Investigation of SERS and Electron Transport Properties of Oligomer Phenylacetyne-3 Trapped in Gold Junctions
Abstract
:1. Introduction
2. Materials and Methods
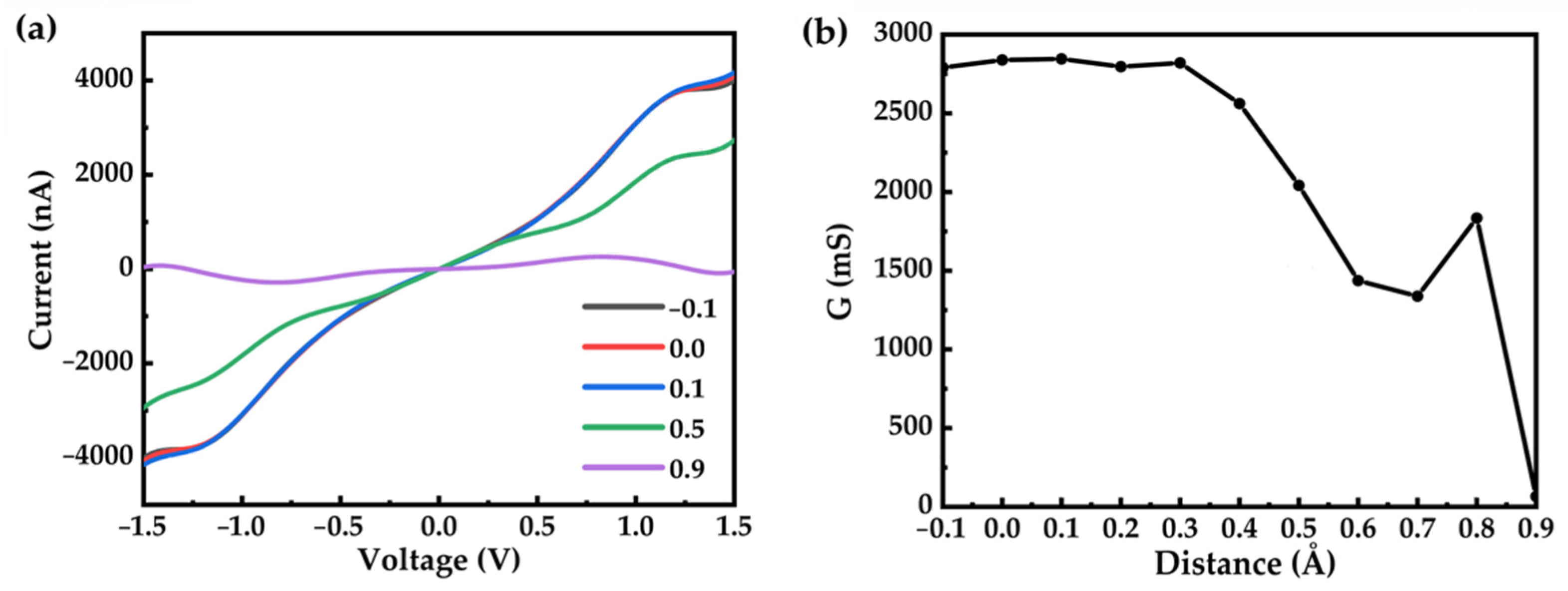
3. Results
4. Conclusions
Supplementary Materials
Author Contributions
Funding
Institutional Review Board Statement
Informed Consent Statement
Data Availability Statement
Conflicts of Interest
References
- Chen, X.; Roemer, M.; Yuan, L.; Du, W.; Thompson, D.; Del Barco, E.; Nijhuis, C.A. Molecular diodes with rectification ratios exceeding 105 driven by electrostatic interactions. Nat. Nanotechnol. 2017, 12, 797–803. [Google Scholar] [CrossRef] [PubMed]
- Ando, F.; Miyasaka, Y.; Li, T.; Ishizuka, J.; Arakawa, T.; Shiota, Y.; Moriyama, T.; Yanase, Y.; Ono, T. Observation of superconducting diode effect. Nature 2020, 584, 373–376. [Google Scholar] [CrossRef] [PubMed]
- Su, T.A.; Li, H.; Steigerwald, M.L.; Venkataraman, L.; Nuckolls, C. Stereoelectronic switching in single-molecule junctions. Nat. Chem. 2015, 7, 215–220. [Google Scholar] [CrossRef] [PubMed]
- Schwarz, F.; Kastlunger, G.; Lissel, F.; Egler-Lucas, C.; Semenov, S.N.; Venkatesan, K.; Berke, H.; Stadler, R.; Lortscher, E. Field-induced conductance switching by charge-state alternation in organometallic single-molecule junctions. Nat. Nanotechnol. 2016, 11, 170–176. [Google Scholar] [CrossRef] [Green Version]
- Han, Y.; Nickle, C.; Zhang, Z.; Astier, H.; Duffin, T.J.; Qi, D.; Wang, Z.; Del Barco, E.; Thompson, D.; Nijhuis, C.A. Electric-field-driven dual-functional molecular switches in tunnel junctions. Nat. Mater. 2020, 19, 843–848. [Google Scholar] [CrossRef]
- Hu, W.; Cao, X.; Zhang, Y.; Li, T.; Jiang, J.; Luo, Y. Tunable Single-Photon Emission by Defective Boron-Nitride Nanotubes for High-Precision Force Detection. J. Phys. Chem. C 2019, 123, 9624–9628. [Google Scholar] [CrossRef]
- Zhao, J.-M.; Chen, L.-Y.; Li, Y.-J.; Shi, N.-P.; Sun, Y.-Z.; Huang, H.; Zhang, G.-P. Greatly improving the rectifying performance of single-molecule diodes through molecular structure design and electrode material optimization. Phys. E Low-Dimens. Syst. Nanostructures 2021, 130, 114691. [Google Scholar] [CrossRef]
- Aradhya, S.V.; Frei, M.; Hybertsen, M.S.; Venkataraman, L. Van der Waals interactions at metal/organic interfaces at the single-molecule level. Nat. Mater. 2012, 11, 872–876. [Google Scholar] [CrossRef]
- Bi, H.; Palma, C.A.; Gong, Y.; Hasch, P.; Elbing, M.; Mayor, M.; Reichert, J.; Barth, J.V. Voltage-Driven Conformational Switching with Distinct Raman Signature in a Single-Molecule Junction. J. Am. Chem. Soc. 2018, 140, 4835–4840. [Google Scholar] [CrossRef]
- Braun, K.; Hauler, O.; Zhang, D.; Wang, X.; Chasse, T.; Meixner, A.J. Probing Bias-Induced Electron Density Shifts in Metal-Molecule Interfaces via Tip-Enhanced Raman Scattering. J. Am. Chem. Soc. 2021, 143, 1816–1821. [Google Scholar] [CrossRef]
- Komoto, Y.; Fujii, S.; Nakamura, H.; Tada, T.; Nishino, T.; Kiguchi, M. Resolving metal-molecule interfaces at single-molecule junctions. Sci. Rep. 2016, 6, 26606. [Google Scholar] [CrossRef] [PubMed] [Green Version]
- Kiguchi, M.; Kaneko, S. Single molecule bridging between metal electrodes. Phys. Chem. Chem. Phys. 2013, 15, 2253–2267. [Google Scholar] [CrossRef] [PubMed]
- Kaneko, S.; Yasuraoka, K.; Kiguchi, M. Bias Voltage Induced Surface-Enhanced Raman Scattering Enhancement on the Single-Molecule Junction. J. Phys. Chem. C 2019, 123, 6502–6507. [Google Scholar] [CrossRef]
- Bi, H.; Palma, C.A.; Gong, Y.; Stallhofer, K.; Nuber, M.; Jing, C.; Meggendorfer, F.; Wen, S.; Yam, C.; Kienberger, R.; et al. Electron-Phonon Coupling in Current-Driven Single-Molecule Junctions. J. Am. Chem. Soc. 2020, 142, 3384–3391. [Google Scholar] [CrossRef] [PubMed]
- Cui, L.; Hur, S.; Akbar, Z.A.; Klockner, J.C.; Jeong, W.; Pauly, F.; Jang, S.Y.; Reddy, P.; Meyhofer, E. Thermal conductance of single-molecule junctions. Nature 2019, 572, 628–633. [Google Scholar] [CrossRef] [Green Version]
- White, A.J.; Tretiak, S.; Galperin, M. Raman scattering in molecular junctions: A pseudoparticle formulation. Nano Lett. 2014, 14, 699–703. [Google Scholar] [CrossRef]
- Lu, S.; Zhou, Q.; Guo, Y.; Wang, J. On-the-fly interpretable machine learning for rapid discovery of two-dimensional ferromagnets with high Curie temperature. Chem 2021, in press. [Google Scholar] [CrossRef]
- Yin, J.; Khalilov, A.N.; Muthupandi, P.; Ladd, R.; Birman, V.B. Phenazine-1,6-dicarboxamides: Redox-Responsive Molecular Switches. J. Am. Chem. Soc. 2020, 142, 60–63. [Google Scholar] [CrossRef]
- Lortscher, E. Wiring molecules into circuits. Nat. Nanotechnol. 2013, 8, 381–384. [Google Scholar] [CrossRef]
- Huang, X.; Li, T. Recent progress in the development of molecular-scale electronics based on photoswitchable molecules. J. Mater. Chem. C 2020, 8, 821–848. [Google Scholar] [CrossRef]
- Le Ru, E.C.; Etchegoin, P.G. Single-molecule surface-enhanced Raman spectroscopy. Annu. Rev. Phys. Chem. 2012, 63, 65–87. [Google Scholar] [CrossRef] [PubMed] [Green Version]
- Shao, F.; Muller, V.; Zhang, Y.; Schluter, A.D.; Zenobi, R. Nanoscale Chemical Imaging of Interfacial Monolayers by Tip-Enhanced Raman Spectroscopy. Angew. Chem. Int. Ed. Engl. 2017, 56, 9361–9366. [Google Scholar] [CrossRef] [PubMed]
- Foti, A.; Toccafondi, C.; Ossikovski, R. Study of the Molecular Bending in Azobenzene Self-Assembled Monolayers Observed by Tip-Enhanced Raman Spectroscopy in Scanning Tunneling Mode. J. Phys. Chem. C 2019, 123, 26554–26563. [Google Scholar] [CrossRef]
- Yang, X.; Liu, Y.; Lam, S.H.; Wang, J.; Wen, S.; Yam, C.; Shao, L.; Wang, J. Site-Selective Deposition of Metal-Organic Frameworks on Gold Nanobipyramids for Surface-Enhanced Raman Scattering. Nano Lett. 2021, 21, 8205–8212. [Google Scholar] [CrossRef]
- Hu, W.; Cao, X. Monitoring Reaction Paths Using Vibrational Spectroscopies: The Case of the Dehydrogenation of Propane toward Propylene on Pd-Doped Cu(111) Surface. Molecules 2018, 23, 126. [Google Scholar] [CrossRef] [Green Version]
- Hu, W.; Duan, S.; Zhang, G.; Ma, Y.; Tian, G.; Luo, Y. Quasi-Analytical Approach for Modeling of Surface-Enhanced Raman Scattering. J. Phys. Chem. C 2015, 119, 28992–28998. [Google Scholar] [CrossRef]
- Santos, J.J.; Toma, S.H.; Ando, R.A.; Corio, P.; Araki, K. Unveiling Anomalous Surface-Enhanced Resonance Raman Scattering on an Oxo–Triruthenium Acetate Cluster Complex by a Theoretical–Experimental Approach. J. Phys. Chem. C 2020, 124, 21674–21683. [Google Scholar] [CrossRef]
- Zhang, Y.; Su, P.; Mu, Y.; Zhang, G.; Luo, Y.; Jiang, J.; Hu, W. Mechanism Study of Molecular Deformation of 2,2′,5′,2″-Tetramethylated p-Terphenyl-4,4″-dithiol Trapped in Gold Junctions. J. Phys. Chem. Lett. 2020, 11, 4456–4461. [Google Scholar] [CrossRef]
- Bi, H.; Lobet, M.; Saikin, S.K.; Li, Y.; Huo, C.; Jian, J.; Wu, X.; Reichert, J.; Aspuru-Guzik, A.; Mazur, E. Optically Induced Molecular Logic Operations. ACS Nano 2020, 14, 15248–15255. [Google Scholar] [CrossRef]
- Stephens, P.-J.; Devlin, F.-J.; Chabalowski, C.-F.; Frisch, M.-J. Ab Initio Calculation of Vibrational Absorption and Circular Dichroism Spectra Using Density Functional Force Fields. J. Phys. Chem. 1994, 98, 11623–11627. [Google Scholar] [CrossRef]
- Frisch, M.J.; Trucks, G.W.; Schlegel, H.B.; Scuseria, G.E.; Robb, M.A.; Cheeseman, J.R.; Scalmani, G.; Barone, V.; Mennucci, B.; Petersson, G.A.; et al. Gaussian 09; Gaussian, Inc.: Wallingford, CT, USA, 2009. [Google Scholar]
- Hu, W.; Duan, S.; Luo, Y. Theoretical modeling of surface and tip-enhanced Raman spectroscopies. WIREs Comput. Mol. Sci. 2016, 7, e1293. [Google Scholar] [CrossRef]
- Hu, W.; Ye, S.; Zhang, Y.; Li, T.; Zhang, G.; Luo, Y.; Mukamel, S.; Jiang, J. Machine Learning Protocol for Surface-Enhanced Raman Spectroscopy. J. Phys. Chem. Lett. 2019, 10, 6026–6031. [Google Scholar] [CrossRef] [PubMed]
- QuantumATK Version 2018.06, Synopsys QuantumATK. Available online: https://www.synopsys.com/silicon/quantumatk.html (accessed on 30 April 2020).
- Hu, W.; Duan, S.; Zhang, Y.; Ren, H.; Jiang, J.; Luo, Y. Identifying the structure of 4-chlorophenyl isocyanide adsorbed on Au(111) and Pt(111) surfaces by first-principles simulations of Raman spectra. Phys. Chem. Chem. Phys. 2017, 19, 32389–32397. [Google Scholar] [CrossRef] [PubMed]
- Hao, H.; Shi, X.Q.; Zeng, Z. Theoretical demonstration of symmetric curves in asymmetric molecular junction of monothiolate alkane. Microelectron. J. 2009, 40, 773–775. [Google Scholar] [CrossRef]
- El-Nahas, A.M.; Staykov, A.; Yoshizawa, K. First-Principles Calculations of Electron Transport through Azulene. J. Phys. Chem. C 2016, 120, 9043–9052. [Google Scholar] [CrossRef]
- Zhang, G.; Yuan, H.; Zhang, H.; Shang, Y.; Sun, M.; Liu, B.; Li, Z. Theoretical studies of the transport property of oligosilane. Sci. China Chem. 2010, 53, 2571–2580. [Google Scholar] [CrossRef]





Publisher’s Note: MDPI stays neutral with regard to jurisdictional claims in published maps and institutional affiliations. |
© 2022 by the authors. Licensee MDPI, Basel, Switzerland. This article is an open access article distributed under the terms and conditions of the Creative Commons Attribution (CC BY) license (https://creativecommons.org/licenses/by/4.0/).
Share and Cite
Liu, Z.; Hu, T.; Adam Balila, M.O.; Zhang, J.; Zhang, Y.; Hu, W. Investigation of SERS and Electron Transport Properties of Oligomer Phenylacetyne-3 Trapped in Gold Junctions. Nanomaterials 2022, 12, 571. https://doi.org/10.3390/nano12030571
Liu Z, Hu T, Adam Balila MO, Zhang J, Zhang Y, Hu W. Investigation of SERS and Electron Transport Properties of Oligomer Phenylacetyne-3 Trapped in Gold Junctions. Nanomaterials. 2022; 12(3):571. https://doi.org/10.3390/nano12030571
Chicago/Turabian StyleLiu, Ziyu, Tingting Hu, Muwafag Osman Adam Balila, Jihui Zhang, Yujin Zhang, and Wei Hu. 2022. "Investigation of SERS and Electron Transport Properties of Oligomer Phenylacetyne-3 Trapped in Gold Junctions" Nanomaterials 12, no. 3: 571. https://doi.org/10.3390/nano12030571
APA StyleLiu, Z., Hu, T., Adam Balila, M. O., Zhang, J., Zhang, Y., & Hu, W. (2022). Investigation of SERS and Electron Transport Properties of Oligomer Phenylacetyne-3 Trapped in Gold Junctions. Nanomaterials, 12(3), 571. https://doi.org/10.3390/nano12030571
