Ag nanoparticle decorated Bi2O3/CuBi2O4 photocatalyst for expeditious degradation of 17α-ethinylestradiol and Cr(VI)reduction: Insight into electron transfer mechanism and enhanced photocatalytic activity. Chem. Eng. J. 2021, 413, 127506. [Google Scholar] [CrossRef]














Publisher’s Note: MDPI stays neutral with regard to jurisdictional claims in published maps and institutional affiliations. |
© 2022 by the authors. Licensee MDPI, Basel, Switzerland. This article is an open access article distributed under the terms and conditions of the Creative Commons Attribution (CC BY) license (https://creativecommons.org/licenses/by/4.0/).
Share and Cite
Li, H.; Luo, X.; Long, Z.; Huang, G.; Zhu, L. Plasmonic Ag Nanoparticle-Loaded n-p Bi2O2CO3/α-Bi2O3 Heterojunction Microtubes with Enhanced Visible-Light-Driven Photocatalytic Activity. Nanomaterials 2022, 12, 1608. https://doi.org/10.3390/nano12091608
Li H, Luo X, Long Z, Huang G, Zhu L. Plasmonic Ag Nanoparticle-Loaded n-p Bi2O2CO3/α-Bi2O3 Heterojunction Microtubes with Enhanced Visible-Light-Driven Photocatalytic Activity. Nanomaterials. 2022; 12(9):1608. https://doi.org/10.3390/nano12091608
Chicago/Turabian StyleLi, Haibin, Xiang Luo, Ziwen Long, Guoyou Huang, and Ligang Zhu. 2022. "Plasmonic Ag Nanoparticle-Loaded n-p Bi2O2CO3/α-Bi2O3 Heterojunction Microtubes with Enhanced Visible-Light-Driven Photocatalytic Activity" Nanomaterials 12, no. 9: 1608. https://doi.org/10.3390/nano12091608
APA StyleLi, H., Luo, X., Long, Z., Huang, G., & Zhu, L. (2022). Plasmonic Ag Nanoparticle-Loaded n-p Bi2O2CO3/α-Bi2O3 Heterojunction Microtubes with Enhanced Visible-Light-Driven Photocatalytic Activity. Nanomaterials, 12(9), 1608. https://doi.org/10.3390/nano12091608
