Probing Optical Nonlinearities of Unconventional Glass Nanocomposites Made of Ionic Liquid Crystals and Bimetallic Nanoparticles
Abstract
:1. Introduction
2. Materials Preparation: Chemical Synthesis of Bimetallic Nanoparticles in an Ionic Liquid Crystal Matrix
3. X-ray Methods for Structural Characterization of Bimetallic NPs in Nanocomposites
4. Absorption Spectra of Nanocomposites
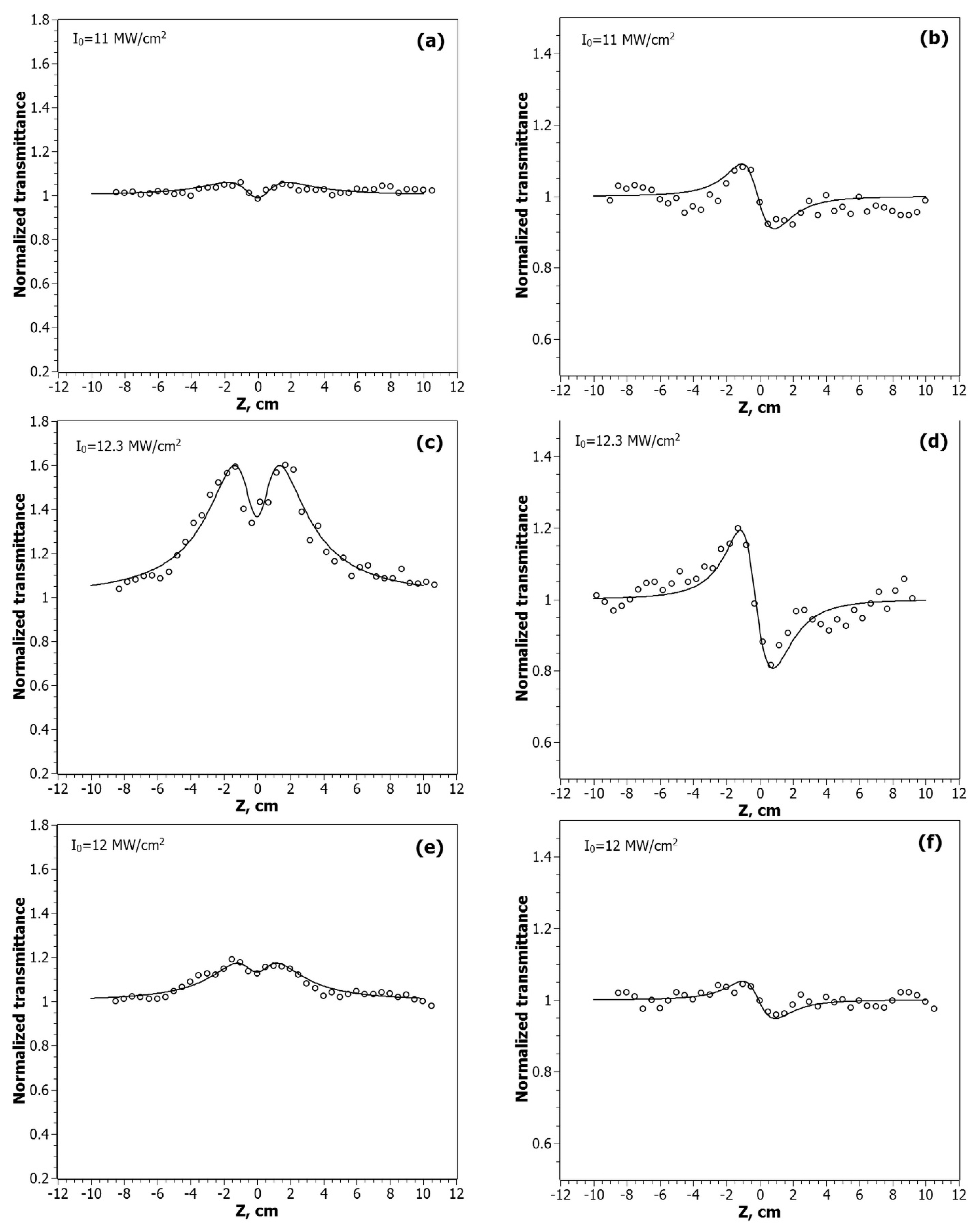
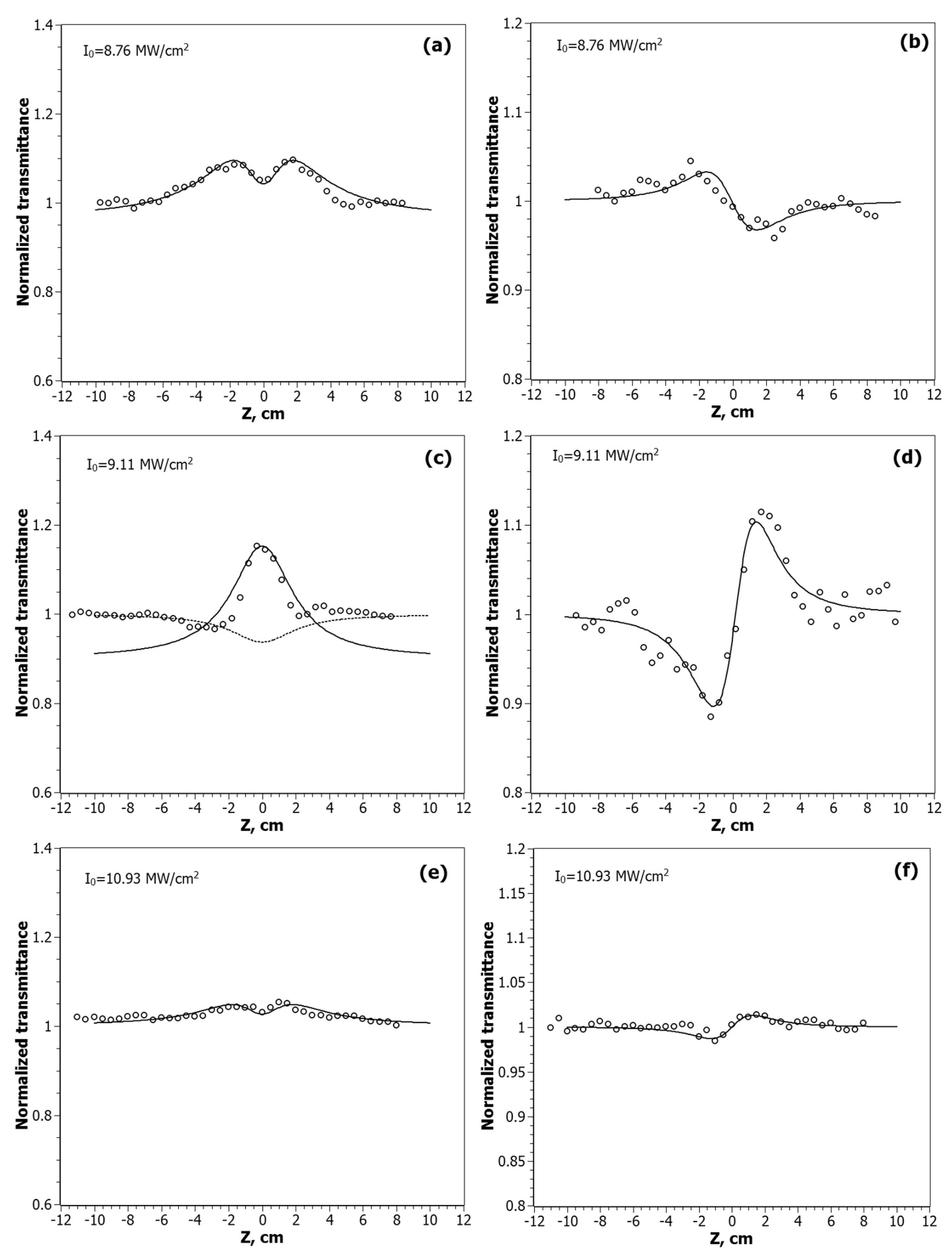
5. Nonlinear Optical Properties of Nanocomposites CdC8+Ag/Au NPs
6. Conclusions
Author Contributions
Funding
Institutional Review Board Statement
Informed Consent Statement
Data Availability Statement
Conflicts of Interest
References
- Sattler, K.D. 21st Century Nanoscience—A Handbook Nanophysics Sourcebook; CRC: Boca Raton, FI, USA, 2020. [Google Scholar]
- Kang, H.; Buchman, J.T.; Rodriguez, R.S.; Ring, H.L.; He, J.; Bantz, K.C.; Haynes, C.L. Stabilization of Silver and Gold Nanoparticles: Preservation and Improvement of Plasmonic Functionalities. Chem. Rev. 2019, 119, 664–699. [Google Scholar] [CrossRef] [PubMed]
- Ubbelohde, A.R.; Michels, H.J.; Duruz, J.J. Liquid crystlas in moltel solt systems. Nature 1970, 228, 50–51. [Google Scholar] [CrossRef] [PubMed]
- Mirnaya, T.A.; Volkov, S.V. Ionic liquid crystlas as universal matrices (solvents): Main criteria for ionic mesogenicity. In Green Industrial Application of Ionic Liquids; Rogers, R.D., Seddon, K.R., Volkov, S.V., Eds.; Kliwer Academic Publishers: London, UK, 2002. [Google Scholar]
- Martínez Casado, F.J.; Ramos Riesco, M.; Redondo Yélamos, M.I.; Sánchez Arenas, A.; Rodríguez Cheda, J.A. The role of calorimetry in the structural study of mesophases and their glass states. J. Therm. Anal. Calorim. 2012, 108, 399–413. [Google Scholar] [CrossRef]
- Ghosh, S.; Ramos, L.; Remita, H. Swollen hexagonal liquid crystals as smart nanoreactors: Implementation in materials chemistry for energy applications. Nanoscale 2018, 10, 5793–5819. [Google Scholar] [CrossRef] [PubMed]
- Nagaraj, M. Liquid Crystals Templating. Crystals 2020, 10, 648. [Google Scholar] [CrossRef]
- Klimusheva, G.; Bugaychuk, S.; Garbovskiy, Y.; Kolesnyk, O.; Mirnaya, T.; Ishchenko, A. Fast dynamic holographic recording based on conductive ionic metal-alkanoate liquid crystals and smectic glasses. Opt. Lett. 2006, 31, 235–237. [Google Scholar] [CrossRef] [PubMed]
- Bordyuh, A.B.; Garbovskiy, Y.A.; Bugaychuk, S.A.; Klimusheva, G.V.; Mirnaya, T.A.; Yaremchuk, G.G.; Polishchuk, A.P. Dynamic grating recording in lyotropic ionic smectics of metal alkanoates doped with electrochromic impurities. Opt. Mater. 2009, 31, 1109. [Google Scholar] [CrossRef]
- Bugaychuk, S. Fast nonlinear optical mechanism of potoconversion in the systems: Lyotropic ionic liquid crystals—Viologen impurities. J. Mol. Phys. 2011, 109, 1567–1574. [Google Scholar] [CrossRef]
- Klimusheva, G.; Mirnaya, T.; Garbovskiy, Y. Versatile nonlinear optical materials on mesomorphic metal alkanoate: Design, properties and applications. Liq. Cryst. Rev. 2015, 3, 28–57. [Google Scholar] [CrossRef]
- Rudenko, V.; Tolochko, A.; Zhulai, D.; Klimusheva, G.; Mirnaya, T.; Yaremchuk, G.; Asaula, V. Nonlinear optical properties of metal alkanoate composites with hybrid core/shell nanoparticles. Appl. Nanosci. 2018, 8, 823–829. [Google Scholar] [CrossRef]
- Zhulai, D.S.; Bugaychuk, S.A.; Klimusheva, G.V.; Mirnaya, T.A.; Asaula, V.N.; Handziuk, V.I.; Vitusevich, S.A. Structural characteristics of different types of nanoparticles synthesized in mesomorphic metal alkanoates. Liq. Cryst. 2017, 44, 1269–1276. [Google Scholar] [CrossRef]
- Lyashchova, A.; Fedorenko, D.; Garbovskiy, Y.; Klimusheva, G.; Mirnaya, T.; Asaula, V. Strong thermal optical nonlinearity causes by CdSe nanoparticles synthesized in smectic ionic liquid crystals. Liq. Cryst. 2013, 40, 1377. [Google Scholar] [CrossRef]
- Zhulai, D.; Kovalchuk, A.; Bugaychuk, S.; Klimusheva, G.; Mirnaya, T.; Vitusevich, S. Photoconductivity of ionic thermotropic liquid crystal with semiconductor nanoparticles. J. Mol. Liq. 2018, 267, 405–410. [Google Scholar] [CrossRef]
- Rudenko, V.; Garbosvkiy, Y.; Klimusheva, G.; Mirnaya, T. Intensity dependent nonlinear absorption coefficients and nonlinear refractive indices of glass-forming ionic liquid crystals doped with gold and silver nanoparticles. J. Mol. Liq. 2018, 267, 56–60. [Google Scholar] [CrossRef]
- Perry, J.W.; Mansour, K.; Lee, I.-Y.S.; Wu, X.-L.; Bedworth, P.V.; Chen, C.-T.; Ng, D.; Marder, S.; Miles, P. Organic optical limiter with a strong nonlinear absorptive response. Science 1996, 273, 1553–1556. [Google Scholar] [CrossRef]
- Zhang, H.; Zelmon, D.E.; Deng, L.; Liu, H.K.; Teo, B.K. Optical limiting behavior of nanosized polyicosahedral gold-silver clusters based on third-orded nonlinear optical effects. J. Am. Chem. Soc. 2001, 123, 11300. [Google Scholar] [CrossRef] [PubMed]
- Porel, S.; Venkatram, N.; Rao, D.N.; Radhakrishnan, T.P. Optical power limiting in the femtosecond regime by silver nanoparticle-embedded polymer film. J. Appl. Phys. 2007, 102, 033107. [Google Scholar] [CrossRef] [Green Version]
- Gao, Y.C.; Chang, Q.; Ye, H.A.; Jiao, W.Y.; Li, Y.L.; Wang, Y.X.; Song, Y.L.; Zhu, D.B. Size effect of optical limiting in gold nanoparticles. Chem. Phys. 2007, 336, 99–102. [Google Scholar] [CrossRef]
- Martin, R.B.; Meziani, M.J.; Pathak, P.; Riggs, J.E.; Cook, D.E.; Perera, S.; Sun, Y.-P. Optical limiting of silver-containing nanoparticles. Opt. Mater. 2007, 29, 788–793. [Google Scholar] [CrossRef]
- Gupta, R.K.; Misra, M. (Eds.) Metal Semiconductor Core-Shell Nanostructures for Energy and Environmental Applications; Elsevier: Amsterdam, The Netherlands, 2017. [Google Scholar]
- Garcia, M.A. Surface plasmons in metallic nanoparticles: Fundamentals and applications. J. Phys. D Appl. Phys. 2011, 44, 283001. [Google Scholar] [CrossRef]
- Panoiu, N.C.; Sha, W.E.; Lei, D.Y.; Li, G.-C. Nonlinear optics in plasmonic nanostructures. J. Opt. 2018, 20, 083001. [Google Scholar] [CrossRef] [Green Version]
- Zhang, Y.-X.; Wang, Y.-H. Nonlinear optical properties of metal nanoparticles: A review. RSC Adv. 2017, 7, 45129–45144. [Google Scholar] [CrossRef] [Green Version]
- Chevychelova, T.A.; Grevtseva, I.G.; Zvyagin, A.I.; Smirnov, M.S.; Ovchinnikov, O.V.; Ganeev, R.A. Nonlinear optical properties of Ag nanoparticles with and without silicon dioxide shell. Opt. Mater. 2021, 111, 110583. [Google Scholar] [CrossRef]
- Srinoi, P.; Chen, Y.-T.; Vittur, V.; Marquez, M.D.; Lee, T.R. Bimetallic Nanoparticles: Enhanced Magnetic and Optical Properties for Emerging Biological Applications. Appl. Sci. 2018, 8, 1106. [Google Scholar] [CrossRef] [Green Version]
- Arora, N.; Thangavelu, K.; Karanikolos, G.N. Bimetallic Nanoparticles for Antimicrobial Applications. Front. Chem. 2020, 8, 1–22. Available online: https://www.frontiersin.org/article/10.3389/fchem.2020.00412 (accessed on 15 February 2022).
- Loza, K.; Heggen, M.; Epple, M. Synthesis, Structure, Properties, and Applications of Bimetallic Nanoparticles of Noble Metals. Adv. Funct. Mater. 2020, 30, 1909260. [Google Scholar] [CrossRef] [Green Version]
- Mirnaya, T.; Yaremchuk, G. Synthesis and optical properties of nanocomposites based on liquid crystal with bimetallic Au + Ag nanoparticles of alloy type. Ukr. Chem. J. 2019, 85, 54–59. [Google Scholar] [CrossRef] [Green Version]
- Scherrer, P. Bestimmung der Große und der inneren Struktur von Kolloidteilchen mittels Rontgenstrahlen, Nachr Ges Wiss Goettingen. Math.-Phys. Kl. 1918, 2, 98–100. [Google Scholar]
- Bressler, I.; Pauw, B.R.; Thünemann, A.F. McSAS: Software for the retrieval of model parameter distributions from scattering patterns. J. Appl. Crystallogr. 2015, 48, 962–969. [Google Scholar] [CrossRef] [PubMed] [Green Version]
- Kuzma, A.; Weis, M.; Daricek, M.; Uhrik, J.; Horinek, F.; Donoval, M.; Uherek, F.; Donoval, D. Plasmonic properties of Au-Ag nanoparticles:distinctivness of metal arrangements by optical study. J. Appl. Phys. 2014, 115, 053517. [Google Scholar] [CrossRef]
- Zhang, F.; Wang, Z.; Wang, D.; Wu, Z.; Wang, S.; Xu, X. Nonlinear optical effects in nitrogen-doped graphene. RSC Adv. 2016, 6, 3526–3531. [Google Scholar] [CrossRef]
- Ovdenko, V.M.; Multian, V.V.; Uklein, A.V.; Kulai, I.V.; Kolenko, V.Y.; Gayvoronsky, V.Y. Novel efficient nonlinear optical azo- and azomethine polymers containin an antiherine fragment: Synthesis and characterization. J. Mater. Chem. C 2020, 8, 9032–9045. [Google Scholar] [CrossRef]
- Qu, S.; Zhnang, Y.; Li, H.; Qui, J.; Zhu, C. Nanosecond nonlinear absorption in Au and Ag nanoparticles precipitated glasses induced by a femtosecond laser. Opt. Mater. 2006, 28, 259–265. [Google Scholar] [CrossRef]
- Anija, M.; Thomas, J.; Singh, N.; Nair, A.; Tom, R.T.; Pradeep, T.; Philip, R. Nonlinear light transmission through oxide-protected Au and Ag nanoparticles: An investigation in the nanosecond domain. Chem. Phys. Lett. 2003, 380, 223–229. [Google Scholar] [CrossRef]
- Rotenberg, N.; Bristow, A.D.; Pfeiffer, M.; Betz, M.; van Driel, Y.M. Nonlinear absorption in Au films: Role of thermal effects. Phys. Rev. B 2007, 75, 155426. [Google Scholar] [CrossRef] [Green Version]
- Rudenko, V.; Garbovskiy, Y.; Klimusheva, G.; Mirnaya, T.; Yaremchuk, G. Enhanced optical nonlinearity of the “nonlinear host–nonlinear guest” glassy nanocomposites made of the mesomorphic cobalt octanoate and noble metal nanoparticles. J. Opt. Soc. Am. B 2016, 33, 648–655. [Google Scholar] [CrossRef]
- Link, S.; Burda, C.; Wang, Z.L.; El-Sayed, M.A. Electron dynamics in gold and gold-silver alloy nanoparticles: The influence of a nonequilibrium electron distribution and the size dependence of the electron-phonon relaxation. J. Chem. Phys. 1999, 111, 1255–1264. [Google Scholar] [CrossRef]
- Ahmadi, T.S.; Logunov, S.L.; El-Sayed, M.A. Picosecond dynamics of colloidal gold nanoparticles. J. Phys. Chem. 1996, 100, 8053–8056. [Google Scholar] [CrossRef]
- Hache, F.; Ricard, D.; Flytzanis, C. Optical nonlinearities of small metal particles: Surface-mediated resonance and quantum size effect. J. Opt. Soc. Am. B 1986, 3, 1647–1655. [Google Scholar] [CrossRef]
- Kamat, P.V.; Flumiani, M.; Hartland, G.V. Picosecond dynamics of silver nanoclusters. Photoejection of electrons and fragmentation. J. Phys. Chem. B 1998, 102, 3123–3128. [Google Scholar] [CrossRef]
- Kwak, C.H.; Lee, Y.L.; Kim, S.G. Analysis of asymmetric Z-scan measurement for large optical nonlinearities in an amorphous As2S3 thin film. J. Opt. Soc. Am. B 1999, 16, 600–604. [Google Scholar] [CrossRef]
- Burns, W.K.; Bloembergen, N. Third-harmonic generation in absorbing media of cubic or isotropic symmetry. Phys. Rev. B 1971, 4, 3437–3450. [Google Scholar] [CrossRef]
- Hache, F.; Ricard, D.; Flytzanis, C.; Kreibig, U. The optical kerr effect in small metal particles and metal colloids: The case of gold. Appl. Phys. A 1988, 47, 347–357. [Google Scholar] [CrossRef]
- Qian, H.; Xiao, Y.; Liu, Z. Giant Kerr response of ultrathin gold films from quantum size effect. Nat. Commun. 2016, 7, 13153. [Google Scholar] [CrossRef] [PubMed] [Green Version]
- Ganeev, R.A. Nonlinear Optical Refraction and Absorption of Media. In Nonlinear Optical Properties of Materials; Springer: Dordrecht, Germany, 2013. [Google Scholar]
- Palpant, B. Third order nonlinear optical response of metal nanoparticles. In Nonlinear Optical Properties of Matter; Papadopoulos, M.G., Andrzej, J.S., Jerzy, L., Eds.; Springer: Berlin/Heidelberg, Germany, 2006. [Google Scholar]






| Sample | λ, nm | I0, MW/cm2 | Is, MW/cm2 | n2, cm2/W | Reχ(3), esu | β, cm/W | Imχ(3), esu | FoM * |
|---|---|---|---|---|---|---|---|---|
| CdC8 +Ag/Au (1:1) | 1064 | 8.76 | 4.5 | −1.13 × 10−9 | −9.88 × 10−9 | 1.03 × 10−4 | 4.97 × 10−8 | 0.06 |
| CdC8 +Ag/Au (3:1) | 1064 | 9.11 | 36 | 6.56 × 10−10 | 2.8 × 10−8 | 0.5 × 10−5 | 2.41 × 10−9 | 3.7 |
| CdC8 +Au/Ag (3:1) | 1064 | 10.93 | 24 | 4.77 × 10−11 | 2.04 × 10−9 | - | - | - |
| CdC8 +Ag/Au (1:1) | 532 | 11 | 17 | −2.39 × 10−10 | −1.02 × 10−8 | 3.7 × 10−5 | 8.92 × 10−9 | 0.36 |
| CdC8 +Ag/Au (3:1) | 532 | 12.5 | 8 | −3.55 × 10−10 | −1.52 × 10−8 | 2.5 × 10−5 | 6.03 × 10−9 | 0.80 |
| CdC8 +Au/Ag (3:1) | 532 | 12 | 13 | −1.04 × 10−10 | −0.44 × 10−8 | 2.95 × 10−5 | 7.11 × 10−9 | 0.20 |
Publisher’s Note: MDPI stays neutral with regard to jurisdictional claims in published maps and institutional affiliations. |
© 2022 by the authors. Licensee MDPI, Basel, Switzerland. This article is an open access article distributed under the terms and conditions of the Creative Commons Attribution (CC BY) license (https://creativecommons.org/licenses/by/4.0/).
Share and Cite
Rudenko, V.; Tolochko, A.; Bugaychuk, S.; Zhulai, D.; Klimusheva, G.; Yaremchuk, G.; Mirnaya, T.; Garbovskiy, Y. Probing Optical Nonlinearities of Unconventional Glass Nanocomposites Made of Ionic Liquid Crystals and Bimetallic Nanoparticles. Nanomaterials 2022, 12, 924. https://doi.org/10.3390/nano12060924
Rudenko V, Tolochko A, Bugaychuk S, Zhulai D, Klimusheva G, Yaremchuk G, Mirnaya T, Garbovskiy Y. Probing Optical Nonlinearities of Unconventional Glass Nanocomposites Made of Ionic Liquid Crystals and Bimetallic Nanoparticles. Nanomaterials. 2022; 12(6):924. https://doi.org/10.3390/nano12060924
Chicago/Turabian StyleRudenko, Valentyn, Anatolii Tolochko, Svitlana Bugaychuk, Dmytro Zhulai, Gertruda Klimusheva, Galina Yaremchuk, Tatyana Mirnaya, and Yuriy Garbovskiy. 2022. "Probing Optical Nonlinearities of Unconventional Glass Nanocomposites Made of Ionic Liquid Crystals and Bimetallic Nanoparticles" Nanomaterials 12, no. 6: 924. https://doi.org/10.3390/nano12060924
APA StyleRudenko, V., Tolochko, A., Bugaychuk, S., Zhulai, D., Klimusheva, G., Yaremchuk, G., Mirnaya, T., & Garbovskiy, Y. (2022). Probing Optical Nonlinearities of Unconventional Glass Nanocomposites Made of Ionic Liquid Crystals and Bimetallic Nanoparticles. Nanomaterials, 12(6), 924. https://doi.org/10.3390/nano12060924

