Nanofluid Heat Transfer: Enhancement of the Heat Transfer Coefficient inside Microchannels
Abstract
:1. Introduction
2. Review Study of the Heat Transfer Coefficient and the Effects of Concentration and Characteristics of Nanofluids on Thermal Conductivity
2.1. Variation in the Thermal Conductivity of Various Base Fluids with Temperature
2.2. Effects of Nanoparticle Material on Thermal Conductivity
2.3. Effects of Nanoparticle Concentration on Thermal Conductivity
2.4. Effects of Nanoparticle Shape on Thermal Conductivity
2.5. Effects of Nanoparticle Size on Thermal Conductivity
2.6. Effects of Surfactant on Thermal Conductivity
2.7. Thermal Conductivity of Ternary Nanofluids
3. Review on the Effects of Concentration and Characteristics of Nanofluids on Viscosity
3.1. Effects of Base Liquid on Viscosity
3.2. Effects of Nanoparticle Material on Viscosity
3.3. Effects of Nanoparticle Concentration on Viscosity
3.4. Effects of Nanoparticle Shape on Viscosity
3.5. Effects of Nanoparticle Size on Viscosity
3.6. Effects of Surfactant on Viscosity
3.7. Viscosity of Ternary Nanofluids
4. Review on the Optimization of Effects of Nanoparticles
5. Review on the Effects of Concentration and Characteristics of Nanofluids on the Heat Transfer Coefficient
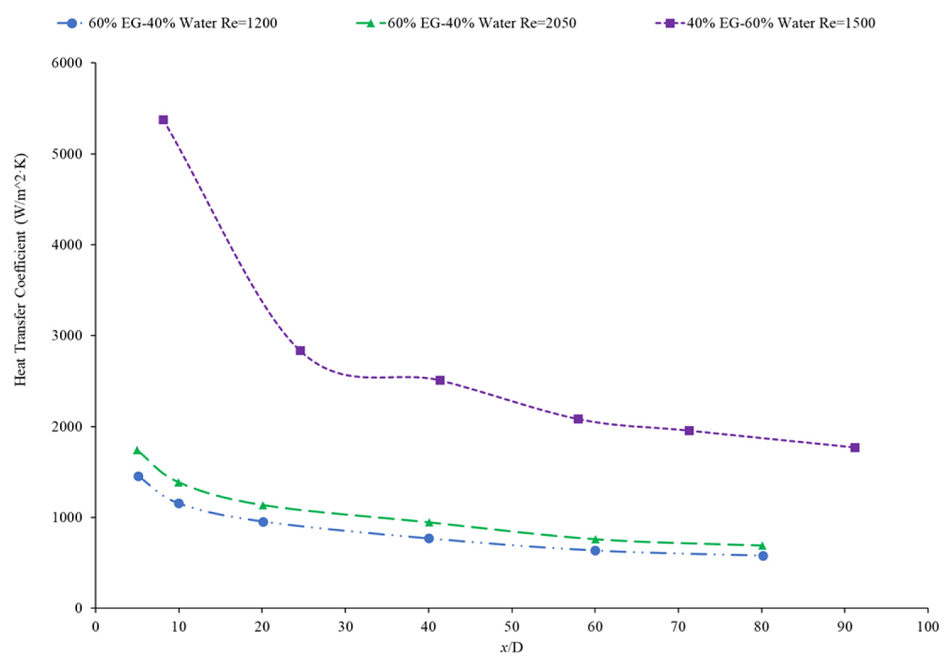
5.1. Effects of Base Liquid on the Heat Transfer Coefficient
5.2. Effects of Nanoparticle Material on the Heat Transfer Coefficient
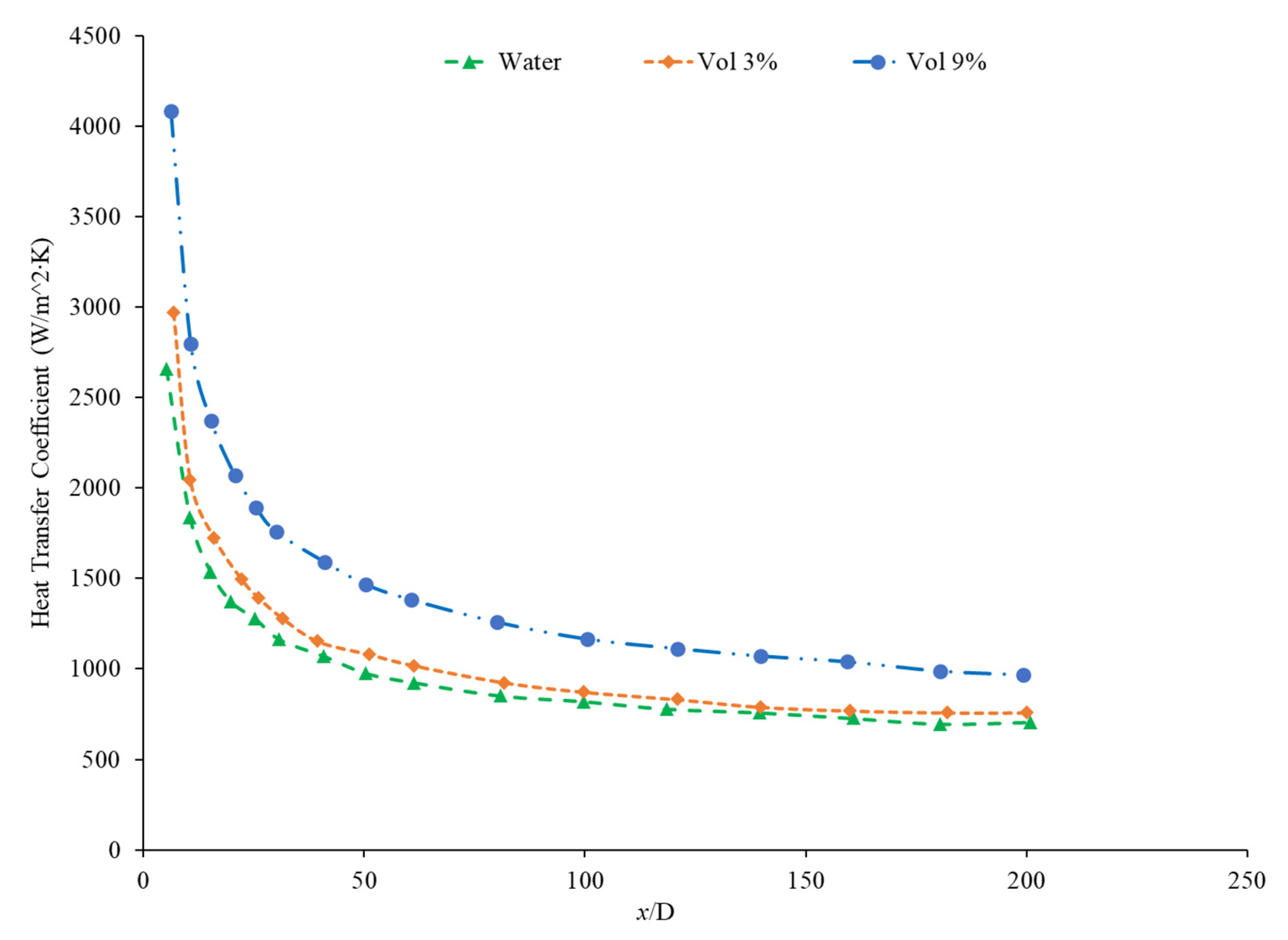
5.3. Effects of Nanoparticle Concentration on the Heat Transfer Coefficient
5.4. Effects of Nanoparticle Shape on the Heat Transfer Coefficient
5.5. Effects of Nanoparticle Size on the Heat Transfer Coefficient
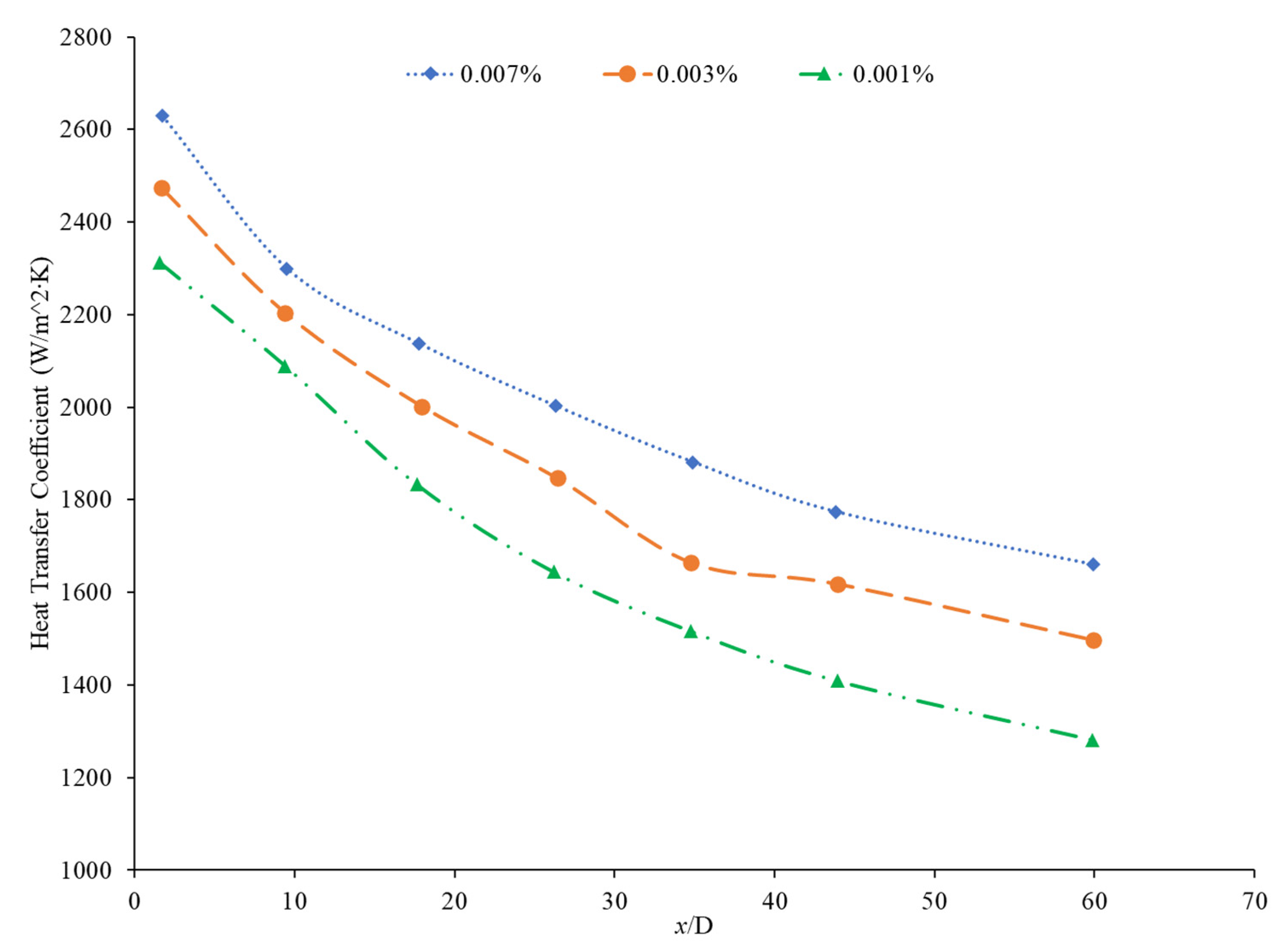
5.6. Effects of Surfactant on the Heat Transfer Coefficient
5.7. Effects of Flow Regime on the Nanofluid Heat Transfer Coefficient
5.7.1. Laminar Fluid Flow
5.7.2. Turbulent Fluid Flow
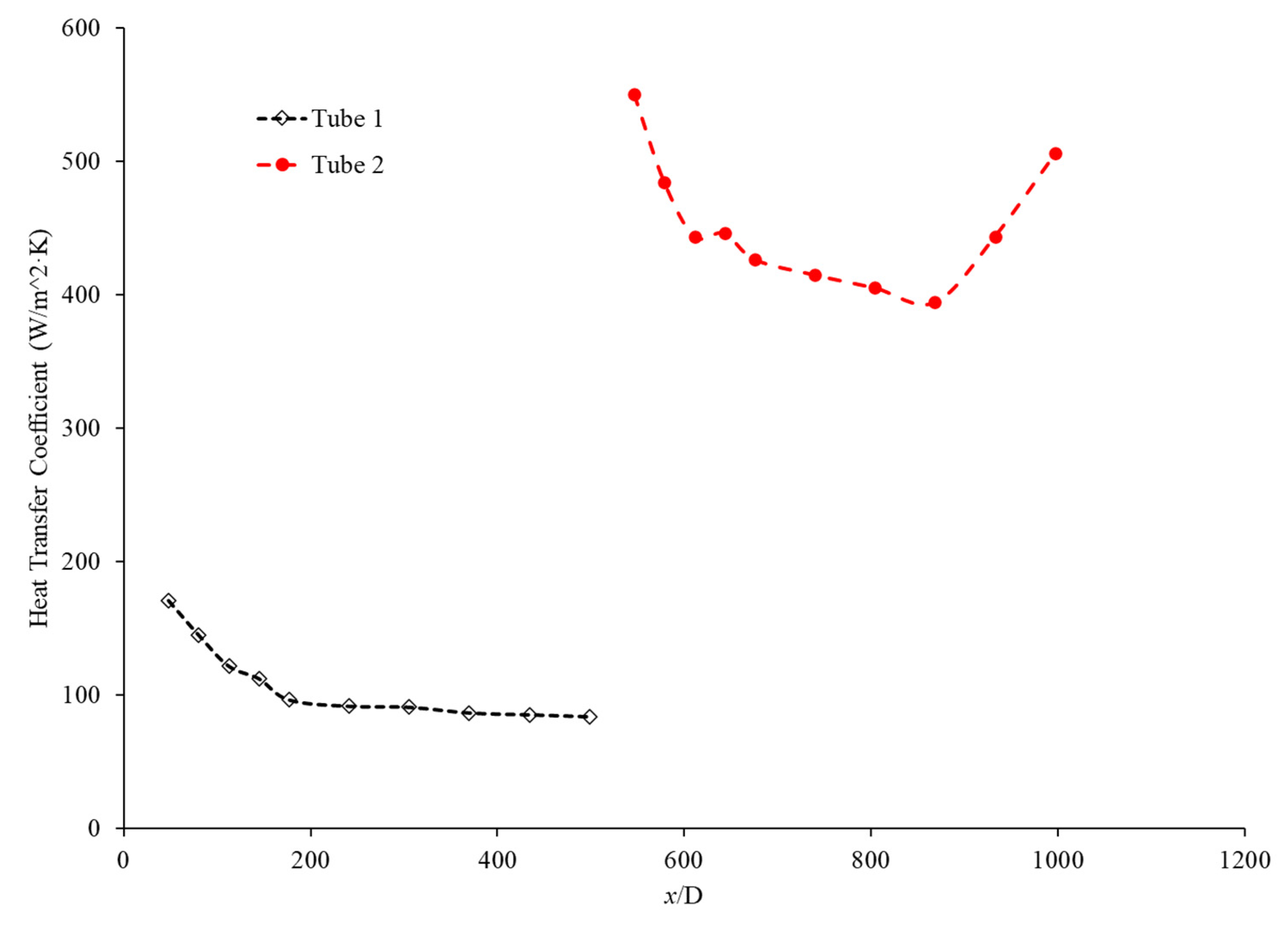
5.8. Effects of Channel Characteristics on the Heat Transfer Coefficient
5.9. Effect of Specific Heat of Heat Transfer Coefficient
6. Experimental Setup
6.1. Heating System
6.2. Temperature Measurement
6.3. Pressure Measurement
6.4. Data Acquisition Instrumentation
6.5. Nanofluid Preparation and Related Calculations
7. Materials and Methods—Nanofluid Preparation and Related Calculations
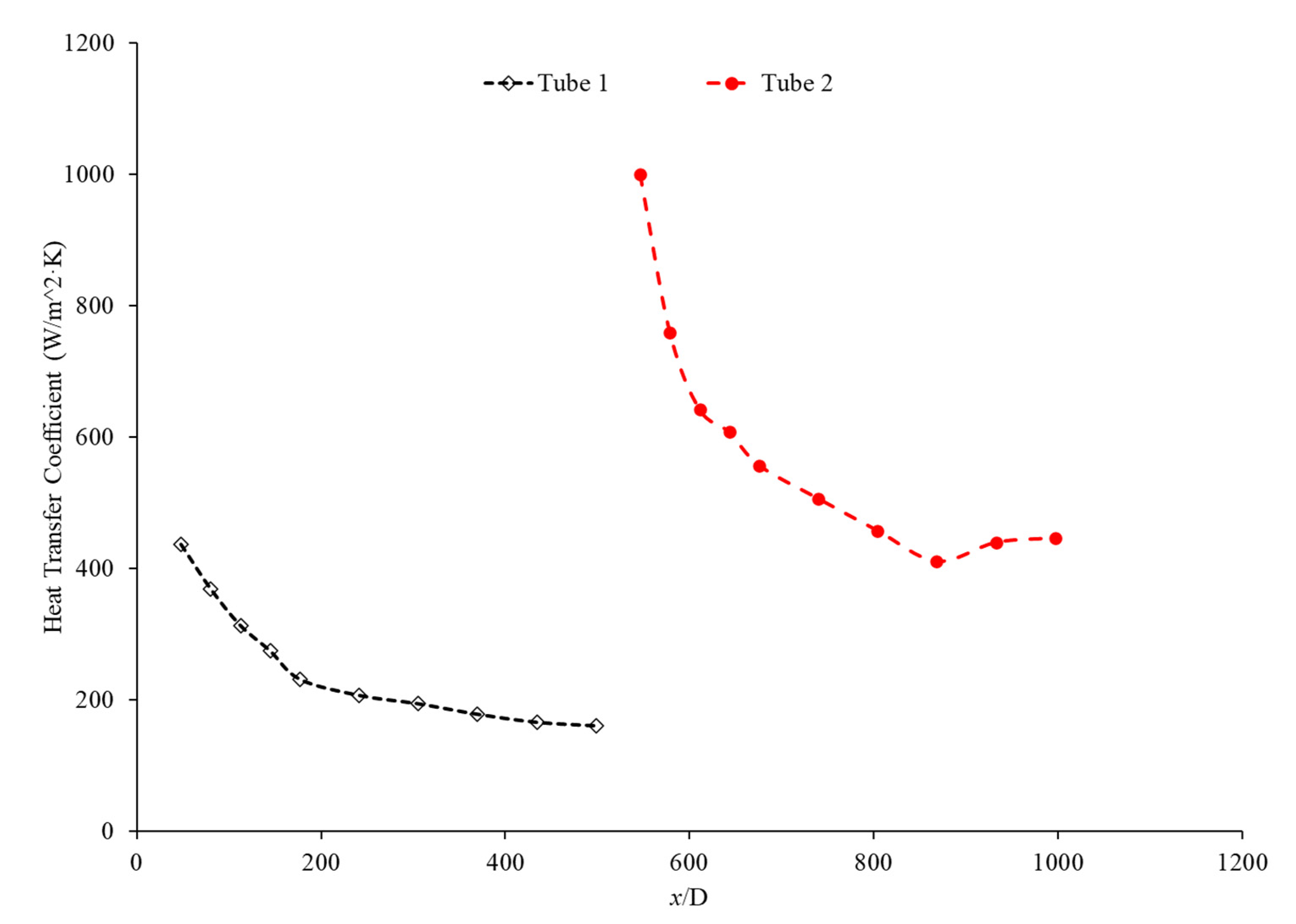
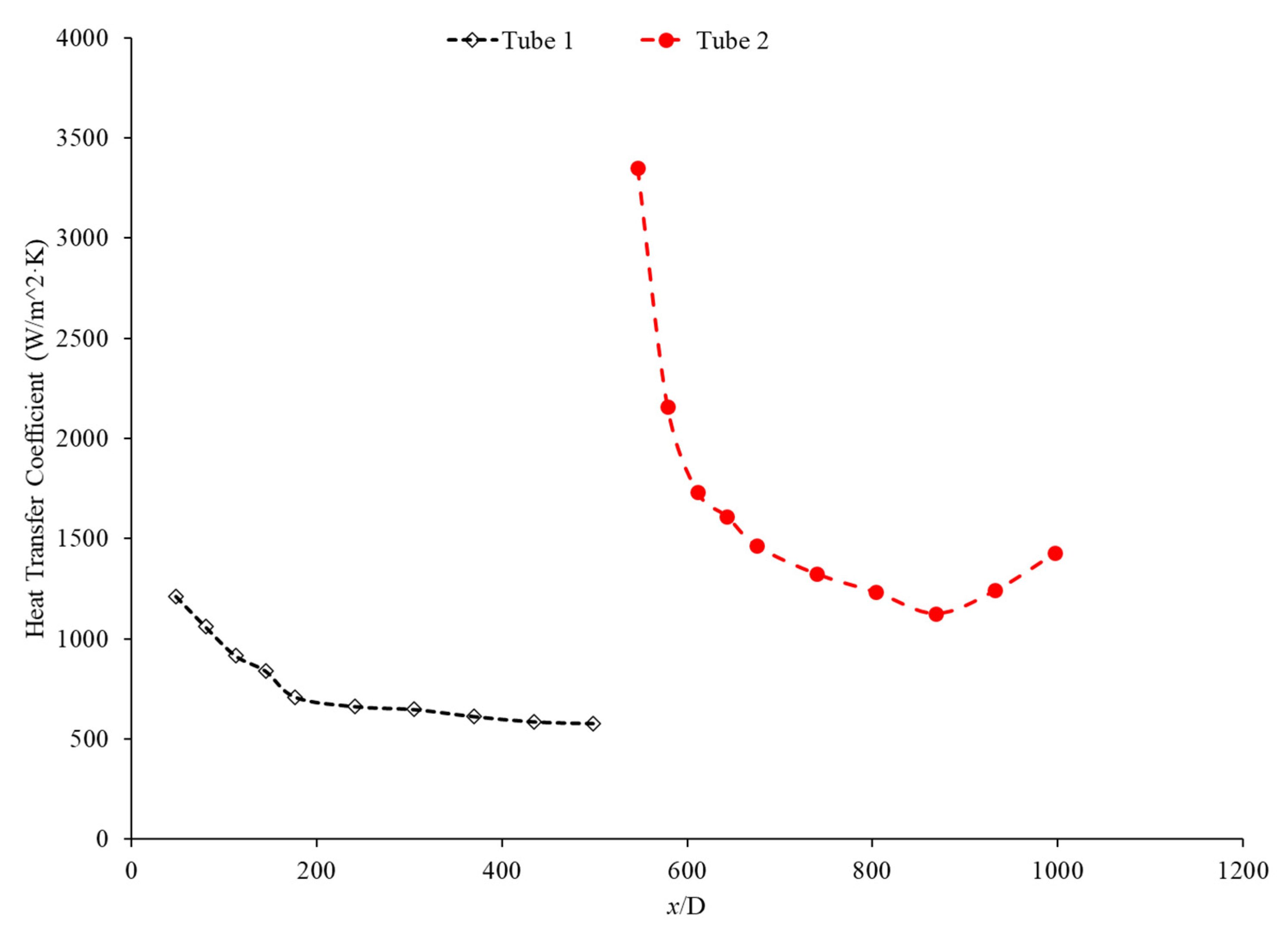
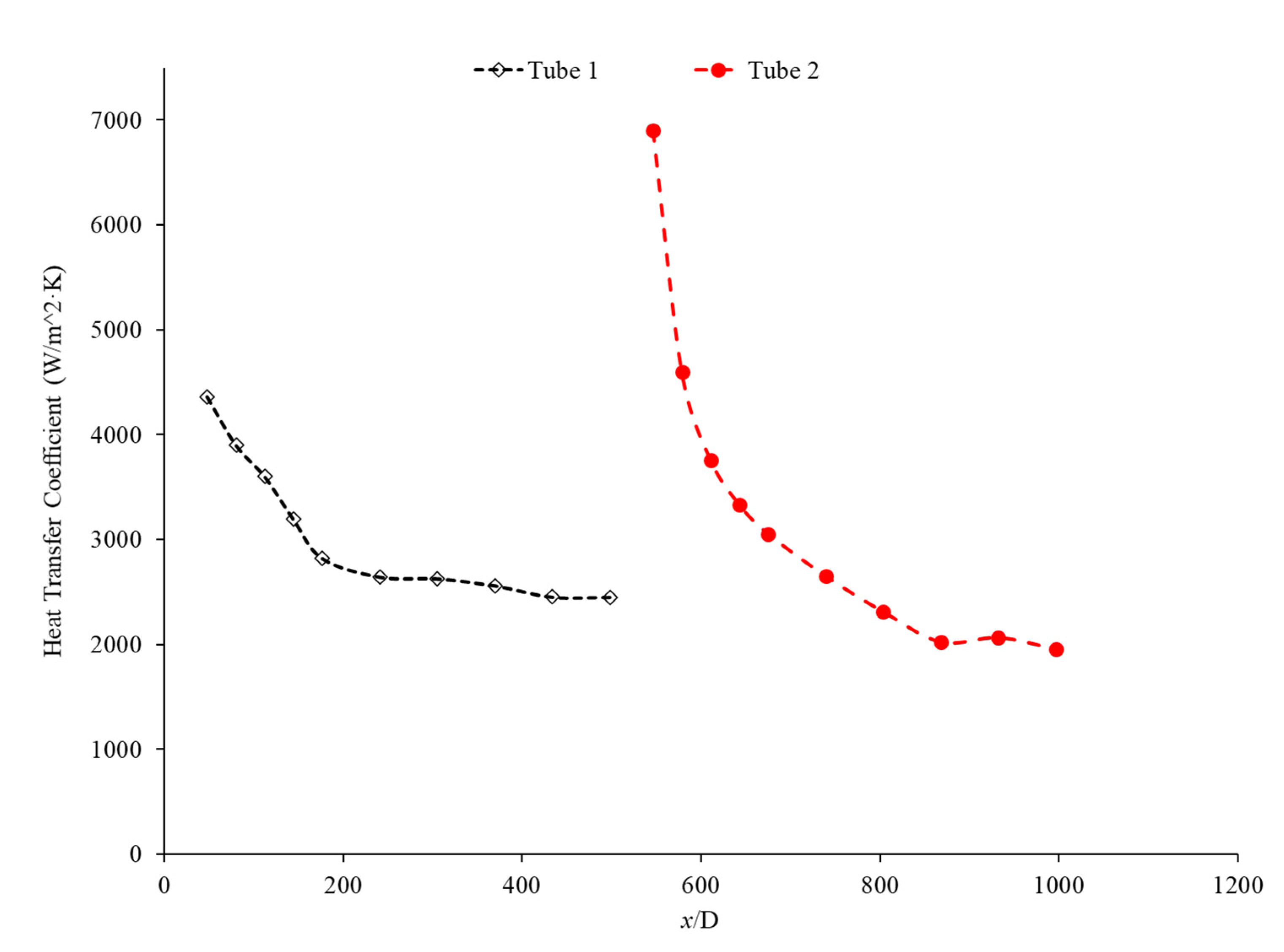
8. Results and Discussion
9. Conclusions
Author Contributions
Funding
Data Availability Statement
Acknowledgments
Conflicts of Interest
References
- Choi, S.U.S.; Eastman, J.A. Enhancing Thermal Conductivity of Fluids with Nanoparticles. In Proceedings of the International Mechanical Engineering Congress and Exhibition, San Francisco, CA, USA, 12–17 November 1995. [Google Scholar]
- Minea, A.A.; Moldoveanu, M.G. Studies on Al2O3, CuO, and TiO2 water-based nanofluids: A comparative approach in laminar and turbulent flow. J. Eng. Thermophys. 2017, 26, 291–301. [Google Scholar] [CrossRef]
- Chabi, A.R.; Zarrinabadi, S.; Peyghambarzadeh, S.M.; Hashemabadi, S.H.; Salimi, M. Local convective heat transfer coefficient and friction factor of CuO/water nanofluid in a microchannel heat sink. Heat Mass Transf. 2017, 53, 661–671. [Google Scholar] [CrossRef]
- He, Y.; Jin, Y.; Chen, H.; Ding, Y.; Cang, D.; Lu, H. Heat transfer and flow behaviour of aqueous suspensions of TiO2 nanoparticles (nanofluids) flowing upward through a vertical pipe. Int. J. Heat Mass Transf. 2007, 50, 2272–2281. [Google Scholar] [CrossRef]
- Sharma, K.V.; Sundar, L.S.; Sarma, P.K. Estimation of heat transfer coefficient and friction factor in the transition flow with low volume concentration of Al2O3 nanofluid flowing in a circular tube and with twisted tape insert. Int. Commun. Heat Mass Transf. 2009, 36, 503–507. [Google Scholar] [CrossRef]
- Hussien, A.A.; Abdullah, M.Z.; Al-Nimr, M.A. Single-phase heat transfer enhancement in micro/minichannels using nanofluids: Theory and applications. Appl. Energy 2016, 164, 733–755. [Google Scholar] [CrossRef]
- Moreira, T.A.; Moreira, D.C.; Ribatski, G. Nanofluids for heat transfer applications: A review. J. Braz. Soc. Mech. Sci. Eng. 2018, 40, 1–29. [Google Scholar] [CrossRef]
- Chiam, H.W.; Azmi, W.H.; Usri, N.A.; Mamat, R.; Adam, N.M. Thermal conductivity and viscosity of Al2O3 nanofluids for different based ratio of water and ethylene glycol mixture. Exp. Therm. Fluid Sci. 2017, 81, 420–429. [Google Scholar] [CrossRef] [Green Version]
- Pryazhnikov, M.I.; Minakov, A.V.; Rudyak, V.Y.; Guzei, D.V. Thermal conductivity measurements of nanofluids. Int. J. Heat Mass Transf. 2017, 104, 1275–1282. [Google Scholar] [CrossRef] [Green Version]
- Khairul, M.; Shah, K.; Doroodchi, E.; Azizian, R.; Moghtaderi, B. Effects of surfactant on stability and thermo-physical properties of metal oxide nanofluids. Int. J. Heat Mass Transf. 2016, 98, 778–787. [Google Scholar] [CrossRef]
- Yu, W.; Xie, H.; Li, Y.; Chen, L. Experimental investigation on thermal conductivity and viscosity of aluminum nitride nanofluid. Particuology 2011, 9, 187–191. [Google Scholar] [CrossRef]
- Lee, J.; Hwang, K.S.; Jang, S.P.; Lee, B.H.; Kim, J.H.; Choi, S.U.S.; Choi, C.J. Effective viscosities and thermal conductivities of aqueous nanofluids containing low volume concentrations of Al2O3 nanoparticles. Int. J. Heat Mass Transf. 2008, 51, 2651–2656. [Google Scholar] [CrossRef]
- Nadooshan, A.A.; Eshgarf, H.; Afrand, M. Measuring the viscosity of Fe3O4-MWCNTs/EG hybrid nanofluid for evaluation of thermal efficiency: Newtonian and non-Newtonian behavior. J. Mol. Liq. 2018, 253, 169–177. [Google Scholar] [CrossRef]
- Garoosi, F. Presenting two new empirical models for calculating the effective dynamic viscosity and thermal conductivity of nanofluids. Powder Technol. 2020, 366, 788–820. [Google Scholar] [CrossRef]
- Sundar, L.S.; Singh, M.K.; Sousa, A.C.M. Experimental thermal conductivity and viscosity of nanodiamond-based propylene glycol and water mixtures. Diam. Relat. Mater. 2016, 69, 49–60. [Google Scholar] [CrossRef]
- Akhavan-Zanjani, H.; Saffar-Avval, M.; Mansourkiaei, M.; Sharif, F.; Ahadi, M. Experimental investigation of laminar forced convective heat transfer of Graphene–water nanofluid inside a circular tube. Int. J. Therm. Sci. 2016, 100, 316–323. [Google Scholar] [CrossRef]
- Godson, L.; Raja, B.; Lal, D.M.; Wongwises, S. Enhancement of heat transfer using nanofluids—An overview. Renew. Sustain. Energy Rev. 2010, 14, 629–641. [Google Scholar] [CrossRef]
- Xie, H.; Li, Y.; Yu, W. Intriguingly high convective heat transfer enhancement of nanofluid coolants in laminar flows. Phys. Lett. A 2010, 374, 2566–2568. [Google Scholar] [CrossRef]
- Patel, H.E.; Sundararajan, T.; Das, S.K. An experimental investigation into the thermal conductivity enhancement in oxide and metallic nanofluids. J. Nanoparticle Res. 2010, 12, 1015–1031. [Google Scholar] [CrossRef]
- Sulgani, M.T.; Karimipour, A. Improve the thermal conductivity of 10w40-engine oil at various temperature by addition of Al2O3/Fe2O3 nanoparticles. J. Mol. Liq. 2019, 283, 660–666. [Google Scholar] [CrossRef]
- Sundar, L.S.; Ramana, E.V.; Singh, M.K.; Sousa, A.C.M. Thermal conductivity and viscosity of stabilized ethylene glycol and water mixture Al2O3 nanofluids for heat transfer applications: An experimental study. Int. Commun. Heat Mass Transf. 2014, 56, 86–95. [Google Scholar] [CrossRef]
- Chon, C.H.; Kihm, K.D. Empirical correlation finding the role of temperature and particle size for nanofluid (Al2O3) thermal conductivity enhancement. Appl. Phys. Lett. 2005, 87, 153107. [Google Scholar] [CrossRef]
- Pastoriza-Gallego, M.J.; Lugo, L.; Legido, J.L.; Piñeiro, M.M. Thermal conductivity and viscosity measurements of ethylene glycol-based Al2O3 nanofluids. Nanoscale Res. Lett. 2011, 6, 1–11. [Google Scholar] [CrossRef] [PubMed] [Green Version]
- Gangadevi, R.; Vinayagam, B.K. Experimental determination of thermal conductivity and viscosity of different nanofluids and its effect on a hybrid solar collector. J. Therm. Anal. Calorim. 2019, 136, 199–209. [Google Scholar] [CrossRef]
- Xing, M.; Yu, J.; Wang, R. Experimental study on the thermal conductivity enhancement of water based nanofluids using different types of carbon nanotubes. Int. J. Heat Mass Transf. 2015, 88, 609–616. [Google Scholar] [CrossRef]
- Sridhar, S.V.; Karuppasamy, R.; Sivakumar, G.D. Experimental Investigation of Heat Transfer Enhancement of Shell and Tube Heat Exchanger Using SnO2-Water and Ag-Water Nanofluids. J. Therm. Sci. Eng. Appl. 2020, 12, 153107. [Google Scholar] [CrossRef]
- Singh, K.; Kumar, S. An Experimental Study on Characterization of CuO/Water Nanofluid. Int. Res. J. Eng. Technol. 2020, 7, 400–404. [Google Scholar]
- Turgut, A.; Tavman, I.; Chirtoc, M.; Schuchmann, H.P.; Sauter, C.; Tavman, S. Thermal Conductivity and Viscosity Measurements of Water-Based TiO2 Nanofluids. Int. J. Thermophys. 2009, 30, 1213–1226. [Google Scholar] [CrossRef]
- Sundar, L.S.; Hortiguela, M.J.; Singh, M.K.; Sousa, A.C.M. Thermal conductivity and viscosity of water based nanodiamond (ND) nanofluids: An experimental study. Int. Commun. Heat Mass Transf. 2016, 76, 245–255. [Google Scholar] [CrossRef]
- Lodhi, M.S.; Sheorey, T.; Dutta, G. Single-phase fluid flow and heat transfer characteristics of nanofluid in a circular microchannel: Development of flow and heat transfer correlations. J. Mech. Eng. Sci. 2020, 234, 3689–3708. [Google Scholar] [CrossRef]
- Afrand, M.; Toghraie, D.; Sina, N. Experimental study on thermal conductivity of water-based Fe3O4 nanofluid: Development of a new correlation and modeled by artificial neural network. Int. Commun. Heat Mass Transf. 2016, 75, 262–269. [Google Scholar] [CrossRef]
- Yeganeh, M.; Shahtahmasebi, N.; Kompany, A.; Goharshadi, E.K.; Youssefi, A.; Siller, L. Volume fraction and temperature variations of the effective thermal conductivity of nanodiamond fluids in deionized water. Int. J. Heat Mass Transf. 2010, 53, 3186–3192. [Google Scholar] [CrossRef]
- Sundar, L.S.; Singh, M.K.; Sousa, A.C.M. Investigation of thermal conductivity and viscosity of Fe3O4 nanofluid for heat transfer applications. Int. Commun. Heat Mass Transf. 2013, 44, 7–14. [Google Scholar] [CrossRef]
- Godson, L.; Raja, B.; Lal, D.M.; Wongwises, S. Experimental Investigation on the Thermal Conductivity and Viscosity of Silver-Deionized Water Nanofluid. J. Therm. Energy Gener. Transp. Storage Convers. 2010, 23, 317–332. [Google Scholar] [CrossRef]
- Esfe, M.H.; Afrand, M.; Yan, W.; Akbari, M. Applicability of artificial neural network and nonlinear regression to predict thermal conductivity modeling of Al2O3–water nanofluids using experimental data. Int. Commun. Heat Mass Transf. 2015, 66, 246–249. [Google Scholar] [CrossRef]
- Maheshwary, P.B.; Handa, C.C.; Nemade, K.R. A comprehensive study of effect of concentration, particle size and particle shape on thermal conductivity of titania/water based nanofluid. Appl. Therm. Eng. 2017, 119, 79–88. [Google Scholar] [CrossRef]
- Main, K.; Eberl, B.; McDaniel, D.; Tikadar, A.; Paul, T.C.; Khan, J.A. Nanoparticles shape effect on viscosity and thermal conductivity of ionic liquids based nanofluids. In Proceedings of the 5th Thermal and Fluids Engineering Conference (TFEC), New Orleans, LA, USA, 5–8 April 2020. [Google Scholar] [CrossRef]
- Zhu, D.; Wang, L.; Yu, W.; Xie, H. Intriguingly high thermal conductivity increment for CuO nanowires contained nanofluids with low viscosity. Sci. Rep. 2018, 8, 5282. [Google Scholar] [CrossRef] [Green Version]
- Omrani, A.N.; Esmaeilzadeh, E.; Jafari, M.; Behzadmehr, A. Effects of multi walled carbon nanotubes shape and size on thermal conductivity and viscosity of nanofluids. Diam. Relat. Mater. 2019, 93, 96–104. [Google Scholar] [CrossRef]
- Kwek, D.; Crivoi, A.; Duan, F. Effects of Temperature and Particle Size on the Thermal Property Measurements of Al2O3−Water Nanofluids. J. Chem. Eng. Data 2010, 55, 5690–5695. [Google Scholar] [CrossRef]
- Das, P.K.; Islam, N.; Santra, A.K.; Ganguly, R. Experimental investigation of thermophysical properties of Al2O3–water nanofluid: Role of surfactants. J. Mol. Liq. 2017, 237, 304–312. [Google Scholar] [CrossRef]
- Das, P.K.; Mallik, A.K.; Ganguly, R.; Santra, A.K. Stability and thermophysical measurements of TiO2 (anatase) nanofluids with different surfactants. J. Mol. Liq. 2018, 254, 98–107. [Google Scholar] [CrossRef]
- Freitas, S.S.; Silveria, V., Jr.; Jabardo, J.M.S.; Arce, A.C. MWCNT and COOH–MWCNT aqueous nanofluids: Thermophysical and rheological characterization. J. Braz. Soc. Mech. Sci. Eng. 2020, 42, 439. [Google Scholar] [CrossRef]
- Bouguerra, N.; Khabou, A.; Poncet, S.; Elkoun, S. Thermal Conductivity of Al2O3/Water-Based Nanofluids: Revisiting the Influences of pH and Surfactant. Int. J. Mech. Aerosp. Ind. Mechatron. Manuf. Eng. 2016, 10, 1912–1921. [Google Scholar]
- Li, X.F.; Zhu, D.S.; Wang, X.J.; Wang, N.; Gao, J.W.; Li, H. Thermal conductivity enhancement dependent pH and chemical surfactant for Cu-H2O nanofluids. Thermochim. Acta 2008, 469, 98–103. [Google Scholar] [CrossRef]
- Animasaun, I.L.; Yook, S.; Muhammad, T.; Mathew, A. Dynamics of ternary-hybrid nanofluid subject to magnetic flux density and heat source or sink on a convectively heated surface. Surf. Interfaces 2022, 28, 101654. [Google Scholar] [CrossRef]
- Adun, H.; Kavaz, D.; Dagbasi, M. Review of ternary hybrid nanofluid: Synthesis, stability, thermophysical properties, heat transfer applications, and environmental effects. J. Clean. Prod. 2021, 328, 129525. [Google Scholar] [CrossRef]
- Elnaqeeb, T.; Animasaun, I.L.; Shah, N.A. Ternary-hybrid nanofluids: Significance of suction and dual-stretching on three-dimensional flow of water conveying nanoparticles with various shapes and densities. Z. Nat. A 2021, 76, 231–243. [Google Scholar] [CrossRef]
- Mousavi, S.M.; Esmaeilzadeh, F.; Wang, X.P. Effects of temperature and particles volume concentration on the thermophysical properties and the rheological behavior of CuO/MgO/TiO2 aqueous ternary hybrid nanofluid. J. Therm. Anal. Calorim. 2019, 137, 879–901. [Google Scholar] [CrossRef]
- Nabil, M.F.; Azmi, W.H.; Hamid, K.A.; Mamat, R.; Hagos, F.Y. An experimental study on the thermal conductivity and dynamic viscosity of TiO2-SiO2 nanofluids in water: Ethylene glycol mixture. Int. Commun. Heat Mass Transf. 2017, 86, 181–189. [Google Scholar] [CrossRef]
- Wang, F.; Han, L.; Zhang, Z.; Fang, X.; Shi, J.; Ma, W. Surfactant-free ionic liquid-based nanofluids with remarkable thermal conductivity enhancement at very low loading of graphene. Nanoscale Res. Lett. 2012, 7, 314. [Google Scholar] [CrossRef] [Green Version]
- Al-Waeli, A.H.A.; Chaichan, M.T.; Sopian, K.; Kazem, H.A. Influence of the base fluid on the thermo-physical properties of PV/T nanofluids with surfactant. Case Stud. Therm. Eng. 2019, 13, 100340. [Google Scholar] [CrossRef]
- Kumar, V.; Sahoo, R.R. Viscosity and thermal conductivity comparative study for hybrid nanofluid in binary base fluids. Heat Transfer 2019, 48, 3144–3161. [Google Scholar] [CrossRef]
- Sundar, L.S.; Ramana, E.V.; Singh, M.; Sousa, A.D. Viscosity of low volume concentrations of magnetic Fe3O4 nanoparticles dispersed in ethylene glycol and water mixture. Chem. Phys. Lett. 2012, 554, 236–242. [Google Scholar] [CrossRef]
- Sundar, L.S.; Ramana, E.V.; Singh, M.K.; Gracio, J.; Sousa, A.C.M. Preparation, Thermal and Rheological Properties of Propylene Glycol and Water Mixture Based Fe3O4 Nanofluids. J. Nanofluids 2014, 3, 200–209. [Google Scholar] [CrossRef]
- Yiamsawas, T.; Dalkilic, A.S.; Mahian, O.; Wongwises, S. Measurement and Correlation of the Viscosity of Water-Based Al2O3 and TiO2 Nanofluids in High Temperatures and Comparisons with Literature Reports. J. Dispers. Sci. Technol. 2013, 34, 1697–1703. [Google Scholar] [CrossRef]
- Vandrangi, S.K.; Hassan, S.; Sharma, K.V.; Akilu, S.; Emani, S.; Nabipour, N. Effect of base fluids on thermo-physical properties of SiO2 nanofluids and development of new correlations. Math. Methods Appl. Sci. 2020. [Google Scholar] [CrossRef]
- Gao, D.; Bai, M.; Hu, C.; Lv, J.; Wang, C.; Zhang, X. Investigating control of convective heat transfer and flow resistance of Fe3O4/deionized water nanofluid in magnetic field in laminar flow. Nanotechnology 2020, 39, 495402. [Google Scholar]
- Nguyen, C.T.; Desgranges, F.; Roy, G.; Galanis, N.; Maré, T.; Boucher, S.; Mintsa, H.A. Temperature and particle-size dependent viscosity data for water-based nanofluids—Hysteresis phenomenon. Int. J. Heat Fluid Flow 2007, 28, 1492–1506. [Google Scholar] [CrossRef]
- Malekzadeh, A.; Pouranfard, A.R.; Hatami, N.; Banari, A.K.; Rahimi, M.R. Experimental Investigations on the Viscosity of Magnetic Nanofluids under the Influence of Temperature, Volume Fractions of Nanoparticles and External Magnetic Field. J. Appl. Fluid Mech. 2016, 9, 693–697. [Google Scholar] [CrossRef]
- Jia-Fei, Z.; Zhong-Yang, L.; Ming-Jiang, N.; Ke-Fa, C. Dependence of Nanofluid Viscosity on Particle Size and pH Value. Chin. Phys. Lett. 2009, 26, 066202. [Google Scholar] [CrossRef]
- Rudyak, V.Y.; Minakov, A.V. Thermophysical properties of nanofluids. Eur. Phys. J. E 2018, 41, 1–12. [Google Scholar] [CrossRef]
- Bidgoli, M.R.; Kolahchi, R.; Karimi, M.S. An experimental study and new correlations of viscosity of ethylene glycol-water based nanofluid at various temperatures and different solid concentrations. Struct. Eng. Mech. 2016, 58, 93–102. [Google Scholar] [CrossRef]
- Abdul Hamid, K.; Azmi, W.; Mamat, R.; Usri, N.; Najafi, G. Investigation of Al2O3 Nanofluid Viscosity for Different Water/EG Mixture Based. Energy Procedia 2015, 79, 354–359. [Google Scholar] [CrossRef] [Green Version]
- Ahmed, W.; Kazi, S.N.; Chowdhury, Z.Z.; Johan, M.R.B.; Mehmood, S.; Soudagar, M.E.M.; Mujtaba, M.A.; Gul, M.; Ahmad, M.S. Heat transfer growth of sonochemically synthesized novel mixed metal oxide ZnO+Al2O3+TiO2/DW based ternary hybrid nanofluids in a square flow conduit. Renew. Sustain. Energy Rev. 2021, 145, 111025. [Google Scholar] [CrossRef]
- Sahoo, R.R.; Kumar, V. Development of a new correlation to determine the viscosity of ternary hybrid nanofluid. Int. Commun. Heat Mass Transf. 2020, 111, 104451. [Google Scholar] [CrossRef]
- Sundar, L.S.; Singh, M.K.; Sousa, A.C. Thermal conductivity of ethylene glycol and water mixture based Fe3O4 nanofluid. Int. Commun. Heat Mass Transf. 2013, 49, 17–24. [Google Scholar] [CrossRef]
- Prasher, R.; Bhattacharya, P.; Phelan, P.E. Brownian-Motion-Based Convective-Conductive Model for the Effective Thermal Conductivity of Nanofluids. J. Heat Transfer. 2006, 128, 588–595. [Google Scholar] [CrossRef]
- Apmann, K.; Fulmer, R.; Soto, A.; Vafaei, S. Thermal Conductivity and Viscosity: Review and Optimization of Effects of Nanoparticles. Materials 2021, 14, 1291. [Google Scholar] [CrossRef]
- Bayat, J.; Nikseresht, A.H. Investigation of the different base fluid effects on the nanofluids heat transfer and pressure drop. Heat Mass Transf. 2011, 47, 1089–1099. [Google Scholar] [CrossRef]
- Maïga, S.E.B.; Palm, S.J.; Nguyen, C.T.; Roy, G.; Galanis, N. Heat transfer enhancement by using nanofluids in forced convection flows. Int. J. Heat Fluid Flow 2005, 26, 530–546. [Google Scholar] [CrossRef]
- Aravind, S.S.J.; Ramaprabhu, S. Graphene wrapped multiwalled carbon nanotubes dispersed nanofluids for heat transfer applications. J. Appl. Phys. 2012, 112, 124304. [Google Scholar] [CrossRef]
- Ebrahimnia-Bajestan, E.; Moghadam, M.C.; Niazmand, H.; Daungthongsuk, W.; Wongwises, S. Experimental and numerical investigation of nanofluids heat transfer characteristics for application in solar heat exchangers. Int. J. Heat Mass Transf. 2016, 92, 1041–1052. [Google Scholar] [CrossRef]
- Baby, T.T.; Ramaprabhu, S. Synthesis and nanofluid application of silver nanoparticles decorated graphene. J. Mater. Chem. 2011, 21, 9702–9709. [Google Scholar] [CrossRef]
- Aravind, S.S.J.; Baskar, P.; Baby, T.T.; Sabareesh, R.K.; Das, S.; Ramaprabhu, S. Investigation of Structural Stability, Dispersion, Viscosity, and Conductive Heat Transfer Properties of Functionalized Carbon Nanotube Based Nanofluids. J. Phys. Chem. C 2011, 115, 16737–16744. [Google Scholar] [CrossRef]
- Sundararaj, A.J.; Pillai, B.C.; Asirvatham, L.G. Convective heat transfer analysis of refined kerosene with alumina particles for rocketry application. J. Mech. Sci. Technol. 2018, 32, 1685–1691. [Google Scholar] [CrossRef]
- Krishnakumar, T.S.; Sheeba, A.; Mahesh, M.; Prakash, M.J. Heat transfer studies on ethylene glycol/water nanofluid containing TiO2 nanoparticles. Int. J. Refrig. 2019, 102, 55–61. [Google Scholar] [CrossRef]
- Bhanvase, B.A.; Sarode, M.R.; Putterwar, L.A.; Abdullah, K.A.; Deosarkar, M.P.; Sonawane, S.H. Intensification of convective heat transfer in water/ethylene glycol based nanofluids containing TiO2 nanoparticles. Chem. Eng. Process. Process Intensif. 2014, 82, 123–131. [Google Scholar] [CrossRef]
- Mohan, M.; Thomas, S.; Sobhan, C.B. Convective heat transfer studies in dilute alumina and silica nanofluids flowing through a channel using Mach-Zehnder interferometry. Heat Mass Transf. 2020, 56, 1793–1809. [Google Scholar] [CrossRef]
- Utomo, A.T.; Poth, H.; Robbins, P.T.; Pacek, A.W. Experimental and theoretical studies of thermal conductivity, viscosity and heat transfer coefficient of titania and alumina nanofluids. Int. J. Heat Mass Transf. 2012, 55, 7772–7781. [Google Scholar] [CrossRef]
- Ding, Y.; Chen, H.; He, Y.; Lapkin, A.; Yeganeh, M.; Šiller, L.; Butenko, Y.V. Forced convective heat transfer of nanofluids. Adv. Powder Technol. 2007, 18, 813–824. [Google Scholar] [CrossRef]
- Heris, S.Z.; Farzin, F.; Sardarabadi, H. Experimental Comparison Among Thermal Characteristics of Three Metal Oxide Nanoparticles/Turbine Oil-Based Nanofluids Under Laminar Flow Regime. Int. J. Thermophys. 2015, 36, 760–782. [Google Scholar] [CrossRef]
- Vajjha, R.S.; Das, D.K.; Namburu, P.K. Numerical study of fluid dynamic and heat transfer performance of Al2O3 and CuO nanofluids in the flat tubes of a radiator. Int. J. Heat Fluid Flow 2010, 31, 613–621. [Google Scholar] [CrossRef]
- Pattanayak, B.; Mund, A.; Jayakumar, J.S.; Parashar, K.; Parashar, S.K.S. Estimation of Nusselt number and effectiveness of double-pipe heat exchanger with Al2O3–, CuO–, TiO2–, and ZnO–water based nanofluids. Heat Transf. 2020, 49, 2228–2247. [Google Scholar] [CrossRef]
- Khairul, M.A.; Doroodchi, E.; Azizian, R.; Moghtaderi, B. The influence of different flow regimes on heat transfer performance and exergy loss of Al2O3/DI-water and CuO/DI-water nanofluids. Appl. Therm. Eng. 2017, 122, 566–578. [Google Scholar] [CrossRef]
- Hussien, A.A.; Abdullah, M.Z.; Yusop, N.M.; Al-Nimr, M.A.; Atieh, M.A.; Mehrali, M. Experiment on forced convective heat transfer enhancement using MWCNTs/GNPs hybrid nanofluid and mini-tube. Int. J. Heat Mass Transf. 2017, 115, 1121–1131. [Google Scholar] [CrossRef]
- Zamzamian, A.; Oskouie, S.N.; Doosthoseini, A.; Joneidi, A.; Pazouki, M. Experimental investigation of forced convective heat transfer coefficient in nanofluids of Al2O3/EG and CuO/EG in a double pipe and plate heat exchangers under turbulent flow. Exp. Therm. Fluid Sci. 2011, 35, 495–502. [Google Scholar] [CrossRef]
- Esmaeilzadeh, E.; Almohammadi, H.; Vatan, S.N.; Omrani, A.N. Experimental investigation of hydrodynamics and heat transfer characteristics of γ-Al2O3/water under laminar flow inside a horizontal tube. Int. J. Therm. Sci. 2013, 63, 31–37. [Google Scholar] [CrossRef]
- Hwang, K.S.; Jang, S.P.; Choi, S.U.S. Flow and convective heat transfer characteristics of water-based Al2O3 nanofluids in fully developed laminar flow regime. Int. J. Heat Mass Transf. 2009, 52, 193–199. [Google Scholar] [CrossRef]
- Ali, H.M. In tube convection heat transfer enhancement: SiO2 aqua based nanofluids. J. Mol. Liq. 2020, 308, 113031. [Google Scholar] [CrossRef]
- Rea, U.; McKrell, T.; Hu, L.; Buongiorno, J. Laminar convective heat transfer and viscous pressure loss of alumina–water and zirconia–water nanofluids. Int. J. Heat Mass Transf. 2009, 52, 2042–2048. [Google Scholar] [CrossRef]
- Kai, L.C.; Abdullah, M.Z.; Ismail, M.A.; Mamat, H. Enhancement of nanofluid heat transfer in a mini-tube using SiO2 nanoparticles. Adv. Mater. Process. Technol. 2019, 5, 607–616. [Google Scholar] [CrossRef]
- Umer, A.; Naveed, S.; Ramzan, N. Experimental study of laminar forced convective heat transfer of deionized water based copper (I) oxide nanofluids in a tube with constant wall heat flux. Heat Mass Transf. 2016, 52, 2015–2025. [Google Scholar] [CrossRef]
- Minakov, A.V.; Lobasov, A.S.; Guzei, D.V.; Pryazhnikov, M.I.; Rudyak, V.Y. The experimental and theoretical study of laminar forced convection of nanofluids in the round channel. Appl. Therm. Eng. 2015, 88, 140–148. [Google Scholar] [CrossRef]
- Wen, D.; Ding, Y. Experimental investigation into convective heat transfer of nanofluids at the entrance region under laminar flow conditions. Int. J. Heat Mass Transf. 2004, 47, 5181–5188. [Google Scholar] [CrossRef]
- Elias, M.; Miqdad, M.; Mahbubul, I.; Saidur, R.; Kamalisarvestani, M.; Sohel, M.; Hepbasli, A.; Rahim, N.; Amalina, M. Effect of nanoparticle shape on the heat transfer and thermodynamic performance of a shell and tube heat exchanger. Int. Commun. Heat Mass Transf. 2013, 44, 93–99. [Google Scholar] [CrossRef]
- Elias, M.M.; Shahrul, I.M.; Mahbubul, I.M.; Saidur, R.; Rahim, N.A. Effect of different nanoparticle shapes on shell and tube heat exchanger using different baffle angles and operated with nanofluid. Int. J. Heat Mass Transf. 2014, 70, 289–297. [Google Scholar] [CrossRef]
- Chen, H.; Yang, W.; He, Y.; Ding, Y.; Zhang, L.; Tan, C.; Lapkin, A.A.; Bavykin, D.V. Heat transfer and flow behaviour of aqueous suspensions of titanate nanotubes (nanofluids). Powder Technol. 2008, 183, 63–72. [Google Scholar] [CrossRef]
- Maheshwary, P.B.; Handa, C.C.; Nemade, K.R.; Chaudhary, S.R. Role of nanoparticle shape in enhancing the thermal conductivity of nanofluids. Mater. Today: Proc. 2020, 28, 873–878. [Google Scholar] [CrossRef]
- Ekiciler, R.; Çetinkaya, M.S.A.; Arslan, K. Heat transfer enhancement in an equilateral triangular duct by using an Al2O3/water nanofluid: Effect of nanoparticle shape and volume fraction. Heat Transf. Res. 2020, 51, 741–757. [Google Scholar] [CrossRef]
- Norouzipour, A.; Abdollahi, A.; Afrand, M. Experimental study of the optimum size of silica nanoparticles on the pool boiling heat transfer coefficient of silicon oxide/deionized water nanofluid. Powder Technol. 2019, 345, 728–738. [Google Scholar] [CrossRef]
- Timofeeva, E.V.; Yu, W.; France, D.M.; Singh, D.; Routbort, J.L. Base fluid and temperature effects on the heat transfer characteristics of SiC in ethylene glycol/H2O and H2O nanofluids. J. Appl. Phys. 2010, 109, 014914. [Google Scholar] [CrossRef] [Green Version]
- Anoop, K.B.; Sundararajan, T.; Das, S.K. Effect of particle size on the convective heat transfer in nanofluid in the developing region. Int. J. Heat Mass Transf. 2009, 52, 2189–2195. [Google Scholar] [CrossRef]
- Heidarshenas, A.; Azizi, Z.; Peyghambarzadeh, S.M.; Sayyahi, S. Experimental investigation of the particle size effect on heat transfer coefficient of Al2O3 nanofluid in a cylindrical microchannel heat sink. J. Therm. Anal. Calorim. 2020, 141, 957–967. [Google Scholar] [CrossRef]
- Zhang, L.; Zhang, A.; Jing, Y.; Qu, P.; Wu, Z. Effect of Particle Size on the Heat Transfer Performance of SiO2–Water Nanofluids. J. Phys. Chem. C 2021, 125, 13590–13600. [Google Scholar] [CrossRef]
- Murshed, S.M.S.; Castro, C.A.N. Forced Convective Heat Transfer of Nanofluids in Minichannels. In Two Phase Flow, Phase Change and Numerical Modeling, 1st ed.; Ahsan, A., Ed.; InTech: Rijeka, Croatia, 2011; Volume 1, pp. 419–434. [Google Scholar]
- Xuan, Y.; Li, Q.; Tie, P. The effect of surfactants on heat transfer feature of nanofluids. Exp. Therm. Fluid Sci. 2013, 46, 259–262. [Google Scholar] [CrossRef]
- Halefadl, S.; Estellé, P.; Maré, T. Heat transfer properties of aqueous carbon nanotubes nanofluids in coaxial heat exchanger under laminar regime. Exp. Therm. Fluid Sci. 2014, 55, 174–180. [Google Scholar] [CrossRef] [Green Version]
- Ding, Y.; Alias, H.; Wen, D.; Williams, R.A. Heat transfer of aqueous suspensions of carbon nanotubes (CNT nanofluids). Int. J. Heat Mass Transf. 2006, 49, 240–250. [Google Scholar] [CrossRef]
- Hosseinipour, E.; Heris, S.Z.; Shanbedi, M. Experimental investigation of pressure drop and heat transfer performance of amino acid-functionalized MWCNT in the circular tube. J. Therm. Anal. Calorim. 2016, 124, 205–214. [Google Scholar] [CrossRef]
- Mukherjee, S.; Jana, S.; Mishra, P.C.; Chaudhuri, P.; Chakrabarty, S. Experimental investigation on thermo-physical properties and subcooled flow boiling performance of Al2O3/water nanofluids in a horizontal tube. Int. J. Therm. Sci. 2021, 159, 106581. [Google Scholar] [CrossRef]
- Kim, D.; Kwon, Y.; Cho, Y.; Li, C.; Cheong, S.; Hwang, Y.; Lee, J.; Hong, D.; Moon, S. Convective heat transfer characteristics of nanofluids under laminar and turbulent flow conditions. Curr. Appl. Phys. 2009, 9, e119–e123. [Google Scholar] [CrossRef]
- Leong, K.Y.; Saidur, R.; Kazi, S.N.; Mamun, A.H. Performance investigation of an automotive car radiator operated with nanofluid-based coolants (nanofluid as a coolant in a radiator). Appl. Therm. Eng. 2010, 30, 2685–2692. [Google Scholar] [CrossRef]
- Liu, D.; Yu, L. Single-Phase Thermal Transport of Nanofluids in a Minichannel. J. Heat Transfer. 2011, 133, 031009. [Google Scholar] [CrossRef] [Green Version]
- Nguyen, C.T.; Roy, G.; Gauthier, C.; Galanis, N. Heat transfer enhancement using Al2O3–water nanofluid for an electronic liquid cooling system. Appl. Therm. Eng. 2007, 27, 1501–1506. [Google Scholar] [CrossRef]
- Gupta, M.; Singh, V.; Kumar, S.; Dilbaghi, N. Experimental analysis of heat transfer behavior of silver, MWCNT and hybrid (silver +MWCNT) nanofluids in a laminar tubular flow. J. Therm. Anal. Calorim. 2020, 142, 1545–1559. [Google Scholar] [CrossRef]
- Cabaleiro, D.; Colla, L.; Agresti, F.; Lugo, L.; Fedele, L. Transport properties and heat transfer coefficients of ZnO/(ethylene glycol + water) nanofluids. Int. J. Heat Mass Transf. 2015, 89, 433–443. [Google Scholar] [CrossRef]
- Sabir, R.; Ramzan, N.; Umer, A.; Muryam, H. An experimental study of forced convective heat transfer characteristic of gold water nanofluid in laminar flow. Sci. Int. 2015, 27, 235–241. [Google Scholar]
- Baby, T.T.; Sundara, R. Synthesis and Transport Properties of Metal Oxide Decorated Graphene Dispersed Nanofluids. J. Phys. Chem. C 2011, 115, 8527–8533. [Google Scholar] [CrossRef]
- Ahmed, W.; Kazi, S.N.; Chowdhury, Z.Z.; Johan, M.R.B.; Akram, N.; Mujtaba, M.A.; Gul, M.; Oon, C.S. Experimental investigation of convective heat transfer growth on ZnO@TiO2/DW binary composites/hybrid nanofluids in a circular heat exchanger. J. Therm. Anal. Calorim. 2021, 143, 879–898. [Google Scholar] [CrossRef]
- Barai, D.P.; Bhanvase, B.A.; Saharan, V.K. Reduced Graphene Oxide-Fe3O4 Nanocomposite Based Nanofluids: Study on Ultrasonic Assisted Synthesis, Thermal Conductivity, Rheology, and Convective Heat Transfer. Ind. Eng. Chem. Res. 2019, 58, 8349–8369. [Google Scholar] [CrossRef]
- Haghighi, E.B.; Saleemi, M.; Nikkam, N.; Khodabandeh, R.; Toprak, M.S.; Muhammed, M.; Palm, B. Accurate basis of comparison for convective heat transfer in nanofluids. Int. Commun. Heat Mass Transf. 2014, 52, 1–7. [Google Scholar] [CrossRef]
- Qiang, L.; Yimin, X. Convective heat transfer and flow characteristics of Cu-water nanofluid. Sci. China Ser. E: Technol. Sci. 2002, 45, 408–416. [Google Scholar] [CrossRef]
- Kumaresan, V.; Khader, S.M.A.; Karthikeyan, S.; Velraj, R. Convective heat transfer characteristics of CNT nanofluids in a tubular heat exchanger of various lengths for energy efficient cooling/heating system. Int. J. Heat Mass Transf. 2013, 60, 413–421. [Google Scholar] [CrossRef]
- Jung, J.; Oh, H.; Kwak, H. Forced Convective Heat Transfer of Nanofluids in Microchannels. ASME Int. Mech. Eng. Congr. Expo. 2006, 47861, 327–332. [Google Scholar] [CrossRef]
- Kim, S.; Tserengombo, B.; Choi, S.; Noh, J.; Huh, S.; Choi, B.; Chung, H.; Kim, J.; Jeong, H. Experimental investigation of heat transfer coefficient with Al2O3 nanofluid in small diameter tubes. Appl. Therm. Eng. 2019, 146, 346–355. [Google Scholar] [CrossRef]
- Heris, S.Z.; Esfahany, M.N.; Etemad, S.G. Experimental investigation of convective heat transfer of Al2O3/water nanofluid in circular tube. Int. J. Heat Fluid Flow 2007, 28, 203–210. [Google Scholar] [CrossRef]
- Gnielinski, V.; Kabelac, S.; Kind, M.; Martin, H.; Mewes, D.; Schaber, K.; Stephan, P. VDI-Wärmeatlas; Springer: Berlin, Germany, 2006; pp. 978–983. [Google Scholar]
- Shah, R.K.; London, A.L. Laminar Flow Forced Convection in Ducts A Source Book for Compact Heat Exchanger Analytical Data, 1st ed.; Academic Press: New York, NY, USA, 1978. [Google Scholar] [CrossRef]
- Pourfayaz, F.; Sanjarian, N.; Kasaeian, A.; Astaraej, F.R.; Sameti, M.; Nasirivatan, S. An experimental comparison of SiO2/water nanofluid heat transfer in square and circular cross-sectional channels. J. Therm. Anal. Calorim. 2018, 131, 1577–1586. [Google Scholar] [CrossRef]
- Vajjha, R.S.; Das, D.K. Specific Heat Measurement of Three Nanofluids and Development of New Correlations. J. Heat Transf. 2009, 131, 071601. [Google Scholar] [CrossRef]
- Vanapalli, S.; Brake, H.J.M. Assessment of thermal conductivity, viscosity and specific heat of nanofluids in single phase laminar internal forced convection. Int. J. Heat Mass Transf. 2013, 64, 689–693. [Google Scholar] [CrossRef]
- Bergman, T.L. Effect of reduced specific heats of nanofluids on single phase, laminar internal forced convection. Int. J. Heat Mass Transf. 2009, 52, 1240–1244. [Google Scholar] [CrossRef]
- Asadi, A. A guideline towards easing the decision-making process in selecting an effective nanofluid as a heat transfer fluid. Energy Convers. Manag. 2018, 175, 1–10. [Google Scholar] [CrossRef]
- Vajjha, R.S.; Das, D.K.; Kulkarni, D.P. Development of new correlations for convective heat transfer and friction factor in turbulent regime for nanofluids. Int. J. Heat Mass Transf. 2010, 53, 4607–4618. [Google Scholar] [CrossRef]










































| Material | Density [kg/m3] | Specific Heat [J/kg-K] | Dynamic Viscosity [mPa-s] | Thermal Conductivity [W/m-K] |
|---|---|---|---|---|
| Nanoparticles | ||||
| Fe3O4 | 5810 | 670 | - | - |
| Nanofluid | ||||
| Fe3O4–water 1 | 997.9 | 4173 | 0.4889 | 0.7155 |
| Water | 988.0 | 4179.6 | 0.5471 | 0.6371 |
Publisher’s Note: MDPI stays neutral with regard to jurisdictional claims in published maps and institutional affiliations. |
© 2022 by the authors. Licensee MDPI, Basel, Switzerland. This article is an open access article distributed under the terms and conditions of the Creative Commons Attribution (CC BY) license (https://creativecommons.org/licenses/by/4.0/).
Share and Cite
Apmann, K.; Fulmer, R.; Scherer, B.; Good, S.; Wohld, J.; Vafaei, S. Nanofluid Heat Transfer: Enhancement of the Heat Transfer Coefficient inside Microchannels. Nanomaterials 2022, 12, 615. https://doi.org/10.3390/nano12040615
Apmann K, Fulmer R, Scherer B, Good S, Wohld J, Vafaei S. Nanofluid Heat Transfer: Enhancement of the Heat Transfer Coefficient inside Microchannels. Nanomaterials. 2022; 12(4):615. https://doi.org/10.3390/nano12040615
Chicago/Turabian StyleApmann, Kevin, Ryan Fulmer, Branden Scherer, Sawyer Good, Jake Wohld, and Saeid Vafaei. 2022. "Nanofluid Heat Transfer: Enhancement of the Heat Transfer Coefficient inside Microchannels" Nanomaterials 12, no. 4: 615. https://doi.org/10.3390/nano12040615
APA StyleApmann, K., Fulmer, R., Scherer, B., Good, S., Wohld, J., & Vafaei, S. (2022). Nanofluid Heat Transfer: Enhancement of the Heat Transfer Coefficient inside Microchannels. Nanomaterials, 12(4), 615. https://doi.org/10.3390/nano12040615
