Anodic Stripping Voltammetric Analysis of Trace Arsenic(III) on a Au-Stained Au Nanoparticles/Pyridine/Carboxylated Multiwalled Carbon Nanotubes/Glassy Carbon Electrode
Abstract
:1. Introduction
2. Experimental Section
2.1. Instrumentation and Reagents
2.2. Preparation of Aus/Py/C-MWCNTs/GCE
2.3. Electroanalysis of Arsenic(III)
3. Results and Discussion
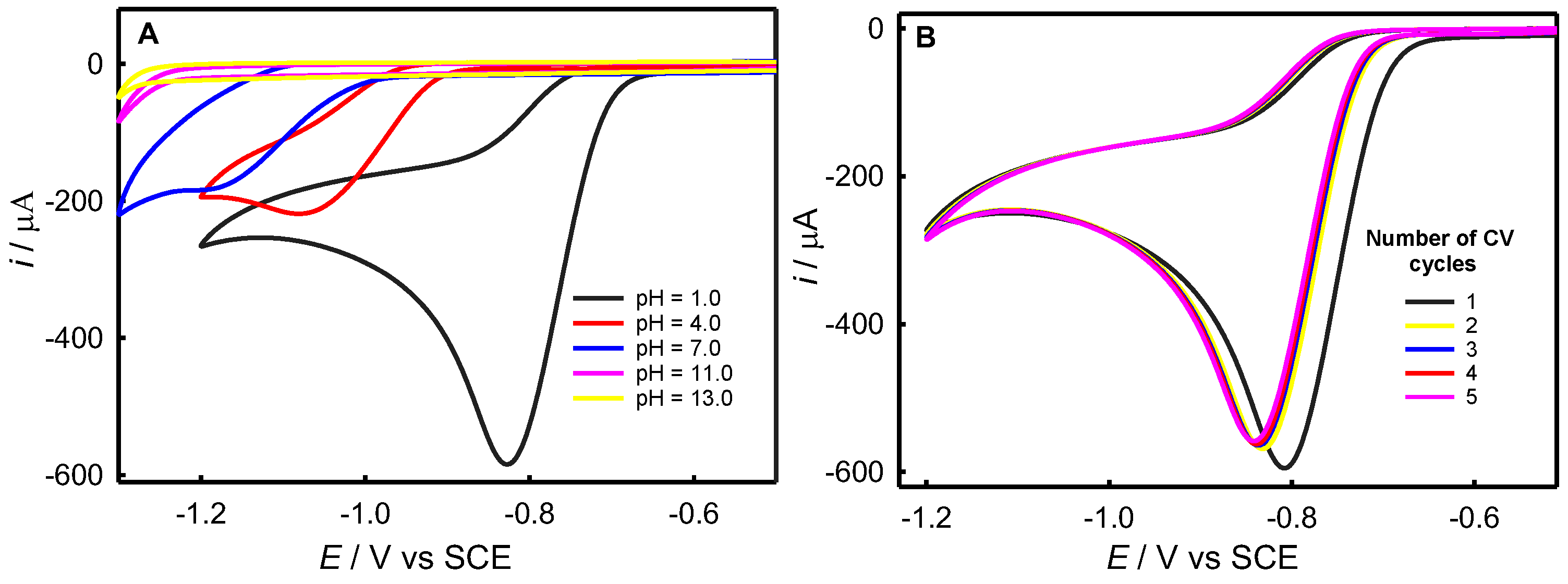
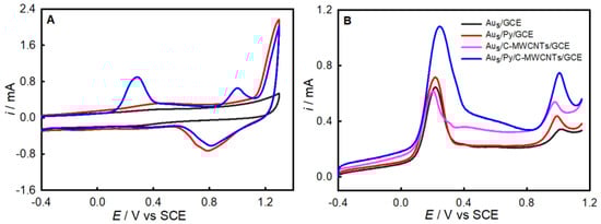
3.1. Preparation and Characterization of Aus/Py/C-MWCNTs/GCE
3.2. LSASV Analysis of As(III)
4. Conclusions
Supplementary Materials
Author Contributions
Funding
Conflicts of Interest
References
- Jarup, L. Hazards of heavy metal contamination. Br. Med. Bull. 2003, 68, 167–182. [Google Scholar] [CrossRef] [PubMed] [Green Version]
- Shen, S.; Li, X.-F.; Cullen, W.R.; Weinfeld, M.; Le, X.C. Arsenic Binding to Proteins. Chem. Rev. 2013, 113, 7769–7792. [Google Scholar] [CrossRef] [PubMed]
- Naujokas, M.F.; Anderson, B.; Ahsan, H.; Aposhian, H.V.; Graziano, J.H.; Thompson, C.; Suk, W.A. The Broad Scope of Health Effects from Chronic Arsenic Exposure: Update on a Worldwide Public Health Problem. Environ. Health Perspect. 2013, 121, 295–302. [Google Scholar] [CrossRef] [PubMed]
- Liu, S.X.; Athar, M.; Lippai, I.; Waldren, C.; Hei, T.K. Induction of oxyradicals by arsenic: Implication for mechanism of genotoxicity. Proc. Natl. Acad. Sci. USA 2001, 98, 1643–1648. [Google Scholar] [CrossRef] [PubMed]
- Harvey, C.F.; Swartz, C.H.; Badruzzaman, A.B.M.; Keon-Blute, N.; Yu, W.; Ali, M.A.; Jay, J.; Beckie, R.; Niedan, V.; Brabander, D.; et al. Arsenic mobility and groundwater extraction in Bangladesh. Science 2002, 298, 1602–1606. [Google Scholar] [CrossRef] [PubMed] [Green Version]
- Wang, Y.; Zhu, G.; Engel, B.; Wu, Y. Probabilistic human health risk assessment of arsenic under uncertainty in drinking water sources in Jiangsu Province, China. Environ. Geochem. Health 2020, 42, 2023–2037. [Google Scholar] [CrossRef]
- Zhang, X.-W.; Yan, X.-J.; Zhou, Z.-R.; Yang, F.-F.; Wu, Z.-Y.; Sun, H.-B.; Liang, W.-X.; Song, A.-X.; Lallemand-Breitenbach, V.; Jeanne, M.; et al. Arsenic Trioxide Controls the Fate of the PML-RAR alpha Oncoprotein by Directly Binding PML. Science 2010, 328, 240–243. [Google Scholar] [CrossRef] [PubMed]
- Leermakers, M.; Baeyens, W.; De Gieter, M.; Smedts, B.; Meert, C.; De Bisschop, H.C.; Morabito, R.; Quevauviller, P. Toxic arsenic compounds in environmental samples: Speciation and validation. Trac-Trends Anal. Chem. 2006, 25, 1–10. [Google Scholar] [CrossRef]
- Ezeh, V.C.; Harrop, T.C. A Sensitive and Selective Fluorescence Sensor for the Detection of Arsenic(III) in Organic Media. Inorg. Chem. 2012, 51, 1213–1215. [Google Scholar] [CrossRef] [PubMed]
- Lohar, S.; Sahana, A.; Banerjee, A.; Banik, A.; Mukhopadhyay, S.K.; Matalobos, J.S.; Das, D. Antipyrine Based Arsenate Selective Fluorescent Probe for Living Cell Imaging. Anal. Chem. 2013, 85, 1778–1783. [Google Scholar] [CrossRef] [PubMed]
- Kaur, H.; Kumar, R.; Babu, J.N.; Mittal, S. Advances in arsenic biosensor development—A comprehensive review. Biosens. Bioelectron. 2015, 63, 533–545. [Google Scholar] [CrossRef]
- Luong, J.H.T.; Lam, E.; Male, K.B. Recent advances in electrochemical detection of arsenic in drinking and ground waters. Anal. Methods 2014, 6, 6157–6169. [Google Scholar] [CrossRef]
- Liu, Z.G.; Huang, X.J. Voltammetric determination of inorganic arsenic. Trac-Trends Anal. Chem. 2014, 60, 25–35. [Google Scholar] [CrossRef]
- Mays, D.E.; Hussam, A. Voltammetric methods for determination and speciation of inorganic arsenic in the environment-A review. Anal. Chim. Acta 2009, 646, 6–16. [Google Scholar] [CrossRef] [PubMed]
- Shin, S.H.; Hong, H.G. Anodic Stripping Voltammetric Detection of Arsenic(III) at Platinum-Iron(III) Nanoparticle Modified Carbon Nanotube on Glassy Carbon Electrode. Bull. Korean Chem. Soc. 2010, 31, 3077–3083. [Google Scholar] [CrossRef] [Green Version]
- Lan, Y.C.; Luo, H.J.; Ren, X.H.; Wang, Y.P.; Liu, Y.Z. Anodic stripping voltammetric determination of arsenic(III) using a glassy carbon electrode modified with gold-palladium bimetallic nanoparticles. Microchim. Acta 2012, 178, 153–161. [Google Scholar] [CrossRef]
- Xu, H.; Zeng, L.; Xing, S.; Xian, Y.; Jin, L. Microwave-irradiated synthesized platinum nanoparticles/carbon nanotubes for oxidative determination of trace arsenic(III). Electrochem. Commun. 2008, 10, 551–554. [Google Scholar] [CrossRef]
- Hrapovic, S.; Liu, Y.; Luong, J.H.T. Reusable platinum nanoparticle modified boron doped diamond microelectrodes for oxidative determination of arsenite. Anal. Chem. 2007, 79, 500–507. [Google Scholar] [CrossRef]
- Dai, X.; Compton, R.G. Detection of As(III) via oxidation to As(V) using platinum nanoparticle modified glassy carbon electrodes: Arsenic detection without interference from copper. Analyst 2006, 131, 516–521. [Google Scholar] [CrossRef]
- Xu, H.; Zeng, L.; Xing, S.; Shi, G.; Chen, J.; Man, Y.; Jin, L. Highly ordered platinum-nanotube arrays for oxidative determination of trace arsenic(III). Electrochem. Commun. 2008, 10, 1893–1896. [Google Scholar] [CrossRef]
- Pu, S.; Sun, H.F.; Hou, X.D.; Xu, K.L. A colorimetric assay for the determination of trace arsenic based on in-situ formation of AuNPs with synergistic effect of arsine and iodide. Anal. Chim. Acta 2021, 1144, 61–67. [Google Scholar] [CrossRef] [PubMed]
- Dai, X.; Nekrassova, O.; Hyde, M.E.; Compton, R.G. Anodic stripping voltammetry of arsenic(III) using gold nanoparticle-modified electrodes. Anal. Chem. 2004, 76, 5924–5929. [Google Scholar] [CrossRef] [PubMed]
- Yang, M.; Chen, X.; Jiang, T.-J.; Guo, Z.; Liu, J.-H.; Huang, X.-J. Electrochemical Detection of Trace Arsenic(III) by Nanocomposite of Nanorod-like α-MnO2 Decorated with ~5 nm Au Nanoparticles: Considering the Change of Arsenic Speciation. Anal. Chem. 2016, 88, 9720–9728. [Google Scholar] [CrossRef] [PubMed]
- Jena, B.K.; Raj, C.R. Gold nanoelectrode ensembles for the simultaneous electrochemical detection of ultratrace arsenic, mercury, and copper. Anal. Chem. 2008, 80, 4836–4844. [Google Scholar] [CrossRef]
- Hu, H.B.; Lu, W.J.; Liu, X.N.; Meng, F.C.; Zhu, J.X. A High-Response Electrochemical As(III) Sensor Using Fe3O4-rGO Nanocomposite Materials. Chemosensors 2021, 9, 150. [Google Scholar] [CrossRef]
- Bu, L.J.; Xie, Q.J.; Ming, H. Gold nanoparticles decorated three-dimensional porous graphitic carbon nitrides for sensitive anodic stripping voltammetric analysis of trace arsenic(III). J. Alloy. Compd. 2020, 823, 153723. [Google Scholar] [CrossRef]
- Farha, F.; Iwamoto, R.T. The Preparation and Infrared Examination of the 2-, 3-, and 4-Cyanopyridine Complexes of Copper(I), Silver(I), and Gold (I) Perchlorates. Inorg. Chem. 1965, 4, 844–848. [Google Scholar] [CrossRef]
- Yaghi, O.M.; Society, H.L.J.J.o.t.A.C. T-Shaped Molecular Building Units in the Porous Structure of Ag(4,4'-bpy)-NO_3. J. Am. Chem. Soc. 1996, 118, 295–296. [Google Scholar] [CrossRef]
- Huang, C.; Zhu, M.; Kang, L.; Dai, B. A novel high-stability Au(III)/Schiff-based catalyst for acetylene hydrochlorination reaction. Catal. Commun. 2014, 54, 61–65. [Google Scholar] [CrossRef]
- Furukawa, H.; Takahashi, M.; Ito, M. A surface-enhanced Raman study of the electrochemical reduction of 4-cyanopyridine. Chem. Phys. Lett. 1986, 132, 498–501. [Google Scholar] [CrossRef]
- Shi, C.; Zhang, W.; Birke, R.L.; Lombardi, J.R. SERS investigation of the adsorption and electroreduction of 4-cyanopyridine on a silver electrode. J. Electroanal. Chem. 1997, 423, 67–81. [Google Scholar] [CrossRef]
- Ji, X.; Song, X.; Li, J.; Bai, Y.; Yang, W.; Peng, X. Size control of gold nanocrystals in citrate reduction: The third role of citrate. J. Am. Chem. Soc. 2007, 129, 13939–13948. [Google Scholar] [CrossRef] [PubMed]
- Cole, E.B.; Lakkaraju, P.S.; Rampulla, D.M.; Morris, A.J.; Abelev, E.; Bocarsly, A.B. Using a One-Electron Shuttle for the Multielectron Reduction of CO2 to Methanol: Kinetic, Mechanistic, and Structural Insights. J. Am. Chem. Soc. 2010, 132, 11539–11551. [Google Scholar] [CrossRef]
- Yan, Y.; Zeitler, E.L.; Gu, J.; Hu, Y.; Bocarsly, A.B. Electrochemistry of Aqueous Pyridinium: Exploration of a Key Aspect of Electrocatalytic Reduction of CO2 to Methanol. J. Am. Chem. Soc. 2013, 135, 14020–14023. [Google Scholar] [CrossRef]
- Xiao, H.; Wang, W.; Pi, S.; Cheng, Y.; Xie, Q. Anodic stripping voltammetry analysis of mercury(II) on a pyridine-Au/pyridine/glassy carbon electrode. Sens. Actuators B-Chem. 2020, 317, 128202. [Google Scholar] [CrossRef]
- Walton, R.A. The X-ray photoelectron spectra of metal complexes of sulfur-containing ligands: Sulfur 2p binding energies. Coord. Chem. Rev. 1980, 31, 183–220. [Google Scholar] [CrossRef]
- Morelli, G.; Polzonetti, G.; Sessa, V. Effects of electron density shift in five-coordinated Pt(II) complexes with olefins: An XPS study. Polyhedron 1985, 4, 1185–1189. [Google Scholar] [CrossRef]
- Trasatti, S.; Petrii, O.A. Real surface area measurements in electrochemistry. Pure Appl. Chem. 1991, 63, 711–734. [Google Scholar] [CrossRef]
- Bu, L.; Gu, T.; Ma, Y.; Chen, C.; Tan, Y.; Xie, Q.; Yao, S. Enhanced Cathodic Preconcentration of As(0) at Au and Pt Electrodes for Anodic Stripping Voltammetry Analysis of As(III) and As(V). J. Phys. Chem. C 2015, 119, 11400–11409. [Google Scholar] [CrossRef]
- Dai, X.A.; Compton, R.G. Direct electrodeposition of gold nanoparticles onto indium tin oxide film coated glass: Application to the detection of arsenic(III). Anal. Sci. 2006, 22, 567–570. [Google Scholar] [CrossRef] [Green Version]
- Hossain, M.M.; Islam, M.M.; Ferdousi, S.; Okajima, T.; Ohsaka, T. Anodic Stripping Voltammetric Detection of Arsenic(III) at Gold Nanoparticle-Modified Glassy Carbon Electrodes Prepared by Electrodeposition in the Presence of Various Additives. Electroanalysis 2008, 20, 2435–2441. [Google Scholar] [CrossRef]
- Liu, Y.; Huang, Z.; Xie, Q.; Sun, L.; Gu, T.; Li, Z.; Bu, L.; Yao, S.; Tu, X.; Luo, X.; et al. Electrodeposition of electroreduced graphene oxide-Au nanoparticles composite film at glassy carbon electrode for anodic stripping voltammetric analysis of trace arsenic(III). Sens. Actuators B-Chem. 2013, 188, 894–901. [Google Scholar] [CrossRef]
- Wang, D.; Zhao, Y.; Jin, H.; Zhuang, J.; Zhang, W.; Wang, S.; Wang, J. Synthesis of Au-Decorated Tripod-Shaped Te Hybrids for Applications in the Ultrasensitive Detection of Arsenic. ACS Appl. Mater. Interfaces 2013, 5, 5733–5740. [Google Scholar] [CrossRef]
- Huang, J.F.; Chen, H.H. Gold-nanoparticle-embedded nafion composite modified on glassy carbon electrode for highly selective detection of arsenic(III). Talanta 2013, 116, 852–859. [Google Scholar] [CrossRef] [PubMed]
- Bu, L.J.; Liu, J.; Xie, Q.J.; Yao, S.Z. Anodic stripping voltammetric analysis of trace arsenic(III) enhanced by mild hydrogen-evolution at a bimetallic Au-Pt nanoparticle modified glassy carbon electrode. Electrochem. Commun. 2015, 59, 28–31. [Google Scholar] [CrossRef]
- Chao, L.; Xiong, X.J.; Liu, J.; Xu, A.G.; Huang, T.; He, F.; Xie, Q.J. Preparation of a porous Au electrode with a sacrificed Prussian blue analogue template for anodic stripping voltammetric analysis of trace arsenic(III). Sens. Actuators B-Chem. 2017, 253, 603–611. [Google Scholar] [CrossRef]







| Electrode | Technique Used | Oxidation Peak | Sensitivity (μA μM−1) | LOD (ppb) | Ref. |
|---|---|---|---|---|---|
| AuNPs/ITO | LSV | As(0)→As(III) | 58.8 | 5 | [40] |
| Nano-Au/GCE | LSV | As(0)→As(III) | 2.5 | 1.8 | [41] |
| Au-CNTs/GCE | LSV | As(0)→As(III) | 32.5 | 0.6 | [25] |
| AuNPs-ERGO/GCE | LSV | As(0)→As(III) | 12.2 | 0.2 | [42] |
| Au/Te hybrid/GCE | SWV | As(0)→As(III) | 516.2 | 0.003 | [43] |
| AuNPs/α-MnO2/GCE | SWV | As(0)→As(III) | 62.1 | 0.019 | [23] |
| NF(Aunano)/GCE | SWV | As(0)→As(III) | 23.4 | 0.047 | [44] |
| Au-PtNPs/GCE | LSV | As(0)→As(III) As(III)→As(V) | 940 517 | 0.28 0.45 | [45] |
| Autemp/GCE | LSV | As(0)→As(III) As(III)→As(V) | 1130 880 | 0.495 0.654 | [46] |
| Aus/Py/C-MWCNTs/GCE | LSV | As(0)→As(III) As(III)→As(V) | 787 280 | 0.25 1.20 | This work |
| Determined (μM) | Added (μM) | Found (μM) | Recovery (%) | RSD (%) | |
|---|---|---|---|---|---|
| Tap water a | - | 0.100 | 0.097 | 97 | 2.9 |
| Spring water a | - | 0.100 | 0.103 | 103 | 3.7 |
| River water a | 0.010 | 0.100 | 0.102 | 102 | 3.5 |
| Tap water b | - | 0.100 | 0.104 | 104 | 2.8 |
| Spring water b | - | 0.100 | 0.098 | 98 | 3.4 |
| River water b | 0.010 | 0.100 | 0.096 | 96 | 4.1 |
Publisher’s Note: MDPI stays neutral with regard to jurisdictional claims in published maps and institutional affiliations. |
© 2022 by the authors. Licensee MDPI, Basel, Switzerland. This article is an open access article distributed under the terms and conditions of the Creative Commons Attribution (CC BY) license (https://creativecommons.org/licenses/by/4.0/).
Share and Cite
Du, Y.; Sun, C.; Shen, Y.; Liu, L.; Chen, M.; Xie, Q.; Xiao, H. Anodic Stripping Voltammetric Analysis of Trace Arsenic(III) on a Au-Stained Au Nanoparticles/Pyridine/Carboxylated Multiwalled Carbon Nanotubes/Glassy Carbon Electrode. Nanomaterials 2022, 12, 1450. https://doi.org/10.3390/nano12091450
Du Y, Sun C, Shen Y, Liu L, Chen M, Xie Q, Xiao H. Anodic Stripping Voltammetric Analysis of Trace Arsenic(III) on a Au-Stained Au Nanoparticles/Pyridine/Carboxylated Multiwalled Carbon Nanotubes/Glassy Carbon Electrode. Nanomaterials. 2022; 12(9):1450. https://doi.org/10.3390/nano12091450
Chicago/Turabian StyleDu, Yun, Chenglong Sun, Yuru Shen, Luyao Liu, Mingjian Chen, Qingji Xie, and Hongbo Xiao. 2022. "Anodic Stripping Voltammetric Analysis of Trace Arsenic(III) on a Au-Stained Au Nanoparticles/Pyridine/Carboxylated Multiwalled Carbon Nanotubes/Glassy Carbon Electrode" Nanomaterials 12, no. 9: 1450. https://doi.org/10.3390/nano12091450
APA StyleDu, Y., Sun, C., Shen, Y., Liu, L., Chen, M., Xie, Q., & Xiao, H. (2022). Anodic Stripping Voltammetric Analysis of Trace Arsenic(III) on a Au-Stained Au Nanoparticles/Pyridine/Carboxylated Multiwalled Carbon Nanotubes/Glassy Carbon Electrode. Nanomaterials, 12(9), 1450. https://doi.org/10.3390/nano12091450

