Metal–Organic-Framework-Derived Ball-Flower-like Porous Co3O4/Fe2O3 Heterostructure with Enhanced Visible-Light-Driven Photocatalytic Activity
Abstract
:1. Introduction
2. Materials and Methods
2.1. Synthesis of Ball-Flower-like Porous Co3O4/Fe2O3 Heterostructure
2.2. Characterization
2.3. Photocatalysis Measurements
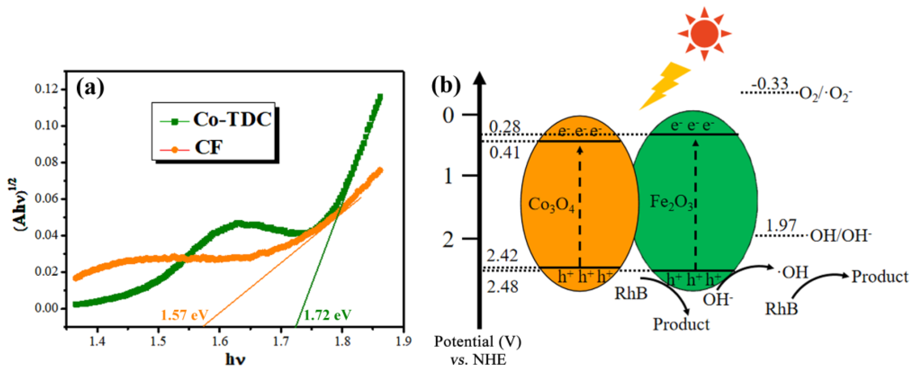
3. Results and Discussion
4. Conclusions
Supplementary Materials
Author Contributions
Funding
Institutional Review Board Statement
Informed Consent Statement
Data Availability Statement
Acknowledgments
Conflicts of Interest
References
- Han, J.; Yang, D.; Hall, D.R.; Liu, J.; Sun, J.; Gu, W.; Tang, S.; Alharbi, H.A.; Jones, P.D.; Krause, H.M.; et al. Toxicokinetics of Brominated Azo Dyes in the Early Life Stages of Zebrafish (Danio rerio) Is Prone to Aromatic Substituent Changes. Environ. Sci. Technol. 2020, 54, 4421–4431. [Google Scholar] [CrossRef] [PubMed]
- Chen, M.; Jia, Y.; Li, H.; Wu, Z.; Huang, T.; Zhang, H. Enhanced pyrocatalysis of the pyroelectric BiFeO3/g-C3N4 heterostructure for dye decomposition driven by cold-hot temperature alternation. J. Adv. Ceram. 2021, 10, 338–346. [Google Scholar] [CrossRef]
- Cao, Q.; Liu, X.; Yuan, K.; Yu, J.; Liu, Q.; Delaunay, J.-J.; Che, R. Gold nanoparticles decorated Ag(Cl,Br) micro-necklaces for efficient and stable SERS detection and visible-light photocatalytic degradation of Sudan, I. Appl. Catal. B Environ. 2017, 201, 607–616. [Google Scholar] [CrossRef]
- Cheng, Y.-F.; Cao, Q.; Zhang, J.; Wu, T.; Che, R. Efficient photodegradation of dye pollutants using a novel plasmonic AgCl microrods array and photo-optimized surface-enhanced Raman scattering. Appl. Catal. B Environ. 2017, 217, 37–47. [Google Scholar] [CrossRef]
- Cao, Q.; Che, R.; Chen, N. Scalable synthesis of Cu2S double-superlattice nanoparticle systems with enhanced UV/visible-light-driven photocatalytic activity. Appl. Catal. B Environ. 2015, 162, 187–195. [Google Scholar] [CrossRef]
- Cao, Q.; Che, R.; Chen, N. Facile and rapid growth of Ag2S microrod arrays as efficient substrates for both SERS detection and photocatalytic degradation of organic dyes. Chem. Commun. 2014, 50, 4931–4933. [Google Scholar] [CrossRef]
- Lee, K.M.; Lai, C.W.; Ngai, K.S.; Juan, J.C. Recent developments of zinc oxide based photocatalyst in water treatment technology: A review. Water Res. 2016, 88, 428–448. [Google Scholar] [CrossRef]
- Sadeghzadeh-Attar, A. Photocatalytic degradation evaluation of N–Fe codoped aligned TiO2 nanorods based on the effect of annealing temperature. J. Adv. Ceram. 2020, 9, 107–122. [Google Scholar] [CrossRef] [Green Version]
- Cao, Q.; Yuan, K.; Liu, Q.; Liang, C.; Wang, X.; Cheng, Y.-F.; Li, Q.; Wang, M.; Che, R. Porous Au–Ag Alloy Particles Inlaid AgCl Membranes As Versatile Plasmonic Catalytic Interfaces with Simultaneous, in Situ SERS Monitoring. ACS Appl. Mater. Interfaces 2015, 7, 18491–18500. [Google Scholar] [CrossRef]
- Cao, Q.; Che, R. Tailoring Au–Ag–S composite microstructures in one-pot for both SERS detection and photocatalytic degradation of plasticizers DEHA and DEHP. ACS Appl. Mater. Interfaces 2014, 6, 7020–7027. [Google Scholar] [CrossRef]
- Cheng, J.; Liu, K.; Li, X.; Huang, L.; Liang, J.; Zheng, G.; Shan, G. Nickel-metal-organic framework nanobelt based composite membranes for efficient Sr2+ removal from aqueous solution. Environ. Sci. Ecotechnol. 2020, 3, 100035. [Google Scholar] [CrossRef]
- Cheng, J.; Liang, J.; Dong, L.; Chai, J.; Zhao, N.; Ullah, S.; Wang, H.; Zhang, D.; Imtiaz, S.; Shan, G.; et al. Self-assembly of 2D-metal–organic framework/graphene oxide membranes as highly efficient adsorbents for the removal of Cs+ from aqueous solutions. RSC Adv. 2018, 8, 40813–40822. [Google Scholar] [CrossRef] [Green Version]
- Dong, J.; Zhang, X.; Dong, X.; Ng, K.H.; Xie, Z.; Chen, I.-W.P.; Ng, Y.H.; Huang, J.; Lai, Y. Coupled porosity and heterojunction engineering: MOF-derived porous Co3O4 embedded on TiO2 nanotube arrays for water remediation. Chemosphere 2021, 274, 129799. [Google Scholar] [CrossRef] [PubMed]
- Cao, Q.; Hao, S.; Wu, Y.; Pei, K.; You, W.; Che, R. Interfacial charge redistribution in interconnected network of Ni2P–Co2P boosting electrocatalytic hydrogen evolution in both acidic and alkaline conditions. Chem. Eng. J. 2021, 424, 130444. [Google Scholar] [CrossRef]
- Li, R.; Fu, Q.; Zou, X.; Zheng, Z.; Luo, W.; Yan, L. Mn–Co–Ni–O thin films prepared by sputtering with alloy target. J. Adv. Ceram. 2020, 9, 64–71. [Google Scholar] [CrossRef] [Green Version]
- Zhang, L.; Liu, Y.; Tan, T.T.; Liu, Y.; Zheng, J.; Yang, Y.; Hou, X.; Feng, L.; Suo, G.; Ye, X.; et al. Thermoelectric performance enhancement by manipulation of Sr/Ti doping in two sublayers of Ca3Co4O9. J. Adv. Ceram. 2020, 9, 769–781. [Google Scholar] [CrossRef]
- Li, H.; Zhang, H.; Thayil, S.; Chang, A.; Sang, X.; Ma, X. Enhanced aging and thermal shock performance of Mn1.95−xCo0.21Ni0.84SrxO4 NTC ceramics. J. Adv. Ceram. 2021, 10, 258–270. [Google Scholar] [CrossRef]
- Liu, L.; Huang, X.; Wei, Z.; Duan, X.; Zhong, B.; Xia, L.; Zhang, T.; Wang, H.; Jia, D.; Zhou, Y.; et al. Solvents adjusted pure phase CoCO3 as anodes for high cycle stability. J. Adv. Ceram. 2021, 10, 509–519. [Google Scholar] [CrossRef]
- Song, B.; Yuan, K.; Wei, Y.; Chen, D.; Meng, F.; Cao, Q.; Song, M.; Liu, H. In-furnace control of arsenic vapor emissions using Fe2O3 microspheres with good sintering resistance. Environ. Sci. Technol. 2021, 55, 8613–8621. [Google Scholar] [CrossRef]
- Ye, F.; Dai, H.; Peng, K.; Li, T.; Chen, J.; Chen, Z.; Li, N. Effect of Mn doping on the microstructure and magnetic properties of CuFeO2 ceramics. J. Adv. Ceram. 2020, 9, 444–453. [Google Scholar] [CrossRef]
- Phor, L.; Chahal, S.; Kumar, V. Zn2+ substituted superparamagnetic MgFe2O4 spinel-ferrites: Investigations on structural and spin-interactions. J. Adv. Ceram. 2020, 9, 576–587. [Google Scholar] [CrossRef]
- Chen, C.; Wang, Y.; Li, Z.; Liu, C.; Gong, W.; Tan, Q.; Han, B.; Yao, F.; Wang, K. Evolution of electromechanical properties in Fe-doped (Pb,Sr)(Zr,Ti)O3 piezoceramics. J. Adv. Ceram. 2021, 10, 587–595. [Google Scholar] [CrossRef]
- Li, J.; Tang, X.; Liu, Q.; Jiang, Y.; Tang, Z. Resistive switching and optical properties of strontium ferrate titanate thin film prepared via chemical solution deposition. J. Adv. Ceram. 2021, 10, 1001–1010. [Google Scholar] [CrossRef]
- Hao, S.; Liu, J.; Cao, Q.; Zhao, Y.; Zhao, X.; Pei, K.; Zhang, J.; Chen, G.; Che, R. In-situ electrochemical pretreatment of hierarchical Ni3S2-based electrocatalyst towards promoted hydrogen evolution reaction with low overpotential. J. Colloid Interface Sci. 2020, 559, 282–290. [Google Scholar] [CrossRef] [PubMed]
- Hao, S.; Cao, Q.; Yang, L.; Che, R. Morphology-optimized interconnected Ni3S2 nanosheets coupled with Ni(OH)2 nanoparticles for enhanced hydrogen evolution reaction. J. Alloys Compd. 2020, 827, 154163. [Google Scholar] [CrossRef]
- Cao, Q.; Yu, J.; Yuan, K.; Zhong, M.; Delaunay, J.-J. Facile and Large-Area Preparation of Porous Ag3PO4 Photoanodes for Enhanced Photoelectrochemical Water Oxidation. ACS Appl. Mater. Interfaces 2017, 9, 19507–19512. [Google Scholar] [CrossRef]
- Yuan, K.; Wang, C.-Y.; Zhu, L.-Y.; Cao, Q.; Yang, J.-H.; Li, X.-X.; Huang, W.; Wang, Y.-Y.; Lu, H.-L.; Zhang, D.W. Fabrication of a Micro-Electromechanical System-Based Acetone Gas Sensor Using CeO2 Nanodot-Decorated WO3 Nanowires. ACS Appl. Mater. Interfaces 2020, 12, 14095–14104. [Google Scholar] [CrossRef]
- Yuan, K.-P.; Zhu, L.-Y.; Cao, Q.; Ma, H.-P.; Tao, J.-J.; Huang, W.; Lu, H.-L. ALD-based hydrothermal facile synthesis of a dense WO3@TiO2–Fe2O3 nanodendrite array with enhanced photoelectrochemical properties. J. Mater. Chem. C 2020, 8, 6756–6762. [Google Scholar] [CrossRef]
- Yuan, K.; Cao, Q.; Lu, H.-L.; Zhong, M.; Zheng, X.; Chen, H.-Y.; Wang, T.; Delaunay, J.-J.; Luo, W.; Zhang, L.; et al. Oxygen-deficient WO3–x@TiO2–x core-shell nanosheets for efficient photoelectrochemical oxidation of neutral water solutions. J. Mater. Chem. A 2017, 5, 14697–14706. [Google Scholar] [CrossRef]
- Yuan, K.; Cao, Q.; Li, X.; Chen, H.-Y.; Deng, Y.; Wang, Y.-Y.; Luo, W.; Lu, H.-L.; Zhang, D.W. Synthesis of WO3@ZnWO4@ZnO–ZnO hierarchical nanocactus arrays for efficient photoelectrochemical water splitting. Nano Energy 2017, 41, 543–551. [Google Scholar] [CrossRef]
- Lassoued, A.; Lassoued, M.S.; Dkhil, B.; Ammar, S.; Gadri, A. Synthesis, photoluminescence and magnetic properties of iron oxide (α-Fe2O3) nanoparticles through precipitation or hydrothermal methods. Phys. E Low Dimens. Syst. Nanostructures 2018, 101, 212–219. [Google Scholar] [CrossRef]
- Zhang, D.; Liu, T.; Cheng, J.; Cao, Q.; Zheng, G.; Liang, S.; Wang, H.; Cao, M.S. Lightweight and high-performance microwave absorber based on 2D WS2–RGO heterostructures. Nano Micro Lett. 2019, 11, 38. [Google Scholar] [CrossRef] [PubMed] [Green Version]
- Cao, Q.; Yu, J.; Cao, Y.; Delaunay, J.-J.; Che, R. Unusual effects of vacuum annealing on large-area Ag3PO4 microcrystalline film photoanode boosting cocatalyst- and scavenger-free water splitting. J. Mater. 2021, 7, 929–939. [Google Scholar] [CrossRef]
- Cao, Q.; Cheng, Y.-F.; Bi, H.; Zhao, X.; Yuan, K.; Liu, Q.; Li, Q.; Wang, M.; Che, R. Crystal defect-mediated band-gap engineering: A new strategy for tuning the optical properties of Ag2Se quantum dots toward enhanced hydrogen evolution performance. J. Mater. Chem. A 2015, 3, 20051–20055. [Google Scholar] [CrossRef]
- Lima, N.A.; Alencar, L.D.S.; Siu-Li, M.; Feitosa, C.A.C.; Mesquita, A.; M’peko, J.-C.; Bernardi, M.I.B. NiWO4 powders prepared via polymeric precursor method for application as ceramic luminescent pigments. J. Adv. Ceram. 2020, 9, 55–63. [Google Scholar] [CrossRef] [Green Version]
- Luchechko, A.; Shpotyuk, Y.; Kravets, O.; Zaremba, O.; Szmuc, K.; Cebulski, J.; Ingram, A.; Golovchak, R.; Shpotyuk, O. Microstructure and luminescent properties of Eu3+-activated MgGa2O4:Mn2+ ceramic phosphors. J. Adv. Ceram. 2020, 9, 432–443. [Google Scholar] [CrossRef]
- Liu, N.; Mei, L.; Bin, J.; Zhang, Z.; Peng, Z. Effect of anionic group [SiO4]4−/[PO4]3− on the luminescence properties of Dy3+-doped tungstate structural compounds. J. Adv. Ceram. 2021, 10, 843–851. [Google Scholar] [CrossRef]
- Cao, Q.; Che, R. Synthesis of near-infrared fluorescent, elongated ring-like Ag2Se colloidal nanoassemblies. RSC Adv. 2014, 4, 16641–16646. [Google Scholar] [CrossRef]
- Li, C.; Cao, Q.; Wang, F.; Xiao, Y.; Li, Y.; Delaunay, J.-J.; Zhu, H. Engineering graphene and TMDs based van der Waals heterostructures for photovoltaic and photoelectrochemical solar energy conversion. Chem. Soc. Rev. 2018, 47, 4981–5037. [Google Scholar] [CrossRef]
- Shao, Y.; Feng, K.; Guo, J.; Zhang, R.; He, S.; Wei, X.; Lin, Y.; Ye, Z.; Chen, K. Electronic structure and enhanced photoelectrocatalytic performance of RuxZn1−xO/Ti electrodes. J. Adv. Ceram. 2021, 10, 1025–1041. [Google Scholar] [CrossRef]
- Zhong, M.; Feng, Q.; Yuan, C.; Liu, X.; Zhu, B.; Meng, L.; Zhou, C.; Xu, J.; Wang, J.; Rao, G. Photocurrent density and electrical properties of Bi0.5Na0.5TiO3–BaNi0.5Nb0.5O3 ceramics. J. Adv. Ceram. 2021, 10, 1119–1128. [Google Scholar] [CrossRef]
- Siahroudi, M.G.; Daryakenari, A.A.; Molamahaleh, Y.B.; Cao, Q.; Daryakenari, M.A.; Delaunay, J.-J.; Siavoshi, H.; Molaei, F. Ethylene glycol assisted solvo-hydrothermal synthesis of NGr–Co3O4 nanostructures for ethanol electrooxidation. Int. J. Hydrogen Energy 2020, 45, 30357–30366. [Google Scholar] [CrossRef]
- Yu, J.; Wang, J.; Long, X.; Chen, L.; Cao, Q.; Wang, J.; Qiu, C.; Lim, J.; Yang, S. Formation of FeOOH Nanosheets Induces Substitutional Doping of CeO2−x with High-Valence Ni for Efficient Water Oxidation. Adv. Energy Mater. 2021, 11, 2002731. [Google Scholar] [CrossRef]
- Li, Z.; Dong, T.; Zhang, Y.; Wu, L.; Li, J.; Wang, X.; Fu, X. Studies on In(OH)ySz solid solutions: Syntheses, characterizations, electronic structure, and visible-light-driven photocatalytic activities. J. Phys. Chem. C 2007, 111, 4727–4733. [Google Scholar] [CrossRef]
- Zhao, Y.; Song, M.; Cao, Q.; Sun, P.; Chen, Y.; Meng, F. The superoxide radicals’ production via persulfate activated with CuFe2O4@Biochar composites to promote the redox pairs cycling for efficient degradation of o-nitrochlorobenzene in soil. J. Hazard. Mater. 2020, 400, 122887. [Google Scholar] [CrossRef] [PubMed]
- Meng, F.; Song, M.; Song, B.; Wei, Y.; Cao, Q.; Cao, Y. Enhanced degradation of Rhodamine B via α-Fe2O3 microspheres induced persulfate to generate reactive oxidizing species. Chemosphere 2020, 243, 125322. [Google Scholar] [CrossRef]
- Pei, Z.-T.; Xu, R.-R.; Liu, H.-Y.; Wang, W.-Q.; Zhang, M.; Zhang, L.-L.; Zhang, J.; Wang, W.-Q.; Yu, R.; Sun, L.-W. Development and application of a novel whole sediment toxicity test using immobilized sediment and Chlorella vulgaris. Ecotoxicol. Environ. Saf. 2020, 189, 109979. [Google Scholar] [CrossRef]





Publisher’s Note: MDPI stays neutral with regard to jurisdictional claims in published maps and institutional affiliations. |
© 2022 by the authors. Licensee MDPI, Basel, Switzerland. This article is an open access article distributed under the terms and conditions of the Creative Commons Attribution (CC BY) license (https://creativecommons.org/licenses/by/4.0/).
Share and Cite
Cao, Q.; Li, Q.; Pi, Z.; Zhang, J.; Sun, L.-W.; Xu, J.; Cao, Y.; Cheng, J.; Bian, Y. Metal–Organic-Framework-Derived Ball-Flower-like Porous Co3O4/Fe2O3 Heterostructure with Enhanced Visible-Light-Driven Photocatalytic Activity. Nanomaterials 2022, 12, 904. https://doi.org/10.3390/nano12060904
Cao Q, Li Q, Pi Z, Zhang J, Sun L-W, Xu J, Cao Y, Cheng J, Bian Y. Metal–Organic-Framework-Derived Ball-Flower-like Porous Co3O4/Fe2O3 Heterostructure with Enhanced Visible-Light-Driven Photocatalytic Activity. Nanomaterials. 2022; 12(6):904. https://doi.org/10.3390/nano12060904
Chicago/Turabian StyleCao, Qi, Qingqing Li, Zhichao Pi, Jing Zhang, Li-Wei Sun, Junzhou Xu, Yunyi Cao, Junye Cheng, and Ye Bian. 2022. "Metal–Organic-Framework-Derived Ball-Flower-like Porous Co3O4/Fe2O3 Heterostructure with Enhanced Visible-Light-Driven Photocatalytic Activity" Nanomaterials 12, no. 6: 904. https://doi.org/10.3390/nano12060904
APA StyleCao, Q., Li, Q., Pi, Z., Zhang, J., Sun, L.-W., Xu, J., Cao, Y., Cheng, J., & Bian, Y. (2022). Metal–Organic-Framework-Derived Ball-Flower-like Porous Co3O4/Fe2O3 Heterostructure with Enhanced Visible-Light-Driven Photocatalytic Activity. Nanomaterials, 12(6), 904. https://doi.org/10.3390/nano12060904
