Next Article in Journal
Synthesis of BiOI/Mordenite Composites for Photocatalytic Treatment of Organic Pollutants Present in Agro-Industrial Wastewater
Previous Article in Journal
Magnonic Metamaterials for Spin-Wave Control with Inhomogeneous Dzyaloshinskii–Moriya Interactions
 
 
Font Type:
Arial Georgia Verdana
Font Size:
Aa Aa Aa
Line Spacing:
Column Width:
Background:
Article

MoSe2-WS2 Nanostructure for an Efficient Hydrogen Generation under White Light LED Irradiation

by
Tatiparti Padma
1,†,
Dheeraj Kumar Gara
2,
Amara Nadha Reddy
2,
Surya Veerendra Prabhakar Vattikuti
3,† and
Christian M. Julien
4,*
1
Department of Electronics & Communications Engineering, Gokaraju Rangaraju Institute of Engineering and Technology, Kukatpally, Hyderabad 500090, Telangana, India
2
Malla Reddy College of Engineering and Technology, Doolapally, Hyderabad 500100, Telangana, India
3
School of Mechanical Engineering, Yeungnam University, Gyeongsan 38541, Korea
4
Institut de Minéralogie, de Physique des Matériaux et de Cosmochimie (IMPMC), Sorbonne Université, CNRS-UMR 7590, 4 Place Jussieu, 75252 Paris, France
*
Author to whom correspondence should be addressed.
These authors contributed equally to this work.
Nanomaterials 2022, 12(7), 1160; https://doi.org/10.3390/nano12071160
Submission received: 22 February 2022 / Revised: 23 March 2022 / Accepted: 30 March 2022 / Published: 31 March 2022

Abstract

:
In this work, MoSe2-WS2 nanocomposites consisting of WS2 nanoparticles covered with few MoSe2 nanosheets were successfully developed via an easy hydrothermal synthesis method. Their nanostructure and photocatalytic hydrogen evolution (PHE) performance are investigated by a series of characterization techniques. The PHE rate of MoSe2-WS2 is evaluated under the white light LED irradiation. Under LED illumination, the highest PHE of MoSe2-WS2 nanocomposite is 1600.2 µmol g−1 h−1. When compared with pristine WS2, the MoSe2-WS2 nanostructures demonstrated improved PHE rate, which is 10-fold higher than that of the pristine one. This work suggests that MoSe2-WS2 could be a promising photocatalyst candidate and might stimulate the further studies of other layered materials for energy conversion and storage.

1. Introduction

Presently, energy shortage and environmental pollution are the major problems [1,2,3]. Intuitively, the current photocatalytic hydrogen (H2) generation from water through semiconductor nanostructures is an ideal approach, and this technique is considered as a potential, economical way to overcome the issue of energy shortage [4,5,6,7]. Over the years, there has been substantial experimental data calibrated on transition-metal (TM) oxide-based photocatalysts for energy-storage applications [6,7,8] with minimal environmental pollution. Though these materials display excellent photocatalytic activity just beneath the UV illumination, they exhibit poor activity in visible light due to their wide bandgap. In order to stimulate photocatalytic activity in visible light, recent attempts on anion-doped TM oxides-, sulfides-, and selenides-based nanostructures have been reported [9,10]. However, these TMs are unstable, making them inert towards commercial applications. Henceforth, there is a challenge for the researchers to identify and develop potential, stable and economically novel photocatalysts for H2 evolution.
In lieu of this, the two-dimensional (2D) MoSe2 semiconductor is a compelling potential catalyst for next-generation hydrogen evolution due to its narrow bandgap (1.2 eV), specific surface area and more metallic nature, which prompts higher electrical conductivity that is more favorable to hydrogen evolution reactions. However, there are few reports on the preparation of MoSe2-based composites through diverse approaches, which display an enhanced photocatalytic activity (PCA) when compared with the bare MoSe2 [11]. In spite of this enhanced photocatalyst, there is provision to promote further the PCA in the water-splitting process by resolving the photo corrosion and faster charge recombination problems. In this context, an inclination towards the development of a nanostructure heterojunction, which can improve the visible light absorption, further altering the surface defects followed by reduction in the surface recombination. This may enhance the capability of water splitting both quantitatively and qualitatively. Recently, 2D-layered WS2 has enticed significant attention in the field of energy and photocatalysis applications because of its promising characteristics towards photocatalytic performance [11,12]. There is a decent work available in the scientific literature on WS2-based composites, which displayed significant enhancement in the PCA compared to pristine WS2 [12,13,14]. Various methods have been reported in the literature to process these composites [15,16]. However, in addition to this, the interest of an advanced study combining two transition-metal dichalcogenides (TMDs) such as MoSe2 and WS2 possessing alike hexagonal structure, enables to simulation of the heterojunction formation.
The MoX2/WX2 (X = S, Se) heterostructures, which exhibit a type-II band configuration, are considered to be efficient systems for the production of optoelectronic and photovoltaic devices, in which the free electrons and holes are spontaneously isolated [17]. The lattice constants of MoX2 and WX2 being very close to each other indicate that MoX2-WX2 heterostructures can have minimum structural defects. According to the theoretical calculations, the conduction band minimum (CBM) of the WS2 is only slightly lower than that of the MoSe2 [18]. In 2018, Jin et al. reviewed experimental and theoretical efforts to elucidate electron dynamics in TMDC heterostructures [19]. The dominant interlayer electron transport relaxation pathway in WS2/MoSe2 heterostructures proving the strong interlayer dipole−dipole interaction was identified by Kozawa et al. [20]. Photoluminescence excitation spectroscopy evidenced the fast interlayer energy transfer across the van der Waals interface of the MoSe2/WS2 heterostructures. Meng et al. investigated the ultrafast carrier transfer, which can efficiently separate electrons and holes in the intralayer excitons in a MoSe2/WS2 heterostructure [21]. Based on first-principles ab initio calculations, Amin et al. investigated the band structure of WS2/MoSe2 and showed the indirect electron transition semiconducting behavior [17]. The distinctive interactions between stacked layer are essential for solar cells because the confinement of electrons by MoSe2 and holes by WS2, leading to a spontaneous charge separation when excitons scatter to the WS2/MoSe2 junction [22]. Ceballos et al. evidenced highly efficient and anomalous charge transfer in the van der Waals MoSe2/WS2/MoS2 trilayer semiconductors [23]. Wu et al. fabricated a WS2/MoSe2 hybrid semiconductor catalyst (WS2 mass fraction of 20%) with a p-n heterojunction, which is composed of spherical WS2 particles (2 µm diameter) mixed with flower-like granularMoSe2 (50 nm in size). This product exhibits good photocatalytic performance with a photocurrent density of 35 μA cm−2 at −0.6 V vs. SCE [24].
Moreover, experimental and theoretical investigations have shown that the unsaturated X-edges of TMDs are favorable to hydrogen evolution electrocatalytic activity [25]. Band offsets and heterostructures of monolayer and few-layer TMDs were calculated using the vacuum level as reference, and a simple model was proposed to explain the observed chemical trends [26]. This concept has been applied to the MoS2/WS2 and MoS2/WSe2 heterostructures, which exhibited robust electrocatalytic properties [27]. Recently, Vikraman et al. have constructed a MoSe2/WS2 heterojunction model by a chemical/physical process and have intricately examined its hydrogen evolution reaction performances [28]. The MoSe2/WS2 heterostructure displayed excellent electrocatalytic hydrogen evolution behavior with a 75 mV overpotential to drive a 10 mA·cm−2 current density, a 60 mV·dec−1. Such a type of structure is developed as an active electrode for hydrogen evolution to replace the nonabundant Pt.
To the best of our knowledge, both photocatalytic hydrogen evolution (PHE) and electrocatalytic hydrogen evolution (EHE) performance of the van der Waals two-layer MoSe2-WS2 heterostructure has not been studied yet. Only a mixture of WS2 and MoSe2 particles was considered. The main goal of the present work was to synthesize a MoSe2-WS2 nanocomposite through hydrothermal process and further elucidate its photocatalytic and electrocatalytic properties for hydrogen evolution. As anticipated, the MoSe2-WS2 nanostructure displayed better PHE rate that of pristine WS2 sample. It is demonstrated that the PHE of MoSe2-WS2 is 10-fold higher than that of WS2.

2. Materials and Methods

The raw materials sodium tungstate dehydrates, polyethylene glycol, and thioacetamide were purchased from Sigma-Aldrich (St. Louis, MO, USA). Ammonium molybdate tetrahydrate was from Junsei Chemical Co. (Tokyo, Japan). Polyvinylpyrrolidone (PVP), Selenium powder and anhydrous oxalic acid were provided from Daejung (Daejeon, Korea) and used as received without further treatment.

2.1. Preparation of WS2

The synthesis procedure for WS2 followed that of Yuan et al. [29] with modification. Typically, 1.1 g of sodium tungstate dehydrate, 2.3 g of thioacetamide, and 5.5 mL of polyethylene glycol were dissolved in 25 mL of deionized water followed by stirring to obtain a homogeneous solution. Then, the pH of the solution was adjusted to 2 by adding the oxalic acid and transferred to sealed autoclave-reactor solution that was maintained at 210 °C for 48 h. After cooling, the precipitates were collected by centrifuge at 9000 rpm, washed with water and ethanol for several times, and dried in a vacuum oven for 100 °C for 48 h and then annealed at 600 °C for 1 h under Ar to obtain the final product.

2.2. Preparation of MoSe2-WS2

Typically, 0.025 mol of NH4Mo7O24∙4H2O and 0.12 g of PVP were dissolved in 12 mL of ammonium hydroxide solution under constant stirring. On the other hand, 0.05 mol of Se powder was dispersed in hydrazine hydrate under vigorous stirring for 30 min. Then, this solution was added dropwise to the above resultant solution at room temperature, which has a nominal Mo/Se molar ratio of 1:2. After that, 25 mg of WS2 was added into resultant solution stirred for about 1 h. The resulting homogenous solution was irradiated by hydrothermal reaction at 220 °C for 48 h. The as-obtained precipitate (MoSe2-WS2) was collected by centrifugation at 9000 rpm, washed with a mixture of deionized water and ethanol, and dried in a vacuum oven at 130 °C for 48 h. To make a comparison, pure MoSe2 was also synthesized from the similar procedure without WS2.

2.3. Instruments

X-ray diffraction (XRD) patterns were analyzed on Shimadzu 6100 X-ray diffractometer (Shimadzu Corp., Tokyo, Japan) equipped with a CuKα X-ray source (λ = 1.5406 Å). The morphology analysis was performed by transmission electron microscopy (TEM), high-resolution TEM (HRTEM) and high-angle annular dark field-scanning transmission electron microscopy (HAADF-STEM) using a FEI Tecnai G2 F20 (FEI Company, Hillsboro, OR, USA). Initially, the synthesized MoSe2-WS2 nanocomposites were dispersed in ethanol and sonicated for 10 min, then the dispersed MoSe2-WS2 was dropped on a TEM grid (200 mesh Cu grid) and dried at 90 °C overnight.
The X-ray photoelectron spectra (XPS) were recorded using a Thermo Scientific k-α surface analyzer (ThermoFisher Scientific, Alachua, FL, USA), equipped with a AlKα X-ray source (hν = 1486 eV). The ultraviolet–visible (UV-Vis) spectroscopy was carried out on a Cary 5000 (ThermoFisher Scientific, Alachua, FL, USA) in the 200–800 nm wavelength range using a transmittance and reflectance equipment. The infrared spectra were recorded in the spectral range of 400–4000 cm−1 using an Avatar 370 Fourier transform infrared spectrometer (FTIR, Thermo Nicolet, Alachua, FL, USA). The Brunauer-Emmett-Teller (BET) method was used to determine the specific surface area and pore size distribution measured by an ASAP 2420 surface area analyzer degassed for 1 h at 150 °C (Micromeritics, Norcross, GA, USA). High-resolution transmission electron microscope (HRTEM Titan G2 Chemi STEM Cs probe, FEI Company, Hillsboro, OR, USA) with EDS windowless (Super-X model) and physisorption analyzer (BET-Micromeritics, 3FLEX, Norcross, GA, USA) were used for both morphology and surface area studies.

2.4. Photocatalytic Hydrogen Tests

The photoreaction was conducted in a quartz top-irradiation reactor tightened with silicone rubber “Septa”. Then, 5 mg of photocatalysts and 5 mL of Na2S/Na2SO3 were dispersed into 45 mL of water by sonication for 40 min. The reactor was evacuated for 45 min and N2-bubbled for 30 min prior to irradiation. A light-emitting diode (LED, white light irradiation) was facilitated by 100 W lamp without an optical filter. The induced gases were measured using a gas chromatograph (YL-6500 with TCD detector) equipped with a 5-Å molecular sieve column under He carrier gas.

2.5. Electrochemical Measurements

Electrochemical characterizations were performed with a Bio-Logic (SP-200) workstation with a standard three-electrode cell using Ag/AgCl (3.5 mol L−1 KCl solution), a platinum coil and fluorine-doped tin oxide (FTO) glass as reference, counter and working electrodes, respectively. The working electrode was prepared as follows: 5 mg of catalysts and 80 µL of 5 wt.% Nafion solution were dispersed in 1 mL of a solution of deionized water and ethanol, i.e., 4:1 in volume ratio, and then stirred for 45 min. A total of 5 µL of the resultant solution was drop-casted on the FTO glass. The working electrode was dried at 75 °C for 1 h. Photocurrent measurements and electronchemical impedance spectroscopy analyses were carried out in 0.5 mol L−1 Na2SO4 solution with purging nitrogen gas.

3. Results and Discussion

3.1. XRD Analysis

The phase purity and crystal structure of the as-prepared nanostructures were analyzed through bulk X-ray diffraction. Figure 1 displays the XRD patterns of WS2, MoSe2 pristine materials and that of the MoSe2-WS2 nanocomposite in the 2θ range 10–80°. The diffraction peaks at 13.7°, 28.21°, 34.11°, 39.49°, and 58.89° corresponding to the (002), (004), (100), (103), and (008) crystal planes, respectively, match well with the hexagonal structure of WS2 (JCPDS Card # 08-0237) [29,30,31].
The as-synthesized MoSe2 similarly displays a hexagonal structure and XRD patterns are in good agreement with literature data (JCPDS Card # 29-0914) [32]. No other impurity peaks were detected. The peak positions of the as-prepared MoSe2-WS2 sample are identical to those of WS2 showing that layered MoSe2 does not substitute into the WS2 lattice. Although, an obvious decrease in the peak intensity is noticed, while no peaks related to MoSe2 are recognized due to its good dispersion and its low loading content.

3.2. Morphology and Elemental Analysis

HRTEM was employed to probe the morphology of the as-synthesized MoSe2-WS2 nanocomposite (Figure 2a–d). As depicted, the typical sheet-like structure of MoSe2 can be distinctly noticed. Some MoSe2 slabs with the characteristic layered structure are remarkable on the surface of WS2 particles (see Figure 2b–d). In addition, the HAADF-STEM elemental mapping images shown in Figure 2e–i clearly depict that W (yellow), Mo (purple), S (dark blue), and Se (light blue) are uniformly distributed on the surface of nanostructures. These findings indicate that the MoSe2-WS2 nanocomposite heterostructures were effectively prepared.

3.3. XPS Analysis

Figure 3 presents the XPS magnified scans of (a) W, (b) Mo, (c) S and (d) Se of the MoSe2-WS2 sample and confirms the existence of MoSe2 and WS2. Figure 3a depicts the W 4f peaks at binding energies of 32.1, 34.1, 36.2, and 28.3 eV corresponding to the W4+ 4f7/2, W4+ 4f5/2, W6+ 4f7/2, and W6+ 4f5/2 core level, respectively, which indicates the existence of W4+, W6+ species in the synthesized MoSe2-WS2 [31]. The higher binding energy of 36.2 eV signifies the existence of the +6 oxidation state of W element, with a very low peak intensity specifying that only a small portion of W4+ cations is oxidized when the sample is in contact with the air [32]. Figure 3b shows the Mo 3d contribution with peaks located at 228.0 and 232.6 eV, belonging to the Mo4+ 3d5/2 and Mo4+ 3d3/2 core level of MoSe2. The valence states of the Mo element corresponding to the double peaks at 231.2 and 235.1 eV are assigned to Mo6+ 3d5/2 and Mo6+ 3d3/2 core levels specifying the oxidized states of Mo due to air contact [16,17]. The S 2p peak can be deconvoluted into two peaks at 163.6 and 161.8 eV (Figure 3c) corresponding to the S 2p1/2 and S 2p3/2 core levels with doublet positioned at 166.98 and 160.97 eV, which can be attributed to the Se 3p1/2 and Se 3p1/2 core levels [33]. Finally, Figure 3d displays the binding energies of Se 3d5/2 at 54.3 eV and Se 3d3/2 at 55.2 eV, corresponding to the divalent (−2) state of Se. All these values match well with those reported in previous investigations and indicate the anticipated chemical states of Mo4+, W4+, Se2-, and S2 in the MoSe2-WS2 nanostructure [31].

3.4. FTIR Analysis

Figure 4 shows the FTIR spectra of WS2, MoSe2 and MoSe2-WS2 samples recorded in the range 400–4000 cm−1. In the FTIR spectrum of WS2, the bands pointed at 743, 1739 and 2943 cm−1 are attributed to the W-S bending and stretching vibrations, and hydroxyl groups related to O-H bonds, respectively [33,34]. In the MoSe2 spectrum, the bands located at 523, 1218, 1327, 1744 and 3013 cm−1 could be ascribed to the stretching vibration of Mo-Se and hydroxyl groups of MoSe2 [35]. For the MoSe2-WS2, the band intensities corresponding to the hydroxyl group decrease significantly, and the infrared band of the Se-W-S bonds shifts from 743 to 622 cm−1, which suggests the interface interaction between the MoSe2 and WS2.

3.5. Surface Area Analysis

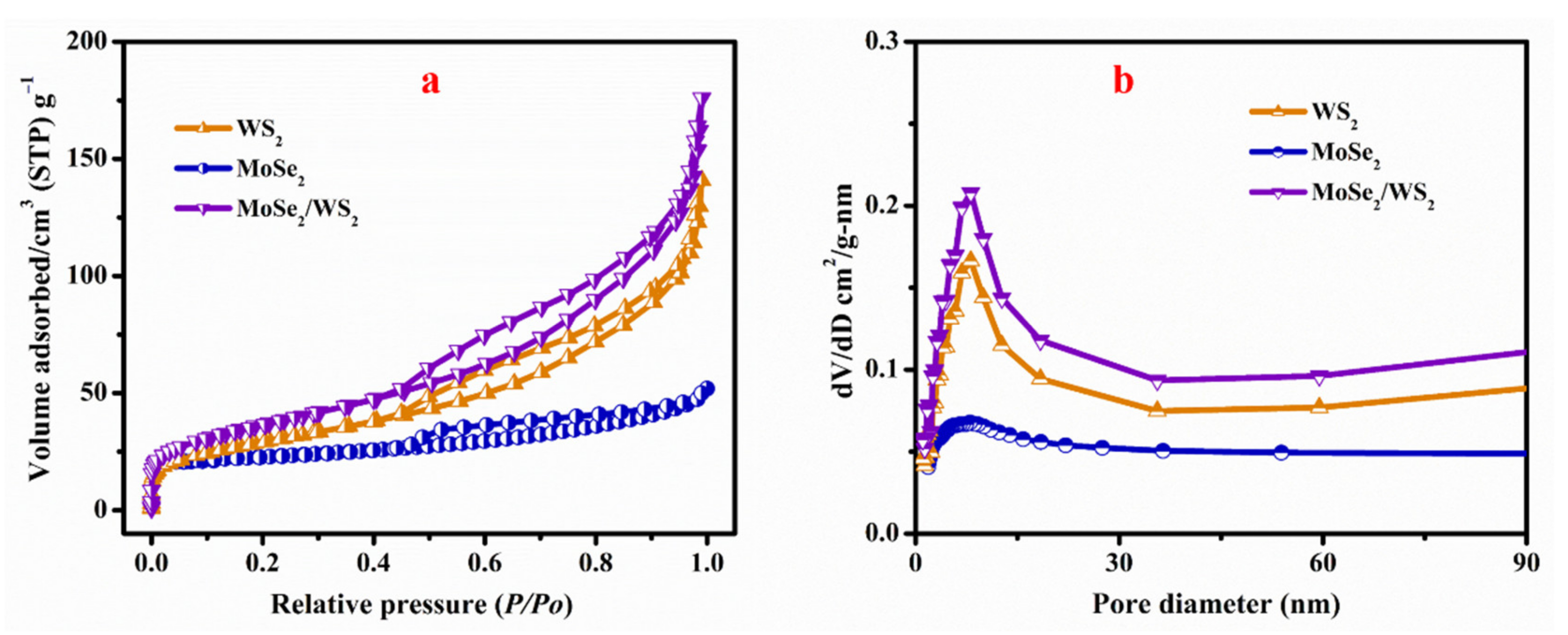
Figure 5a shows the N2 adsorption–desorption isotherms of pristine WS2 and MoSe2-WS2 samples. Both samples show the standard type-IV isotherms with obvious hysteresis loops, endorsing the presence of hierarchical mesoporosity [36]. On the other hand, the sharp uptakes at high pressure 0.55–1.0 P/Po of WS2 and MoSe2-WS2 indicate the presence of mesopores in both samples, which is in good agreement with the results of pore size distribution curves as shown in Figure 5b. Data are listed in Table 1. The MoSe2-WS2 nanocomposite has a high specific surface area of 132.79 m2 g−1, which is slightly higher than pristine WS2 (106.23 m2 g−1). On the other hand, both samples exhibit almost the same pore size: 10.6(5) nm for MoSe2-WS2 and 10.7(2) nm for WS2.

3.6. Optical Studies

To evaluate the electronic and optoelectronic properties of the MoSe2-WS2 nanocomposite, the optical bandgap has been determined using the UV-Vis spectroscopy in the vicinity of the fundamental transition, i.e., wavelength range of 200–800 nm, and compared with that of pristine WS2 and MoSe2 samples. The UV–Vis transmittance and reflectance spectra of samples are depicted in Figure 6a–f. Analyses of material bandgaps are presented in Figure 6g–i.
The optical absorption coefficient (α) is calculated taking into consideration the transmittance (T%) and reflectance (R%) of the sample using the standard equation [37]:
α = 1 d   l n 1 R 2 T ,  
where d is the film thickness. The bandgap Eg of samples is calculated by the Tauc’s formula [38]:
αhν = C (Eg)n,
where h is the Plank constant, ν is the photon energy, Eg is the average bandgap of the material, C is a constant depending on several intrinsic properties of the material, i.e., the effective mass of the electron and hole and the material refractive index, and n is the transition-type dependent. It is equal to 1/2, 3/2, 2 and 3 for the direct-allowed, direct-forbidden, indirect-allowed and indirect-forbidden transitions, respectively [39]. The average bandgap was calculated from the intercept of the linear part of the (αhν)2 vs. plot on x-axis for all samples as shown in Figure 6g–i.
The evaluated optical bandgap values (±0.02 eV) are 1.35, 1.16 and 1.24 eV for WS2, MoSe2 and MoSe2-WS2, respectively. The knowledge of the bandgap is also useful for the phase identification of the samples. It has been demonstrated that 2D TMDs possess sizable bandgaps around 1–2 eV [40]. According to Wang et al. [41], the bandgap of TMDs has the following electronic properties: (i) the bulk has an indirect bandgap of 1.3 eV for WS2 and 1.1 eV for MoSe2 and (ii) the monolayer has a direct bandgap of 2.1 eV for WS2 and 1.5 eV for MoSe2. Thus, the bandgap of the MoSe2-WS2 nanocomposite, in which WS2 is the core of the sample (bulk) and MoSe2 is formed by few nanosheets covering the bulk is in good agreement with previous reports [36]. Both MoSe2 and WS2 layered compounds are expected to undergo a similar indirect-to-direct bandgap evolution with decreasing layer numbers [42]. Indeed, the optical properties of the samples critically depend on the physical properties, and these variations in the energy gap here are consistent with those of the crystallite size.

3.7. Photocatalytic Performance

The photocatalytic performances of the as-synthesized products were estimated through water splitting for H2 evolution. Figure 7a displays the comparison of hydrogen evolution performance of MoSe2, WS2 and MoSe2-WS2 nanostructures for 5 h under LED irradiation. The achieved H2 production is 600.1, 150.2 and 1600.2 µmol g−1 h−1 for MoSe2, WS2, and MoSe2-WS2, respectively. The obtained H2 generation for MoSe2-WS2 is almost 3 and 10 times higher than that of bare MoSe2 and WS2, respectively. It is vital to consider that all the photocatalytic experimental results in this work were employed in an identical condition. The enhanced photocatalytic activity of MoSe2-WS2 nanostructure has the following characteristics: (i) it is due to the formation of heterostructures, which promote the separation of the photocarriers a well as their recombination, (ii) the coupling of MoSe2 and WS2 with diverse energy levels could engender the enhancement of the separation and transfer of photoinduced charges, which leads the photoinduced carriers to involve in the photo-redox reactions, and (iii) the MoSe2 acts as a cocatalyst for generation of H2. On the other hand, after a few hours, the volume of the reactor became insufficient to accommodate a large amount of H2, which increased solubility of H2 in the solution, suppressing the production of H2 in solution, reducing the evolution of H2 and total scavenger consumption, reducing the ability of H2 evolution [43]. Thus, it needs to provide additional number of scavengers in the continuous time-on-stream activity of the catalysts. Figure 7b illustrates the continuous stability of MoSe2-WS2 nanostructure over 16 h. After 6 h of continuing H2 production, it was observed that changing the scavenger and adding scavengers would increase H2 production, then reduced H2 production at 11 h and adding the scavenger again at 12 h, the increase in H2 activity was maintained steadily until 16 h on MoSe2-WS2 nanostructure.
These results suggest that the H2 evolution of the MoSe2-WS2 nanostructure harbors good stability up to three cycles. Therefore, MoSe2-WS2 nanostructures are promising and potential candidates for practical photocatalytic H2 evolution. Note that the as-prepared MoSe2-WS2 nanocomposite shows better H2 production yield (10 times greater than that bare WS2) than that of the WS2-MoS2 heterostructure (6.5 times greater than that bare WS2) [43].

3.8. Electrochemical Performance

To probe the enriched mechanism of the photocatalytic H2 production, the excitation and transfer of photogenerated charge carriers of the as-synthesized products were studied. The photocurrent-time (PI) as well as the electrochemical impedance spectroscopy (EIS) were employed. The acquired PI profiles are displayed in Figure 8a, which portrays the periodic on-off photocurrent response of all the prepared products under visible light illumination.
Identically, the photocurrent response of MoSe2-WS2 is higher than that of bare WS2, which is consistent with the photocatalytic activity. Measurements carried out in 0.5 mol L−1 Na2SO4 solution show a photocurrent density of 0.75 µA cm−2 for the MoSe2-WS2 heterostructure against 0.38 µA cm−2 for bulk WS2. This result demonstrated that the MoSe2-WS2 nanocomposite has brawny ability in transferring and generating the photo-excited charge carrier under the visible light illumination. On the other hand, recombination process and charge transfer of photo-induced electrons as well as holes can be displayed via EIS (Figure 8b). Compared with that of bare MoSe2 and WS2 materials, the Nyquist plot evidences clearly a depressed semicircle for MoSe2-WS2, which designates a fast charge-carrier transfer rate in the MoSe2-WS2. Hence, it stipulates that the effective transfer of photo-induced electrons among MoSe2 and WS2 enables the electron–hole separation.

3.9. Proposed Photocatalytic H2 Mechanism

In pursuant with the results discussed above, a mechanism for water reduction by the use of MoSe2-WS2 nanostructure-based catalyst is proposed as illustrated by the scheme in Figure 9. The electron–hole pairs are usually generated on MoSe2-WS2 under the visible light illumination. In the development of visible-light-driven devices, the nanostructured MoSe2-WS2 composite is a so-called Z-scheme photocatalyst [44,45,46,47]. In this system, electrons are excited from the valence band (VB) to the conduction band (CB) of WS2 upon visible light illumination, then transferred to VB of MoSe2 and finally reach to CB of MoSe2 during generation of H2. The photocatalytic H2 mechanism has been described as follows: in the H2 evolution setup, the photoreduction of proton by CB electrons as:
2H+ + 2e → H2,
and the oxidation of an electron donor (D) by VB holes yields an electron acceptor (A) as:
D + nh+ → A.
Thus, the water-splitting reaction occurs when a cycle of D and A redox pairs is achieved. Meanwhile, the photogenerated holes on the VB of WS2 can reduce the scavengers, which considerably decrease the recombination process of electron–hole pairs and lead to improved stability of the MoSe2-WS2 nanostructure and the enhancement of hydrogen production rate. Consequently, the photocatalytic H2 evolution activity is promoted for WS2 modified with few MoSe2 monolayers, which promotes a significant increase of photogenerated charge–hole separation efficiency [48].

4. Conclusions

In summary, we have investigated the structural, vibrational and electronic characteristics of the van der Waals interrelated MoSe2-WS2 nanostructure used as photocatalysts for H2 production. We found that:
(1)
A cost-effective and simple chemical methodology was handled to fabricate the MoSe2-WS2 nanostructure using an easy one-step hydrothermal process without high-temperature annealing;
(2)
The MoSe2-WS2 nanocomposite has a high specific surface area of 132.79 m2 g−1 and a pore size of 10.6 nm, which are values favorable for an efficient photocatalytic activity. For the MoSe2-WS2 heterostructure, in which WS2 is the core of the sample (bulk) and MoSe2 is formed by a few nanosheets covering the bulk, the evaluated optical bandgap is 1.24 eV;
(3)
The use of MoSe2 and WS2 sheets with similar lattice parameters allows the fabrication of heterostructure without matching restriction;
(4)
The coupling of MoSe2 with WS2 led to a considerably enhanced surface area and higher photoinduced charge separation. It results a remarkably improved photocatalytic H2 production, which was observed by photocurrent measurements and EIS studies;
(5)
Therefore, the resultant MoSe2-WS2 is a capable photocatalyst for the H2 energy applications. Under LED light irradiation, the MoSe2-WS2 nanostructure demonstrated enhanced photocatalytic hydrogen evolution, which is approximately 3- and 10-times higher compare to bare MoSe2 and WS2. MoSe2-WS2 nanocomposite exhibits a high PHE rate of 1600 µmol g−1 h−1;
(6)
The photocatalytic activity of the MoSe2-WS2 nanostructure can be explained by Z-scheme carrier transfer pathways, which favor the production of reactive species;
(7)
The MoSe2/WS2 heterostructure displayed excellent electrocatalytic hydrogen evolution behavior. The demonstrated hydrogen evolution reaction performance attests to the capability of this nanohybrid to replace the high-cost and scarce Pt and will spark hybrid-based research toward the various future energy sectors. The edges of MoSe2 and WS2 present an ideal hydrogen-binding energy, which makes them promising to replace the Pt-based electrocatalysts for hydrogen generation. In addition, the MoSe2/WS2 heterostructure could be a new cost-effective electrode replacing carbon supported Pt and Pt/Ru electrodes in fuel cells.

Author Contributions

Conceptualization, methodology, A.N.R.; investigation, D.K.G. and A.N.R.; data curation, T.P., D.K.G., S.V.P.V., and A.N.R.; writing—review and editing, C.M.J.; writing—original draft preparation, supervision, funding acquisition, T.P. and S.V.P.V. All authors have read and agreed to the published version of the manuscript.

Funding

This research was funded by the National Research Foundation of Korea (NRF), grant number 2020R1A2B5B01002744.

Institutional Review Board Statement

Not applicable.

Informed Consent Statement

Not applicable.

Data Availability Statement

Data is contained within the article.

Conflicts of Interest

The authors declare no conflict of interest.

References

  1. Peng, W.; Li, Y.; Hang, F.; Zhang, G.; Fan, X. Roles of two-dimensional transition metal dichalcogenides as cocatalysts in photocatalytic hydrogen evolution and environmental remediation. Ind. Eng. Chem. Res. 2017, 56, 4611–4626. [Google Scholar] [CrossRef]
  2. Wang, F.; Shifa, T.A.; Zhan, X.; Huang, Y.; Liu, K.; Cheng, Z.; Jiang, C.; He, J. Recent advances in transition-metal dichalcogenide based nanomaterials for water splitting. Nanoscale 2015, 7, 19764–19788. [Google Scholar] [CrossRef] [PubMed]
  3. Voiry, D.; Yang, J.; Chhowalla, M. Recent strategies for improving the catalytic activity of 2D TMD nanosheets toward the hydrogen evolution reaction. Adv. Mater. 2016, 28, 6197–6206. [Google Scholar] [CrossRef] [PubMed]
  4. Mishra, A.K.; Lakshmi, K.V.; Huang, L. Eco-friendly synthesis of metal dichalcogenides nanosheets and their environmental remediation potential driven by visible light. Sci. Rep. 2015, 5, 15718. [Google Scholar] [CrossRef] [PubMed] [Green Version]
  5. Gopannagari, M.; Kumar, D.P.; Reddy, D.A.; Hong, S.; Song, M.I.; Kim, T.K. In situ preparation of few-layered WS2 nanosheets and exfoliation into bilayers on CdS nanorods for ultrafast charge carrier migrations toward enhanced photocatalytic hydrogen production. J. Catalys. 2017, 351, 153–160. [Google Scholar] [CrossRef]
  6. Shanker, G.S.; Biswas, A.; Ogale, S. 2D materials and their heterostructures for photocatalytic water splitting and conversion of CO2 to value chemicals and fuels. J. Phys. Energy 2021, 3, 022003. [Google Scholar] [CrossRef]
  7. Ghatak, K.; Kang, K.N.; Yang, E.; Datta, D. Controlled edge dependent stacking of WS2-WS2 homo- and WS2-WSe2 hetero-structures: A computational study. Sci. Rep. 2020, 10, 1648. [Google Scholar] [CrossRef]
  8. Thiehmed, Z.; Shakoor, A.; Altahtamouni, T. Recent advances in WS2 and its based heterostructures for water-splitting applications. Catalysts 2021, 11, 1283. [Google Scholar] [CrossRef]
  9. Wu, Y.; Liu, Z.; Li, Y.; Chen, J.; Zhu, X.; Na, P. Construction of 2D-2D TiO2 nanosheet/layered WS2 heterojunctions with enhanced visible-light-responsive photocatalytic activity. Chin. J. Catalys. 2019, 40, 60–69. [Google Scholar] [CrossRef]
  10. Wei, Z.; Huang, W.; Xu, L.; Hu, W.; Peng, P.; Huang, G. Dual functions of 2D WS2 and MoS2–WS2 monolayers coupled with a Ag3PO4 photocatalyst. Semicond. Sci. Technol. 2016, 31, 9. [Google Scholar] [CrossRef]
  11. Jeevanandham, G.; Vediappan, K.; Alothman, Z.A.; Altalhi, T.; Sundramoorthy, A.K. Fabrication of 2D-MoSe2 incorporated NiO Nanorods modified electrode for selective detection of glucose in serum samples. Sci. Rep. 2021, 11, 13266. [Google Scholar] [CrossRef] [PubMed]
  12. Zhou, Y.; Zhu, Y.; Chen, X.; Dong, B.; Li, Q.; Chai, Y. Carbon-based transition metal sulfides/selenides nanostructures for electrocatalytic water splitting. J. Alloy. Compd. 2021, 852, 156810. [Google Scholar] [CrossRef]
  13. Qi, S.; Liu, X.; Ma, N.; Xu, H. Construction and photocatalytic properties of WS2/MoS2/BiOCl heterojunction. Chem. Phys. Lett. 2021, 763, 138203. [Google Scholar] [CrossRef]
  14. Ho, W.; Yu, J.C.; Lin, J.; Yu, J.; Li, P. Preparation and photocatalytic behavior of MoS2 and WS2 nanocluster sensitized TiO2. Langmuir 2004, 20, 5865–5869. [Google Scholar] [CrossRef]
  15. Tan, C.; Zhang, H. Two-dimensional transition metal dichalcogenide nanosheet-based composites. Chem. Soc. Rev. 2015, 44, 2713–2731. [Google Scholar] [CrossRef]
  16. Lu, Q.; Yu, Y.; Ma, Q.; Chen, B.; Zhang, H. 2D transition-metal dichalcogenide-nanosheet-based composites for photocatalytic and electrocatalytic hydrogen evolution reactions. Adv. Mater. 2016, 28, 1917–1933. [Google Scholar] [CrossRef]
  17. Amin, B.; Kaloni, T.P.; Schreckenbach, G.; Freund, M.S. Materials properties of out-of-plane heterostructures of MoS2-WSe2 and WS2-MoSe2. Appl. Phys. Lett. 2016, 108, 063105. [Google Scholar] [CrossRef] [Green Version]
  18. Ruiz-Tijerina, D.A.; Fal’ko, V.I. Interlayer hybridization and moiré superlattice minibands for electrons and excitons in heterobilayers of transition-metal dichalcogenides. Phys. Rev. B 2019, 99, 125424. [Google Scholar] [CrossRef] [Green Version]
  19. Jin, C.; Ma, E.Y.; Karni, O.; Regan, E.C.; Wang, F.; Heinz, T.F. Ultrafast dynamics in van der Waals hererostructures. Nat. Technol. 2018, 13, 994–1003. [Google Scholar]
  20. Kozawa, D.; Carvalho, A.; Verzhbitskiy, I.; Giustiniano, F.; Miyauchi, Y.; Mouri, S.; Castro Neto, A.H.; Matsuda, K.; Eda, G. Evidence for fast interlayer energy transfer in MoSe2/WS2 heterostructures. Nano Lett. 2016, 16, 4087–4093. [Google Scholar] [CrossRef] [Green Version]
  21. Meng, Y.; Wang, T.; Jin, C.; Li, Z.; Miao, S.; Lian, Z.; Taniguchi, T.; Watanabe, K.; Song, F.; Shi, S.F. Electrical switching between exciton dissociation to exciton funneling in MoSe2/WS2 heterostructure. Nat. Commun. 2020, 11, 2640. [Google Scholar] [CrossRef] [PubMed]
  22. Amin, B.; Kaloni, T.P.; Schwingenschlögl, U. Strain engineering of WS2, WSe2, and WTe2. RSC Adv. 2014, 4, 34561–34565. [Google Scholar] [CrossRef]
  23. Ceballos, F.; Ju, M.G.; Lane, S.D.; Zeng, X.C.; Zhao, H. Highly efficient and anomalous charge transfer in van der Waals trilayer semiconductors. Nano Lett. 2017, 17, 1623–1628. [Google Scholar] [CrossRef] [PubMed]
  24. Wu, Z.; Ouyan, M.; Wang, D. Construction of WS2/MoSe2 heterojunction for efficient photoelectrocatalytic hydrogen evolution. Mater. Sci. Semicond. Process 2020, 107, 104822. [Google Scholar] [CrossRef]
  25. Jaramillo, T.F.; Jørgensen, K.P.; Bonde, J.; Nielsen, J.H.; Horch, S.; Chorkendorff, I. Identification of active edge sites for electrochemical H2 evolution from MoS2 nanocatalysts. Science 2007, 317, 100–102. [Google Scholar] [CrossRef] [Green Version]
  26. Kang, J.; Tongay, S.; Zhou, J.; Li, J.; Wu, J. Band offsets and heterostructures of two-dimensional semiconductors. Appl. Phys. Lett. 2013, 102, 012111. [Google Scholar] [CrossRef] [Green Version]
  27. Vikraman, D.; Hussain, S.; Truong, L.; Karuppasamy, K.; Kim, H.J.; Maiyalagan, T.; Chun, S.H.; Jung, J.; Kim, H.S. Fabrication of MoS2/WSe2 heterostructures as electrocatalyst for enhanced hydrogen evolution reaction. Appl. Surf. Sci. 2019, 480, 611–620. [Google Scholar] [CrossRef]
  28. Vikraman, D.; Hussain, S.; Patil, S.A.; Truong, L.; Arbab, A.A.; Jeong, S.H.; Chun, S.H.; Jung, J.; Kim, H.-S. Engineering MoSe2/WS2 hybrids to replace the scarce platinum electrode for hydrogen evolution reactions and dye-sensitized solar cells. ACS Appl. Mater. Interfaces 2021, 123, 5061–5072. [Google Scholar] [CrossRef]
  29. Yuan, Z.; Jiang, Q.; Feng, C.; Chen, X.; Guo, Z. Synthesis and performance of tungsten disulfide/carbon (WS2/C) composite as anode material. J. Electron. Mater. 2018, 47, 251–260. [Google Scholar] [CrossRef]
  30. Xiong, M.; Qian, J.; Yang, K.; Chen, Z.; Mei, T.; Wang, J.; Li, J.; Yu, L.; Wang, X. Efficient polysulfide anchor: Brain coral-like WS2 nanosheets. J. Mater. Sci. 2020, 55, 12031–12040. [Google Scholar] [CrossRef]
  31. Zhao, Y.; Liu, J.; Zhang, X.; Wang, C.; Zhao, X.; Li, J.; Jin, H. Convenient synthesis of WS2–MoS2 heterostructures with enhanced photocatalytic performance. J. Phys. Chem. C 2019, 123, 27363–27368. [Google Scholar] [CrossRef]
  32. Eftekhari, A. Molybdenum diselenide (MoSe2) for energy storage, catalysis, and optoelectronics. Appl. Mater. Today 2017, 8, 1–17. [Google Scholar] [CrossRef]
  33. Peng, K.; Wang, H.; Li, X.; Wang, J.; Cai, Z.; Su, L.; Fan, X. Emerging WS2/montmorillonite composite nanosheets as an efficient hydrophilic photocatalyst for aqueous phase reactions. Sci. Rep. 2019, 9, 16325. [Google Scholar] [CrossRef] [PubMed]
  34. Vaziri, H.S.; Shokuhfar, A.; Afghah, S.S.S. Synthesis of WS2/CNT hybrid nanoparticles for fabrication of hybrid aluminum matrix nanocomposite. Mater. Res. Express 2020, 7, 025034. [Google Scholar] [CrossRef]
  35. Li, X.; Peng, K. MoSe2/montmorillonite composite nanosheets: Hydrothermal synthesis, structural characteristics, and enhanced photocatalytic activity. Minerals 2018, 8, 268. [Google Scholar] [CrossRef] [Green Version]
  36. Zeng, P.; Ji, X.; Su, Z.; Zhang, S. WS2/g-C3N4 composite as an efficient heterojunction photocatalyst for biocatalyzed artificial photosynthesis. RSC Adv. 2018, 8, 20557–20567. [Google Scholar] [CrossRef] [Green Version]
  37. Gusakova, J.; Wang, X.; Shiau, L.L.; Krivosheeva, A.; Shaposhnikov, V.; Borisenko, V.; Gusakov, V.; Tay, B.K. Electronic properties of bulk and monolayer TMDs: Theoretical study within DFT framework (GVJ-2e method). Phys. Status Solidi A 2017, 214, 1700218. [Google Scholar] [CrossRef]
  38. Rusu, D.I.; Rusu, G.G.; Luca, D. Structural characteristics and optical properties of thermally oxidized zinc films. Acta Phys. Polonica A 2011, 119, 850–856. [Google Scholar] [CrossRef]
  39. Tauc, J. Optical Properties of Solids; Abeles, F., Ed.; North-Holland: Amsterdam, The Netherlands, 1972. [Google Scholar]
  40. Zanatta, A.R. Revisiting the optical bandgap of semiconductors and the proposal of a unified methodology to its determination. Sci. Rep. 2019, 9, 11225. [Google Scholar] [CrossRef] [Green Version]
  41. Yoffe, A.D. Low-dimensional systems: Quantum size effects and electronic properties of semiconductor microcrystallites (zero-dimensional systems) and some quasi-two-dimensional systems. Adv. Phys. 1993, 42, 173–266. [Google Scholar] [CrossRef]
  42. Wang, Q.H.; Kalantar-Zadeh, K.; Kis, A.; Coleman, J.N.; Srano, M.S. Electronics and optoelectronics of two-dimensional transition metal dichalcogenides. Nat. Nanotechnol. 2012, 7, 699–712. [Google Scholar] [CrossRef] [PubMed]
  43. Ding, Y.; Wang, Y.; Ni, J.; Shi, L.; Shi, S.; Tang, W. First principles study of structural, vibrational and electronic properties of graphene-like MX2 (M=Mo, Nb, W, Ta; X=S, Se, Te) monolayers. Phys. B 2011, 406, 2254–2260. [Google Scholar] [CrossRef]
  44. Police, A.K.R.; Vattikuti, S.V.P.; Mandari, K.K.; Chennaiahgari, M.; Sharma, P.; Vallurid, D.K.; Byon, C. Bismuth oxide cocatalyst and copper oxide sensitizer in Cu2O/TiO2/Bi2O3 ternary photocatalyst for efficient hydrogen production under solar light irradiation. Ceram. Int. 2018, 44, 11783–11791. [Google Scholar] [CrossRef]
  45. Maeda, K. Z-scheme water splitting using two different semiconductor photocatalysts. ACS Catal. 2013, 3, 1486–1503. [Google Scholar] [CrossRef]
  46. Wang, G.; Chang, J.; Tang, W.; Xie, W.; Ang, Y.S. 2D materials and heterostructures for photocatalytic water-splitting: A theoretical perspective. J. Phys. D Appl. Phys. 2022, 5, 293002. [Google Scholar] [CrossRef]
  47. Fu, C.; Wang, G.; Huang, Y.; Chen, Y.; Yuan, H.; Ang, Y.S.; Chen, H. Two-dimensional CdS/SnS2 heterostructure: A highly efficient direct Z-scheme water splitting photocatalyst. Phys. Chem. Chem. Phys. 2022, 24, 3826–3833. [Google Scholar] [CrossRef] [PubMed]
  48. Cui, L.; Xiang Ding, X.; Wang, Y.; Shi, H.; Huang, L.; Zuo, Y.; Kang, S. Facile preparation of Z-scheme WO3/g-C3N4 composite photocatalyst with enhanced photocatalytic performance under visible light. Appl. Surface Sci. 2017, 391, 202–210. [Google Scholar] [CrossRef]
Figure 1. XRD patterns of pristine WS2 and MoSe2, and nanostructured MoSe2-WS2 composite. Spectra were recorded using a CuKα X-ray source (λ = 1.5406 Å).
Figure 1. XRD patterns of pristine WS2 and MoSe2, and nanostructured MoSe2-WS2 composite. Spectra were recorded using a CuKα X-ray source (λ = 1.5406 Å).
Nanomaterials 12 01160 g001
Figure 2. (ac) TEM images of the MoSe2-WS2 nanocomposite, (d) HRTEM image, (e) HAADF-STEM pattern, and (fi) corresponding elemental mapping images of W, S, Mo and Se.
Figure 2. (ac) TEM images of the MoSe2-WS2 nanocomposite, (d) HRTEM image, (e) HAADF-STEM pattern, and (fi) corresponding elemental mapping images of W, S, Mo and Se.
Nanomaterials 12 01160 g002
Figure 3. XPS elemental profiles of (a) W, (b) Mo, (c) S, and (d) Se elements of the MoSe2-WS2 nanostructure.
Figure 3. XPS elemental profiles of (a) W, (b) Mo, (c) S, and (d) Se elements of the MoSe2-WS2 nanostructure.
Nanomaterials 12 01160 g003
Figure 4. FTIR spectra of WS2, MoSe2, and MoSe2-WS2 catalysts.
Figure 4. FTIR spectra of WS2, MoSe2, and MoSe2-WS2 catalysts.
Nanomaterials 12 01160 g004
Figure 5. (a) BET profiles and (b) pore distribution of pristine WS2, MoSe2, and MoSe2-WS2 samples.
Figure 5. (a) BET profiles and (b) pore distribution of pristine WS2, MoSe2, and MoSe2-WS2 samples.
Nanomaterials 12 01160 g005
Figure 6. Determination of the bandgap of WS2, MoSe2 and MoSe2-WS2 catalysts. (ac) UV-Vis transmittance spectra, (df) UV-Vis reflectance spectra and (gi) Tauc’s plots.
Figure 6. Determination of the bandgap of WS2, MoSe2 and MoSe2-WS2 catalysts. (ac) UV-Vis transmittance spectra, (df) UV-Vis reflectance spectra and (gi) Tauc’s plots.
Nanomaterials 12 01160 g006
Figure 7. (a) H2 generation rate of MoSe2, WS2, and MoSe2-WS2 catalysts and (b) continuous cycling stability of MoSe2-WS2 catalyst under visible light irradiation.
Figure 7. (a) H2 generation rate of MoSe2, WS2, and MoSe2-WS2 catalysts and (b) continuous cycling stability of MoSe2-WS2 catalyst under visible light irradiation.
Nanomaterials 12 01160 g007
Figure 8. (a) Photocurrent response and (b) EIS spectra of WS2, MoSe2 and MoSe2-WS2 nanostructure.
Figure 8. (a) Photocurrent response and (b) EIS spectra of WS2, MoSe2 and MoSe2-WS2 nanostructure.
Nanomaterials 12 01160 g008
Figure 9. Scheme of the photocatalytic mechanism of MoSe2-WS2 nanostructure under light irradiation.
Figure 9. Scheme of the photocatalytic mechanism of MoSe2-WS2 nanostructure under light irradiation.
Nanomaterials 12 01160 g009
Table 1. BET analysis results of pristine WS2 and MoSe2-WS2 nanostructures.
Table 1. BET analysis results of pristine WS2 and MoSe2-WS2 nanostructures.
SampleBET Surface Area
(m2 g−1)
Pore Volume
(cm3 g−1)
Pore Size
(nm)
WS2106.20.21410.7(2)
MoSe235.070.118.3(2)
MoSe2-WS2132.80.26810.6(5)
Publisher’s Note: MDPI stays neutral with regard to jurisdictional claims in published maps and institutional affiliations.

Share and Cite

MDPI and ACS Style

Padma, T.; Gara, D.K.; Reddy, A.N.; Vattikuti, S.V.P.; Julien, C.M. MoSe2-WS2 Nanostructure for an Efficient Hydrogen Generation under White Light LED Irradiation. Nanomaterials 2022, 12, 1160. https://doi.org/10.3390/nano12071160

AMA Style

Padma T, Gara DK, Reddy AN, Vattikuti SVP, Julien CM. MoSe2-WS2 Nanostructure for an Efficient Hydrogen Generation under White Light LED Irradiation. Nanomaterials. 2022; 12(7):1160. https://doi.org/10.3390/nano12071160

Chicago/Turabian Style

Padma, Tatiparti, Dheeraj Kumar Gara, Amara Nadha Reddy, Surya Veerendra Prabhakar Vattikuti, and Christian M. Julien. 2022. "MoSe2-WS2 Nanostructure for an Efficient Hydrogen Generation under White Light LED Irradiation" Nanomaterials 12, no. 7: 1160. https://doi.org/10.3390/nano12071160

APA Style

Padma, T., Gara, D. K., Reddy, A. N., Vattikuti, S. V. P., & Julien, C. M. (2022). MoSe2-WS2 Nanostructure for an Efficient Hydrogen Generation under White Light LED Irradiation. Nanomaterials, 12(7), 1160. https://doi.org/10.3390/nano12071160

Note that from the first issue of 2016, this journal uses article numbers instead of page numbers. See further details here.

Article Metrics

Back to TopTop