Preparation and Characterization of TCPP-CaMMT Nanocompound and Its Composite with Polypropylene
Abstract
:1. Introduction
2. Materials and Methods
2.1. Materials
2.2. TCPP/CaMMT and TCPP/NaMMT Models
2.3. Preparation of TCPP-MMT Nanocompound
2.4. Preparation of PP Composites
2.5. Measurements of PP Composites
2.5.1. XRD Characterization
2.5.2. SEM Characterization
2.5.3. TEM Characterization
2.5.4. TGA Characterization
2.5.5. LOI Analysis
2.5.6. The Mechanical Properties Test
3. Results and Discussions
3.1. Intercalation Behavior in TCPP-MMT
3.2. Gelation of TCPP-CaMMT Nanocompound
3.3. XRD Patterns of TCPP-CaMMT Nanocompounds
3.4. SEM Images of TCPP-CaMMT Nanocompounds
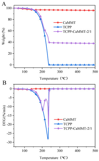
3.5. Thermal Stability of TCPP-CaMMT Nanocompounds
3.6. XRD Patterns of PP Composites
3.7. Microstructures of PP Composites
3.8. LOI Test and Tensile Test of PP Composites
4. Conclusions
Author Contributions
Funding
Institutional Review Board Statement
Informed Consent Statement
Data Availability Statement
Conflicts of Interest
References
- Azeez, A.A.; Rhee, K.Y.; Park, S.J.; Hui, D. Epoxy clay nanocomposites—processing, properties and applications: A review. Compos. Part B Eng. 2013, 45, 308–320. [Google Scholar] [CrossRef]
- Kiliaris, P.; Papaspyrides, C.D. Polymer/layered silicate (clay) nanocomposites: An overview of flame retardancy. Prog. Polym. Sci. 2010, 35, 902–958. [Google Scholar] [CrossRef]
- Gul, S.; Kausar, A.; Muhammad, B.; Jabeen, S. Technical Relevance of Epoxy/Clay Nanocomposite with Organically Modified Montmorillonite: A Review. Polym.-Plast. Technol. Eng. 2016, 55, 1393–1415. [Google Scholar] [CrossRef]
- Hu, X.; Meixian, L.; Yang, J.; Liu, F.; Huang, H.; Pan, H.; Yang, H. In situ fabrication of melamine hydroxy ethylidene diphosphonate wrapped montmorillonite for reducing the fire hazards of epoxy resin. Appl. Clay Sci. 2020, 201, 105934. [Google Scholar] [CrossRef]
- Baney, R.H.; Itoh, M.; Sakakibara, A.; Suzuki, T. Silsesquioxanes. Chem. Rev. 1995, 94, 1409–1430. [Google Scholar] [CrossRef]
- Bourbigot, S.; Samyn, F.; Turf, T.; Duquesne, S. Nanomorphology and reaction to fire of polyurethane and polyamide nanocomposites containing flame retardants. Polym. Degrad. Stab. 2010, 95, 320–326. [Google Scholar] [CrossRef]
- Jang, B.; Costache, M.; Wilkie, C. The relationship between thermal degradation behavior of polymer and the fire retardancy of polymer/clay nanocomposites. Polymer 2005, 46, 10678. [Google Scholar] [CrossRef]
- Samyn, F.; Bourbigot, S.; Jama, C.; Bellayer, S.; Nazare, S.; Hull, R.; Fina, A.; Castrovinci, A.; Camino, G. Characterisation of the dispersion in polymer flame retarded nanocomposites. Eur. Polym. J. 2008, 44, 1631–1641. [Google Scholar] [CrossRef] [Green Version]
- Tang, Y.; Hu, Y.; Song, L.; Zong, R.; Gui, Z.; Fan, W. Preparation and combustion properties of flame retarded polypropylene–polyamide-6 alloys. Polym. Degrad. Stab. 2006, 91, 234–241. [Google Scholar] [CrossRef]
- Zabihi, O.; Ahmadi, M.; Nikafshar, S.; Preyeswary, K.; Naebe, M. A technical review on epoxy-clay nanocomposites: Structure, properties, and their applications in fiber reinforced composites. Compos. Part B Eng. 2017, 135, 1–24. [Google Scholar] [CrossRef]
- Zhu, J.; Morgan, A.B.; Lamelas, F.J.; Wilkie, C.A. Fire Properties of Polystyrene-Clay Nanocomposites. Chem. Mater. 2001, 13, 3774–3780. [Google Scholar] [CrossRef]
- Zhang, G.; Wang, J. Preparation of novel flame-retardant organoclay and its application to natural rubber composites. J. Phys. Chem. Solids 2018, 115, 137–147. [Google Scholar] [CrossRef]
- Guo, Y.X.; Liu, J.H.; Gates, W.P.; Zhou, C.H. Organo-Modification of Montmorillonite. Clays Clay Miner. 2020, 68, 601–622. [Google Scholar] [CrossRef]
- Malik, N.; Kumar, P.; Ghosh, S.B.; Shrivastava, S. Organically Modified Nanoclay and Aluminum Hydroxide Incorporated Bionanocomposites towards Enhancement of Physico-mechanical and Thermal Properties of Lignocellulosic Structural Reinforcement. J. Polym. Environ. 2018, 26, 3243–3249. [Google Scholar] [CrossRef]
- Oiwa, M.; Yamaguchi, K.; Shibayama, T.; Chiou, T.Y.; Saitoh, T. Sorption of Antibiotics, Pharmaceuticals, and Personal Care Products in Water on Didodecyldimethylammonium Bromide-Montmorillonite Organoclay. J. Chem. Eng. Jpn. 2020, 53, 608–615. [Google Scholar] [CrossRef]
- Silva, I.A.; Sousa, F.K.A.; Menezes, R.R.; Neves, G.A.; Santana, L.N.L.; Ferreira, H.C. Modification of bentonites with nonionic surfactants for use in organic-based drilling fluids. Appl. Clay Sci. 2014, 95, 371–377. [Google Scholar] [CrossRef]
- Sun, J.; Zhuang, G.; Wu, S.; Zhang, Z. Structure and performance of anionic–cationic-organo-montmorillonite in different organic solvents. RSC Adv. 2016, 6, 54747–54753. [Google Scholar] [CrossRef]
- Yin, Q.; Zhang, Z.; Wu, S.; Tan, J.; Meng, K. Preparation and characterization of novel cationic–nonionic organo-montmorillonite. Mater. Express 2015, 5, 180–190. [Google Scholar] [CrossRef]
- Zhang, Z.; Liao, L.; Xia, Z. Ultrasound-assisted preparation and characterization of anionic surfactant modified montmorillonites. Appl. Clay Sci. 2010, 50, 576–581. [Google Scholar] [CrossRef]
- Zhou, D.; Zhang, Z.; Tang, J.; Wang, F.; Liao, L. Applied properties of oil-based drilling fluids with montmorillonites modified by cationic and anionic surfactants. Appl. Clay Sci. 2016, 121–122, 1–8. [Google Scholar] [CrossRef]
- Zhou, D.; Zhang, Z.; Tang, J.; Zhang, M.; Liao, L. Effects of variables on the dispersion of cationic–anionic organomontmorillonites and characteristics of Pickering emulsion. RSC Adv. 2016, 6, 9678–9685. [Google Scholar] [CrossRef]
- Zhuang, G.; Zhang, Z.; Fu, M.; Ye, X.; Liao, L. Comparative study on the use of cationic–nonionic-organo-montmorillonite in oil-based drilling fluids. Appl. Clay Sci. 2015, 116–117, 257–262. [Google Scholar] [CrossRef]
- Zhuang, G.; Zhang, Z.; Guo, J.; Liao, L.; Zhao, J. A new ball milling method to produce organo-montmorillonite from anionic and nonionic surfactants. Appl. Clay Sci. 2015, 104, 18–26. [Google Scholar] [CrossRef]
- Zhuang, G.; Zhang, Z.; Wu, H.; Zhang, H.; Zhang, X.; Liao, L. Influence of the nonionic surfactants’ nature on the structures and properties of organo-montmorillonites. Colloids Surf. A Physicochem. Eng. Asp. 2017, 518, 116–123. [Google Scholar] [CrossRef]
- Lin, C.H.; Chen, C.F.; Hwang, T.Y. Preparation, thermal properties, morphology, and microstructure of phosphorus-containing epoxy/SiO2 and polyimide/SiO2 nanocomposites. Eur. Polym. J. 2007, 43, 725–742. [Google Scholar] [CrossRef]
- Peng, C.; Wu, Z.; Li, J.; Wang, Z.; Wang, H.; Zhao, M. Synthesis, thermal and mechanical behavior of a silicon/phosphorus containing epoxy resin. J. Appl. Polym. Sci. 2015, 132, 42788. [Google Scholar] [CrossRef]
- Weil, E.; Levchik, S. Commercial Flame Retardancy of Unsaturated Polyester and Vinyl Resins: Review. J. Fire Sci. 2004, 22, 293–303. [Google Scholar] [CrossRef]
- Yi, D.; Yang, R. Ammonium polyphosphate/montmorillonite nanocompounds in polypropylene. J. Appl. Polym. Sci. 2010, 118, 834–840. [Google Scholar] [CrossRef]
- He, X.; Zhang, W.; Yang, R. The characterization of DOPO/MMT nanocompound and its effect on flame retardancy of epoxy resin. Compos. Part A Appl. Sci. Manuf. 2017, 98, 124–135. [Google Scholar] [CrossRef]
- Qin, J.; Zhang, W.; Yang, R. Synthesis of novel phosphonium bromide-montmorillonite nanocompound and its performance in flame retardancy and dielectric properties of epoxy resins. Polym. Compos. 2021, 42, 362–374. [Google Scholar] [CrossRef]
- Qin, J.Y.; Zhang, W.C.; Yang, R.J. Intercalation process in the preparation of 9,10-dihydro-9-oxa-10-phosphaphenanthrene-10-oxide-montmorillonite nanocompounds and their application in epoxy resins. Mater. Des. 2019, 178, 107834. [Google Scholar] [CrossRef]
- Geng, J.; Qin, J.; He, J. Preparation of Intercalated Organic Montmorillonite DOPO-MMT by Melting Method and Its Effect on Flame Retardancy to Epoxy Resin. Polymers 2021, 13, 3496. [Google Scholar] [CrossRef] [PubMed]
- Yang, Z.; Liu, W.; Zhang, H.; Jiang, X.; Min, F. DFT study of the adsorption of 3-Chloro-2-Hydroxypropyl Trimethylammonium Chloride on montmorillonite surfaces in solution. Appl. Surf. Sci. 2017, 436, 58–65. [Google Scholar] [CrossRef]
- Karataş, D.; Tekin, A.; Bahadori, F.; Çelik, M.S. Interaction of curcumin in a drug delivery system including a composite with poly(lactic-co-glycolic acid) and montmorillonite: A density functional theory and molecular dynamics study. J. Mater. Chem. B 2017, 5, 8070–8082. [Google Scholar] [CrossRef] [PubMed]
- Voora, V.K.; Al-Saidi, W.A.; Jordan, K.D. Density functional theory study of pyrophyllite and M-montmorillonites (M = Li, Na, K, Mg, and Ca): Role of dispersion interactions. J. Phys. Chem. A 2011, 115, 9695–9703. [Google Scholar] [CrossRef]
- Varadwaj, A.; Varadwaj, P.R.; Marques, H.M.; Yamashita, K. A DFT assessment of some physical properties of iodine-centered halogen bonding and other non-covalent interactions in some experimentally reported crystal geometries. Phys. Chem. Chem. Phys. 2018, 20, 15316–15329. [Google Scholar] [CrossRef]
- Anderson, L.N.; Aquino, F.W.; Raeber, A.E.; Chen, X.; Wong, B.M. Halogen bonding interactions: Revised benchmarks and a new assessment of exchange vs dispersion. J. Chem. Theory Comput. 2018, 14, 180–190. [Google Scholar] [CrossRef] [Green Version]












| Samples | PP | TCPP | CaMMT | TCPP-CaMMT-2/1 |
|---|---|---|---|---|
| Pure PP wt% | 100 | |||
| PP/TCPP wt% | 90 | 10 | ||
| PP/CaMMT wt% | 90 | 10 | ||
| PP/TCPP + CaMMT-2/1 wt% | 90 | 6.667 | 3.333 | |
| PP/TCPP-CaMMT-2/1 wt% | 90 | 10 |
| Interaction Force | TCPP/NaMMT | TCPP/CaMMT | ||
|---|---|---|---|---|
| kcal/mol | kcal/mol/(Å2) | kcal/mol | kcal/mol/(Å2) | |
| binding energy | 1788.99 | 4.71 | 1820.33 | 4.80 |
| non-bond interactions | 1788.99 | 4.71 | 1820.33 | 4.80 |
| van der Waals force | 4.11 | 0.01 | 17.17 | 0.05 |
| long-range force correction | 3.82 | 0.01 | 3.82 | 0.01 |
| electrostatic interaction | 1781.06 | 4.69 | 1799.34 | 4.74 |
| Samples | Compositions | Phase Separation | Separated TCPP Liquid/g |
|---|---|---|---|
| TCPP-CaMMT-2/1 | TCPP 2 g/CaMMT 1 g | NO | 0 |
| TCPP-CaMMT-3/1 | TCPP 3 g/CaMMT 1 g | YES | 0.27 |
| TCPP-CaMMT-4/1 | TCPP 4 g/CaMMT 1 g | YES | 1.19 |
| Samples | Temperature/°C | Residual Amount at 500 °C/% | ||
|---|---|---|---|---|
| Tonset | TMax1 | TMax2 | ||
| TCPP | 158.0 | 233.0 | - | 0.17 |
| TCPP-CaMMT-2/1 | 166.5 | 202.9 | 235.9 | 37.72 |
| Samples | Pure PP | PP/TCPP | PP/CaMMT | PP/TCPP + CaMMT-2/1 | PP/TCPP-CaMMT-2/1 |
|---|---|---|---|---|---|
| LOI (%) | 18.2 | 21.2 | 18.1 | 18.7 | 19.0 |
| Tensile strength(MPa) | 31.4 ± 0.4 | 24.9 ± 0.5 | 27.9 ± 0.4 | 25.4 ± 0.6 | 26.5 ± 0.5 |
| Elongation at break(%) | 7.9 ± 0.3 | 8.6 ± 0.5 | 8.9 ± 0.4 | 13.3 ± 0.5 | 18.2 ± 0.3 |
Publisher’s Note: MDPI stays neutral with regard to jurisdictional claims in published maps and institutional affiliations. |
© 2022 by the authors. Licensee MDPI, Basel, Switzerland. This article is an open access article distributed under the terms and conditions of the Creative Commons Attribution (CC BY) license (https://creativecommons.org/licenses/by/4.0/).
Share and Cite
Geng, J.; Lan, Y.; Liu, S.; He, J.; Yang, R.; Li, D. Preparation and Characterization of TCPP-CaMMT Nanocompound and Its Composite with Polypropylene. Nanomaterials 2022, 12, 1428. https://doi.org/10.3390/nano12091428
Geng J, Lan Y, Liu S, He J, Yang R, Li D. Preparation and Characterization of TCPP-CaMMT Nanocompound and Its Composite with Polypropylene. Nanomaterials. 2022; 12(9):1428. https://doi.org/10.3390/nano12091428
Chicago/Turabian StyleGeng, Junming, Yanhua Lan, Shanshan Liu, Jiyu He, Rongjie Yang, and Dinghua Li. 2022. "Preparation and Characterization of TCPP-CaMMT Nanocompound and Its Composite with Polypropylene" Nanomaterials 12, no. 9: 1428. https://doi.org/10.3390/nano12091428
APA StyleGeng, J., Lan, Y., Liu, S., He, J., Yang, R., & Li, D. (2022). Preparation and Characterization of TCPP-CaMMT Nanocompound and Its Composite with Polypropylene. Nanomaterials, 12(9), 1428. https://doi.org/10.3390/nano12091428

