Water Management for μDMFC with Foamed Stainless Steel Cathode Current Collector
Abstract
:1. Introduction
2. Methods and Experiments
2.1. Gas–Liquid Two-Phase Flow in the Cathode of μDMFC
2.2. Gradient Wettability Modification for the CCC
- Using a laser cutting platform (Type 6060L-1000W), the CCC with the foamed stainless steel was machined, and then the surfaces of these CCC were polished smooth;
- The CCC was cleaned with methanol, ethanol, and deionized water in turn, and then the dried CCC was immersed in the KOH solution of 1 mol/L to corrode. As shown in Figure 3a, the CCC was placed vertically with the bottom immersed to a depth of 2 mm;
- Finally, the treated CCC was rinsed in deionized water and dried in a drying oven.
2.3. Test System for μDMFC
3. Results and Discussion
3.1. Wettability Test
3.2. Cathode Flooding
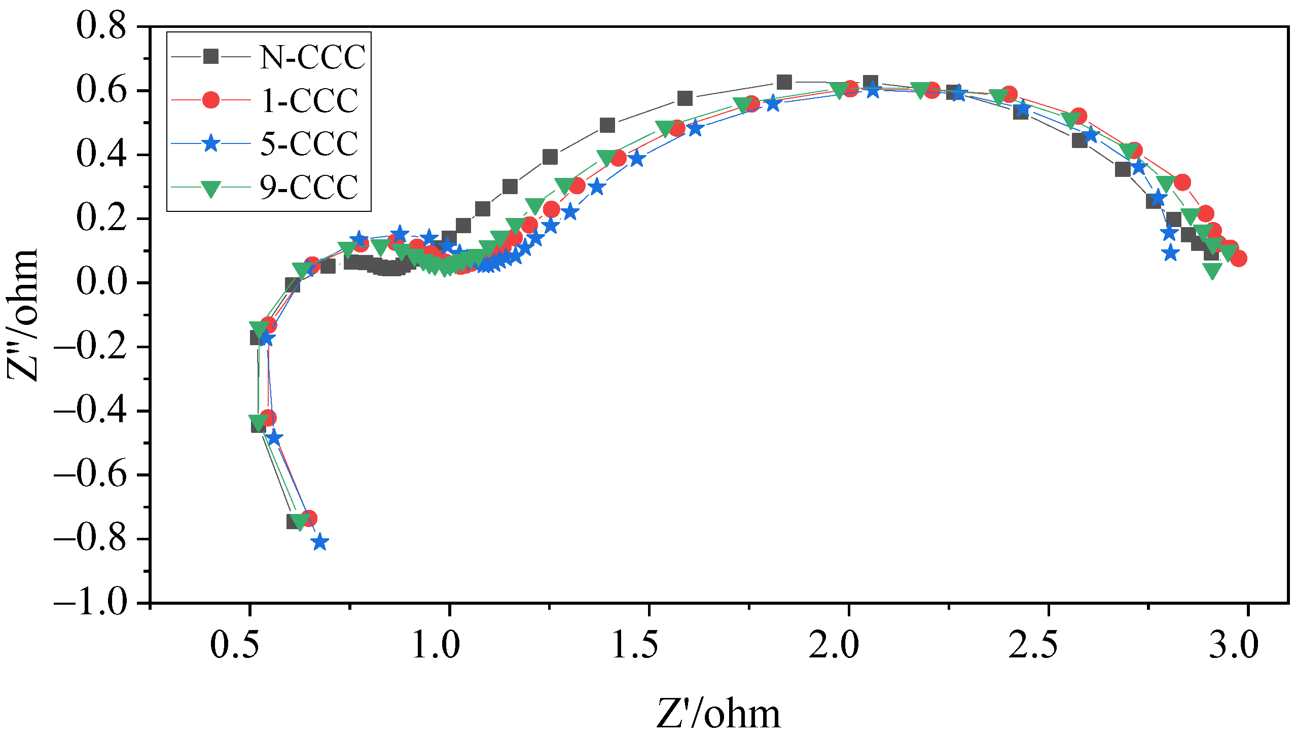
3.3. EIS
3.4. Discharge Voltage
4. Conclusions
- The foamed stainless steel is more suitable to prepare the gradient wettability CCC for water management of μDMFC cathode. The gradient of wettability of the 5-CCC is –<. It is significantly better than the 1-CCC and 9-CCC. At 5 min treatment time conditions, the KOH solution of 1 mol/L can provide optimal gradient corrosion for the CCC;
- After discharge of 150 min, the 5-CCC μDMFC has the lowest total impedance, whereas the N-CCC μDMFC has the highest total impedance. The 5-CCC has the most suitable gradient wettability and can effectively direct water towards the end of the CCC. Thus, it has more flow field channels and microporous channels and can provide more oxygen to the cathode of the μDMFC;
- At 1 h, compared to the N-CCC μDMFC, the discharge voltage of the 1-CCC μDMFC, 5-CCC μDMFC, and 9-CCC μDMFC increased by 27.28%, 33.33%, and 23.33%, respectively. The μDMFC with gradient wettability CCC shows better stability and higher discharge voltage.
Author Contributions
Funding
Institutional Review Board Statement
Informed Consent Statement
Data Availability Statement
Acknowledgments
Conflicts of Interest
Abbreviations
| μDMFC | Micro direct methanol fuel cell |
| CCC | Cathode current collector |
| EIS | Electrochemical impedance spectroscopy |
| SEM | Scanning electron microscope |
| N-CCC | Uncorroded CCC |
| 1-CCC | 1 min corroded CCC |
| 5-CCC | 5 min corroded CCC |
| 9-CCC | 9 min corroded CCC |
| Pressure drop, capillary pressure | |
| Flowing mass | |
| Distance | |
| ρ | Density |
| μ | Kinetic viscosity |
| Effective radius | |
| K | Permeability |
| Surface tension | |
| Contact angle | |
| Average flow rate | |
| D | Effective diameter |
| Mass fraction | |
| Subscript l | Liquid |
| Subscript a | Air |
| Subscript o | Oxygen |
References
- Shanmugasundaram, S.; Rajaram, G.; Karthikeyan, P.; Vasanth, R.J. Comparison of perforated and serpentine flow fields on the performance of proton exchange membrane fuel cell. J. Energy Inst. 2017, 90, 363–371. [Google Scholar]
- Liu, C.; Hu, S.; Yin, L.; Yang, W.; Yu, J.; Xu, Y.; Li, L.; Wang, G.; Wang, L. Micro Direct Methanol Fuel Cell Based on Reduced Graphene Oxide Composite Electrode. Micromachines 2021, 12, 72. [Google Scholar] [CrossRef]
- Vijayakrishnan, M.K.; Palaniswamy, K.; Ramasamy, J.; Kumaresan, T.; Manoharan, K.; Rajagopal, T.K.R.; Maiyalagan, T.; Jothi, V.R.; Yi, S.-C. Numerical and experimental investigation on 25 cm2 and 100 cm2 PEMFC with novel sinuous flow field for effective water removal and enhanced performance. Int. J. Hydrogen Energy 2020, 45, 7848–7862. [Google Scholar] [CrossRef]
- Hasheminasab, M.; Kermani, M.J.; Nourazar, S.S.; Khodsiani, M.H. A novel experimental based statistical study for water management in proton exchange membrane fuel cells. Appl. Energy 2020, 264, 114713. [Google Scholar] [CrossRef]
- Yang, Z.; Du, Q.; Jia, Z.; Yang, C.; Jiao, K. Effects of operating conditions on water and heat management by a transient multi-dimensional PEMFC system model. Energy 2019, 183, 462–476. [Google Scholar] [CrossRef]
- Flückiger, R.; Tiefenauer, A.; Ruge, M.; Aebi, C.; Büchi, F. Thermal analysis and optimization of a portable, edge-air-cooled PEFC stack. J. Power Sources 2007, 172, 324–333. [Google Scholar] [CrossRef]
- Wu, J.; Galli, S.; Lagana, I.; Pozio, A.; Monteleone, G.; Xiao, Z.Y.; Martin, J.; Wang, H. An air-cooled proton exchange membrane fuel cell with combined oxidant and coolant flow. J. Power Sources 2009, 188, 199–204. [Google Scholar] [CrossRef]
- Karthikeyan, P.; Velmurugan, P.; George, A.J.; Kumar, R.R.; Vasanth, R.J. Experimental investigation on scaling and stacking up of proton exchange membrane fuel cells. Int. J. Hydrogen Energy 2014, 39, 11186–11195. [Google Scholar] [CrossRef]
- Bachman, J.; Charvet, M.; Santamaria, A.; Tang, H.Y.; Park, J.W.; Walker, R. Experimental investigation of the effect of channel length on performance and water accumulation in a PEMFC parallel flow field. Int. J. Hydrogen Energy 2012, 37, 17172–17179. [Google Scholar] [CrossRef]
- Su, A.; Weng, F.B.; Hsu, C.Y.; Chen, Y.M. Studies on flooding in PEM fuel cell cathode channels. Int. J. Hydrogen Energy 2006, 31, 1031–1039. [Google Scholar] [CrossRef]
- Koresawa, R.; Utaka, Y. Water control by employing microgrooves inside gas channel for performance improvement in polymer electrolyte fuel cells. Int. J. Hydrogen Energy 2015, 40, 8172–8181. [Google Scholar] [CrossRef] [Green Version]
- Imbrioscia, G.M.; Fasoli, H.J. Simulation and study of proposed modifications over straight-parallel flow field design. Int. J. Hydrogen Energy 2014, 39, 8861–8867. [Google Scholar] [CrossRef]
- Jaruwasupant, N.; Khunatorn, Y. Effects of difference flow channel designs on Proton Exchange Membrane Fuel Cell using 3-D Model. Energy Procedia 2011, 9, 326–337. [Google Scholar] [CrossRef] [Green Version]
- Ashrafi, M.; Shams, M. The effects of flow-field orientation on water management in PEM fuel cells with serpentine channels. Appl. Energy 2017, 208, 1083–1096. [Google Scholar] [CrossRef]
- Shimpalee, S.; Beuscher, U.; Van Zee, J.W. Analysis of GDL flooding effects on PEMFC performance. Electrochim. Acta 2007, 52, 6748–6754. [Google Scholar] [CrossRef]
- Jiang, F.; Wang, C.Y. Numerical modeling of liquid water motion in a polymer electrolyte fuel cell. Int. J. Hydrogen Energy 2014, 39, 942–950. [Google Scholar] [CrossRef]
- Mehnatkesh, H.; Alasty, A.; Boroushaki, M.; Khodsiani, M.H.; Kermani, M.J. Estimation of Water Coverage Ratio in Low Temperature PEM-Fuel Cell Using Deep Neural Network. IEEE Sens. J. 2020, 20, 10679–10686. [Google Scholar] [CrossRef]
- Rubio, G.A.; Agila, W.E. A Fuzzy Model to Manage Water in Polymer Electrolyte Membrane Fuel Cells. Processes 2021, 9, 904. [Google Scholar] [CrossRef]
- Garcia-Salaberri, P.A.; Zenyuk, I.V.; Weber, A.; Gostick, J.T. Modeling transport in gas diffusion layers using a composite continuum-pore network formulation. In Proceedings of the EChemCONSTORE I, Madrid, Spain, 28–29 January 2021. [Google Scholar]
- Wang, Y.; Wang, S.; Wang, G.; Yue, L. Numerical study of a new cathode flow-field design with a sub-channel for a parallel flow-field polymer electrolyte membrane fuel cell. Int. J. Hydrogen Energy 2018, 43, 2359–2368. [Google Scholar] [CrossRef]
- Birgersson, E.; Vynnycky, M. A quantitative study of the effect of flow-distributor geometry in the cathode of a PEM fuel cell. J. Power Sources 2006, 153, 76–88. [Google Scholar] [CrossRef]
- Turhan, A.; Heller, K.; Brenizer, J.S. Quantification of liquid water accumulation and distribution in a polymer electrolyte fuel cell using neutron imaging. J. Power Sources 2006, 160, 1195–1203. [Google Scholar] [CrossRef]
- Bozorgnezhad, A.; Shams, M.; Kanani, H.; Hasheminasab, M.; Ahmadi, G. The experimental study of water management in the cathode channel of single-serpentine transparent proton exchange membrane fuel cell by direct visualization. Int. J. Hydrogen Energy 2015, 40, 2808–2832. [Google Scholar] [CrossRef]
- Iranzo, A.; Salva, A.; Boillat, P.; Biesdorf, J.; Tapia, E.; Rosa, F. Water build-up and evolution during the start-up of a PEMFC: Visualization by means of Neutron Imaging. Int. J. Hydrogen Energy 2016, 42, 13839–13849. [Google Scholar] [CrossRef]
- Rahimi-Esbo, M.; Ranjbar, A.A.; Rahgoshay, S.M. Analysis of water management in PEM fuel cell stack at dead-end mode using direct visualization. Renew. Energy 2020, 162, 212–221. [Google Scholar] [CrossRef]
- Tongsh, C.; Liang, Y.Q.; Xie, X.; Li, L.C.; Jiao, K. Experimental investigation of liquid water in flow field of proton exchange membrane fuel cell by combining X-ray with EIS technologies. Sci. China Technol. Sci. 2021, 64, 2153–2165. [Google Scholar] [CrossRef]
- Song, K.Y.; Lee, H.K.; Kim, H.T. MEA design for low water crossover in air-breathing DMFC. Electrochim. Acta 2008, 53, 637–643. [Google Scholar] [CrossRef]
- Zhu, X.; Li, J.; Qiang, L.; Xun, Z.; Ye, D. Effects of Ambient Conditions on the Cell Performance of a Passive Air-Breathing DMFC. ASME Int. Conf. Fuel Cell Sci. 2008, 43181, 751–756. [Google Scholar]
- Fly, A.; Butcher, D.; Meyer, Q.; Whiteley, M.; Spencer, A.; Kim, C.; Shearing, P.R.; Brett, D.J.L.; Chen, R. Characterisation of the diffusion properties of metal foam hybrid flow-fields for fuel cells using optical flow visualisation and X-ray computed tomography. J. Power Sources 2018, 395, 171–178. [Google Scholar] [CrossRef]
- Yuan, W.; Hou, C.; Zhang, X.; Zhong, S.; Liu, X. Constructing a Cathode Catalyst Layer of a Passive Direct Methanol Fuel Cell with Highly Hydrophilic Carbon Aerogel for Improved Water Management. ACS Appl. Mater. Interfaces 2019, 11, 37626–37634. [Google Scholar] [CrossRef]
- Karthikeyan, M.; Karthikeyan, P.; Muthukumar, M.; Kannan, V.M.; Thanarajan, K.; Maiyalagan, T.; Hong, C.W.; Jothi, V.R.; Yi, S.C. Adoption of novel porous inserts in the flow channel of pern fuel cell for the mitigation of cathodic flooding. Int. J. Hydrogen Energy 2020, 45, 7863–7872. [Google Scholar] [CrossRef]
- Sun, X.; Xie, X.; Wu, S.; Liu, Z.; Jiao, K. Investigation of metal foam porosity and wettability on fuel cell water management by Electrochemical Impedance Spectroscopy. Int. J. Green Energy 2021, 18, 708–719. [Google Scholar] [CrossRef]
- Zhang, F.; Zhang, Y.; Luo, C.; Zhang, D.; Zhao, Z. Performance study of μDMFC with foamed metal cathode current collector. RSC Adv. 2022, 12, 4145–4152. [Google Scholar] [CrossRef]
- Pooja, M.; Ravishankar, K.; Madav, V. High temperature corrosion behaviour of stainless steels and Inconel 625 in hydroxide salt. Mater. Today Proc. 2021, 46, 2612–2615. [Google Scholar] [CrossRef]
- Tan, L.; Wang, Z.; Ma, Y. Tribocorrosion Behavior and Degradation Mechanism of 316L Stainless Steel in Typical Corrosive Media. Acta Metall. Sin. 2021, 34, 813–824. [Google Scholar] [CrossRef]
- Cho, J.; Neville, T.P.; Trogadas, P.; Meyer, Q.; Wu, Y.; Ziesche, R.; Boillat, P.; Cochet, M.; Manzi-Orezzoli, V.; Shearing, P. Visualization of liquid water in a lung-inspired flow-field based polymer electrolyte membrane fuel cell via neutron radiography. Energy 2019, 170, 14–21. [Google Scholar] [CrossRef]
- Liu, S.; Zhang, L.; Wang, Z.; Li, R. Influence of the surface microstructure of the fuel cell gas diffusion layer on the removal of liquid water. Int. J. Hydrogen Energy 2021, 46, 31764–31777. [Google Scholar] [CrossRef]
- Chen, Q.; Niu, Z.; Li, H.; Jiao, K.; Wang, Y. Recent progress of gas diffusion layer in proton exchange membrane fuel cell: Two-phase flow and material properties. Int. J. Hydrogen Energy 2021, 46, 8640–8671. [Google Scholar] [CrossRef]
- Ahn, C.Y.; Lim, M.S.; Hwang, W.; Kim, S.; Park, J.E.; Lim, J.; Choi, I.; Cho, Y.H.; Sung, Y.E. Effect of Porous Metal Flow Field in Polymer Electrolyte Membrane Fuel Cell under Pressurized Condition. Fuel Cells 2017, 17, 652–661. [Google Scholar] [CrossRef]
- Wang, X.; Chen, S.; Fan, Z.; Li, W.; Wang, S.; Li, X.; Zhao, Y.; Zhu, T.; Xie, X. Laser-perforated gas diffusion layer for promoting liquid water transport in a proton exchange membrane fuel cell. Int. J. Hydrogen Energy 2017, 42, 29995–30003. [Google Scholar] [CrossRef]
- Hou, Y.; Zhang, G.; Qin, Y.; Du, Q.; Jiao, K. Numerical simulation of gas liquid two-phase flow in anode channel of low-temperature fuel cells. Int. J. Hydrogen Energy 2017, 42, 3250–3258. [Google Scholar] [CrossRef]
- Karthikeyan, P.; Vasanth, R.J.; Muthukumar, M. Experimental investigation on uniform and zigzag positioned porous inserts on the rib surface of cathode flow channel for performance enhancement in PEMFC. Int. J. Hydrogen Energy 2015, 40, 4641–4648. [Google Scholar] [CrossRef]














| 1-CCC | 5-CCC | 9-CCC | |
|---|---|---|---|
| (20 s) | (20 s) | <1 (3.9 s) | |
| (20 s) | <1 (15.2 s) | <1 (2.3 s) | |
| <1 (20 s) | <1 (4.8 s) | <1 (1.7 s) |
| N-CCC | 1-CCC | 5-CCC | 9-CCC | |
|---|---|---|---|---|
| Contact impedance (before discharge) | ||||
| Contact impedance (after discharge) | ||||
| Total impedance (before discharge) | ||||
| Total impedance (after discharge) |
Publisher’s Note: MDPI stays neutral with regard to jurisdictional claims in published maps and institutional affiliations. |
© 2022 by the authors. Licensee MDPI, Basel, Switzerland. This article is an open access article distributed under the terms and conditions of the Creative Commons Attribution (CC BY) license (https://creativecommons.org/licenses/by/4.0/).
Share and Cite
Zhang, F.; Zhang, Y.; Zhao, Z. Water Management for μDMFC with Foamed Stainless Steel Cathode Current Collector. Nanomaterials 2022, 12, 948. https://doi.org/10.3390/nano12060948
Zhang F, Zhang Y, Zhao Z. Water Management for μDMFC with Foamed Stainless Steel Cathode Current Collector. Nanomaterials. 2022; 12(6):948. https://doi.org/10.3390/nano12060948
Chicago/Turabian StyleZhang, Fan, Yanhui Zhang, and Zhengang Zhao. 2022. "Water Management for μDMFC with Foamed Stainless Steel Cathode Current Collector" Nanomaterials 12, no. 6: 948. https://doi.org/10.3390/nano12060948
APA StyleZhang, F., Zhang, Y., & Zhao, Z. (2022). Water Management for μDMFC with Foamed Stainless Steel Cathode Current Collector. Nanomaterials, 12(6), 948. https://doi.org/10.3390/nano12060948

