Increasing Magnetic Anisotropy in Bimetallic Nanoislands Grown on fcc(111) Metal Surfaces
Abstract
1. Introduction
2. Materials and Methods
3. Results and Discussion
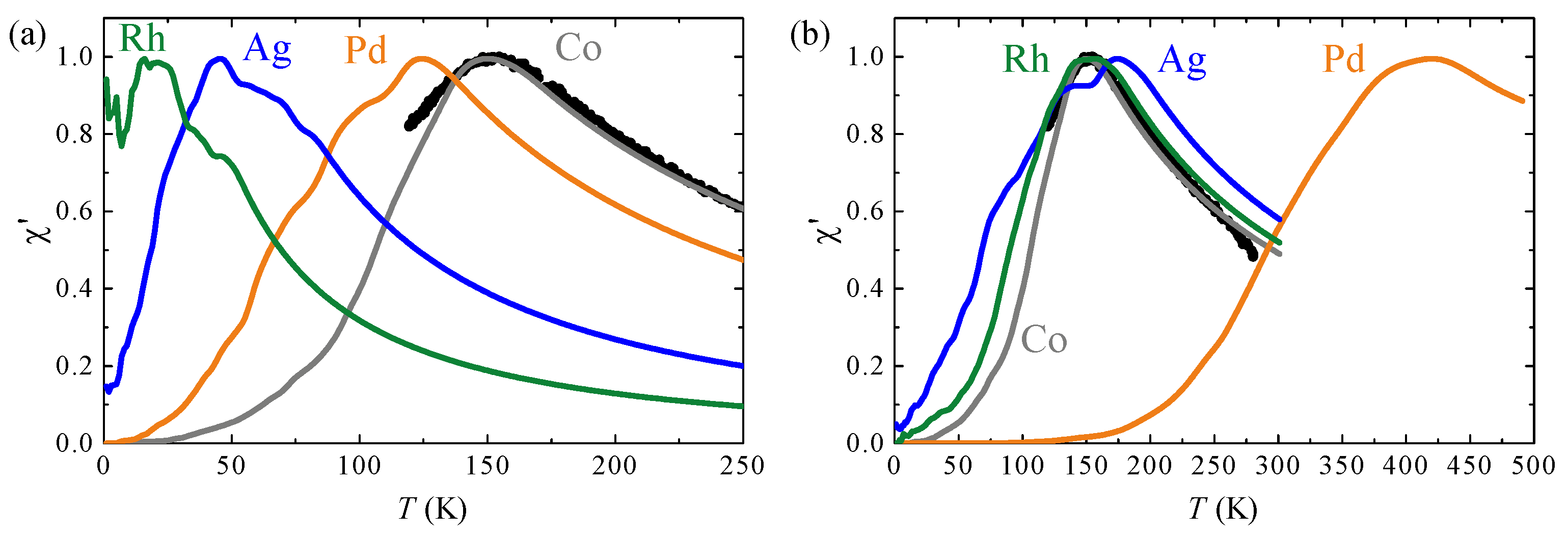
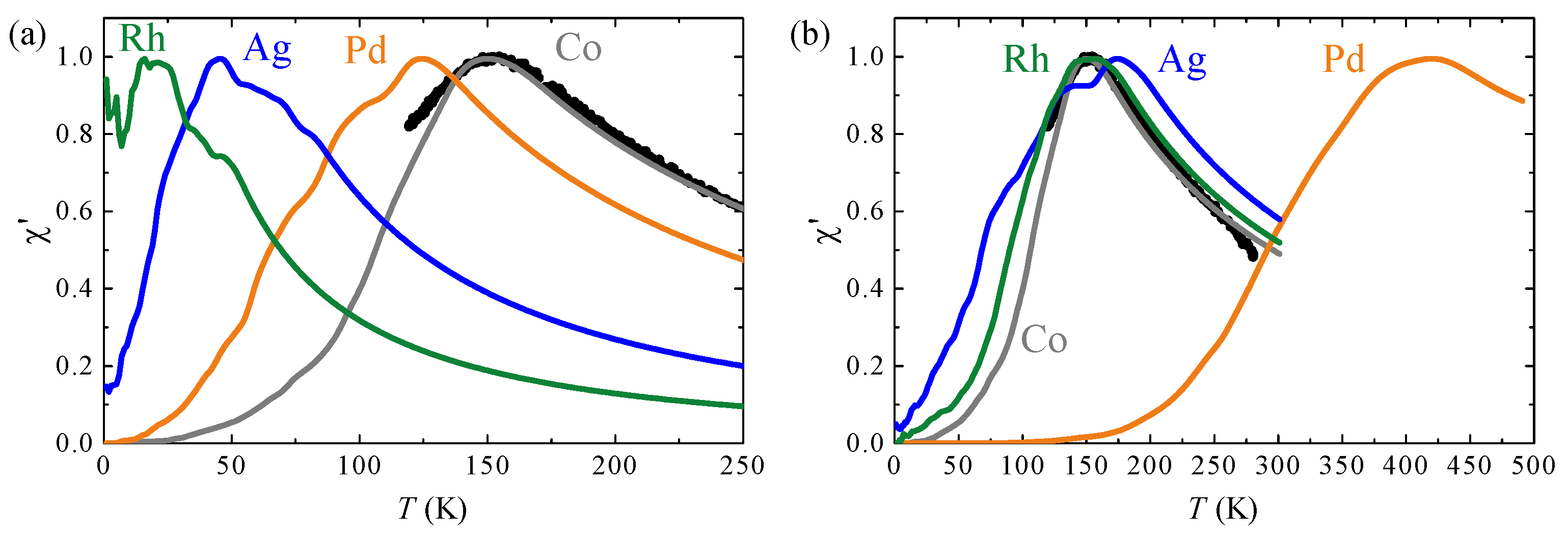
3.1. MAE in 3d–4d Two-Dimensional Islands
3.2. CoFe Nanoislands on Au(11,12,12)
4. Conclusions
Author Contributions
Funding
Institutional Review Board Statement
Informed Consent Statement
Data Availability Statement
Conflicts of Interest
References
- Bean, C.P.; Livingston, J.D. Superparamagnetism. J. Appl. Phys. 1959, 30, S120. [Google Scholar] [CrossRef]
- Weller, D.; Moser, A. Thermal effect limits in ultrahigh-density magnetic recording. IEEE Trans. Magn. 1999, 35, 4423–4439. [Google Scholar] [CrossRef]
- Yang, E.; Liu, Z.; Arora, H.; Wu, T.W.; Ayanoor-Vitikkate, V.; Spoddig, D.; Bedau, D.; Grobis, M.; Gurney, B.A.; Albrecht, T.R.; et al. Template-Assisted Direct Growth of 1 Td/in2 Bit Patterned Media. Nano Lett. 2016, 16, 4726–4730. [Google Scholar] [CrossRef][Green Version]
- Fernández-Pacheco, A.; Streubel, R.; Fruchart, O.; Hertel, R.; Fischer, P.; Cowburn, R.P. Three-dimensional nanomagnetism. Nat. Commun. 2017, 8, 15756. [Google Scholar] [CrossRef] [PubMed]
- Albrecht, T.R.; Arora, H.; Ayanoor-Vitikkate, V.; Beaujour, J.M.; Bedau, D.; Berman, D.; Bogdanov, A.L.; Chapuis, Y.A.; Cushen, J.; Dobisz, E.E.; et al. Bit-Patterned Magnetic Recording: Theory, Media Fabrication, and Recording Performance. IEEE Trans. Magn. 2015, 51, 1–42. [Google Scholar] [CrossRef]
- Challener, W.A.; Peng, C.; Itagi, A.V.; Karns, D.; Peng, W.; Peng, Y.; Yang, X.; Zhu, X.; Gokemeijer, N.J.; Hsia, Y.T.; et al. Heat-assisted magnetic recording by a nearfieldtransducer with efficient optical energy transfer. Nat. Photon. 2009, 3, 220–224. [Google Scholar] [CrossRef]
- Gambardella, P.; Rusponi, S.; Veronese, M.; Dhesi, S.S.; Grazioli, C.; Dallmeyer, A.; Cabria, I.; Zeller, R.; Dederichs, P.H.; Kern, K.; et al. Giant Magnetic Anisotropy of Single Cobalt Atoms and Nanoparticles. Science 2003, 300, 1130–1133. [Google Scholar] [CrossRef]
- Rusponi, S.; Cren, T.; Weiss, N.; Epple, M.; Buluschek, P.; Claude, L.; Brune, H. The remarkable difference between surface and step atoms in the magnetic anisotropy of two-dimensional nanostructures. Nat. Mater. 2003, 2, 546–551. [Google Scholar] [CrossRef]
- Brune, H. Microscopic view of epitaxial metal growth: Nucleation and aggregation. Surf. Sci. Rep. 1998, 31, 121–229. [Google Scholar] [CrossRef]
- Wiesendanger, R. Spin mapping at the nanoscale and atomic scale. Rev. Mod. Phys. 2009, 81, 1495–1550. [Google Scholar] [CrossRef]
- Lehnert, A.; Dennler, S.; Błoński, P.; Rusponi, S.; Etzkorn, M.; Moulas, G.; Bencok, P.; Gambardella, P.; Brune, H.; Hafner, J. Magnetic anisotropy of Fe and Co ultrathin films deposited on Rh(111) and Pt(111) substrates: An experimental and first-principles investigation. Phys. Rev. B 2010, 82, 094409. [Google Scholar] [CrossRef]
- Błoński, P.; Lehnert, A.; Dennler, S.; Rusponi, S.; Etzkorn, M.; Moulas, G.; Bencok, P.; Gambardella, P.; Brune, H.; Hafner, J. Magnetocrystalline anisotropy energy of Co and Fe adatoms on the (111) surfaces of Pd and Rh. Phys. Rev. B 2010, 81, 104426. [Google Scholar] [CrossRef]
- Hillion, A.; Cavallin, A.; Vlaic, S.; Tamion, A.; Tournus, F.; Khadra, G.; Dreiser, J.; Piamonteze, C.; Nolting, F.; Rusponi, S.; et al. Low Temperature Ferromagnetism in Chemically Ordered FeRh Nanocrystals. Phys. Rev. Lett. 2013, 110, 087207. [Google Scholar] [CrossRef]
- Stöhr, J.; Siegmann, H. Magnetism: From Fundamentals to Nanoscale Dynamics; Springer Series in Solid-State Sciences; Springer: Berlin/Heidelberg, Germany, 2006. [Google Scholar]
- Blügel, S. Two-dimensional ferromagnetism of 3d, 4d, and 5d transition metal monolayers on noble metal (001) substrates. Phys. Rev. Lett. 1992, 68, 851–854. [Google Scholar] [CrossRef] [PubMed]
- Lin, C.J.; Gorman, G.; Lee, C.; Farrow, R.; Marinero, E.; Do, H.; Notarys, H.; Chien, C. Magnetic and structural properties of Co/Pt multilayers. J. Magn. Magn. Mater. 1991, 93, 194–206. [Google Scholar] [CrossRef]
- Chouairi, A.; Dreyssé, H.; Nait-Laziz, H.; Demangeat, C. Rh polarization in ultrathin Rh layers on Fe(001). Phys. Rev. B 1993, 48, 7735–7738. [Google Scholar] [CrossRef]
- Hashimoto, S.; Ochiai, Y.; Aso, K. Perpendicular Magnetic Anisotropy in Sputtered CoPd Alloy Films. Jpn. J. Appl. Phys. 1989, 28, 1596. [Google Scholar] [CrossRef]
- Chen, F.C.; Wu, Y.E.; Su, C.W.; Shern, C.S. Ag-induced spin-reorientation transition of Co ultrathin films on Pt(111). Phys. Rev. B 2002, 66, 184417. [Google Scholar] [CrossRef]
- Kingetsu, T.; Sakai, K. Perpendicular magnetic anisotropy and structures of epitaxial Co/Ag and Co/Au metallic superlattices. J. Appl. Phys. 1993, 73, 7622–7626. [Google Scholar] [CrossRef]
- Kingetsu, T. Large Magnetic Interface Anisotropy in Molecular Beam Epitaxy Grown Pt/Co and Pt/Co/Ag Superlattices. Jpn. J. Appl. Phys. 1994, 33, L106. [Google Scholar] [CrossRef]
- Kingetsu, T. Molecular beam epitaxial growth and magnetic properties of (111)Pt/Co/Ag, Pt/Co, and Ag/Co/Pt superlattices. J. Appl. Phys. 1994, 76, 4267–4273. [Google Scholar] [CrossRef]
- Repain, V.; Baudot, G.; Ellmer, H.; Rousset, S. Two-dimensional long-range–ordered growth of uniform cobalt nanostructures on a Au(111) vicinal template. Europhys. Lett. 2002, 58, 730. [Google Scholar] [CrossRef]
- Weiss, N.; Cren, T.; Epple, M.; Rusponi, S.; Baudot, G.; Rohart, S.; Tejeda, A.; Repain, V.; Rousset, S.; Ohresser, P.; et al. Uniform Magnetic Properties for an Ultrahigh-Density Lattice of Noninteracting Co Nanostructures. Phys. Rev. Lett. 2005, 95, 157204. [Google Scholar] [CrossRef] [PubMed]
- Lehnert, A.; Buluschek, P.; Weiss, N.; Giesecke, J.; Treier, M.; Rusponi, S.; Brune, H. High resolution in situ magneto-optic Kerr effect and scanning tunneling microscopy setup with all optical components in UHV. Rev. Sci. Instrum. 2009, 80, 023902. [Google Scholar] [CrossRef]
- Ouazi, S.; Vlaic, S.; Rusponi, S.; Moulas, G.; Buluschek, P.; Halleux, K.; Bornemann, S.; Mankovsky, S.; Minár, J.; Staunton, J.; et al. Atomic-scale engineering of magnetic anisotropy of nanostructures through interfaces and interlines. Nat. Commun. 2012, 3, 1313. [Google Scholar] [CrossRef]
- Brown, W.F. Thermal Fluctuations of a Single-Domain Particle. Phys. Rev. 1963, 130, 1677–1686. [Google Scholar] [CrossRef]
- Wernsdorfer, W.; Orozco, E.B.; Hasselbach, K.; Benoit, A.; Barbara, B.; Demoncy, N.; Loiseau, A.; Pascard, H.; Mailly, D. Experimental Evidence of the Néel-Brown Model of Magnetization Reversal. Phys. Rev. Lett. 1997, 78, 1791–1794. [Google Scholar] [CrossRef]
- Braun, H.B. Thermally Activated Magnetization Reversal in Elongated Ferromagnetic Particles. Phys. Rev. Lett. 1993, 71, 3557–3560. [Google Scholar] [CrossRef]
- Wernsdorfer, W.; Doudin, B.; Mailly, D.; Hasselbach, K.; Benoit, A.; Meier, J.; Ansermet, J.P.; Barbara, B. Nucleation of Magnetization Reversal in Individual Nanosized Nickel Wires. Phys. Rev. Lett. 1996, 77, 1873–1876. [Google Scholar] [CrossRef]
- Braun, H.B. Scaling behavior of thermally assisted magnetization reversal in nanomagnets. J. Appl. Phys. 2006, 99, 08F908. [Google Scholar] [CrossRef]
- Braun, H.B. Nucleation in ferromagnetic nanowires—Magnetostatics and topology. J. Appl. Phys. 1999, 85, 6172–6174. [Google Scholar] [CrossRef]
- Rohart, S.; Repain, V.; Thiaville, A.; Rousset, S. Limits of the macrospin model in cobalt nanodots with enhanced edge magnetic anisotropy. Phys. Rev. B 2007, 76, 104401. [Google Scholar] [CrossRef]
- Rohart, S.; Campiglio, P.; Repain, V.; Nahas, Y.; Chacon, C.; Girard, Y.; Lagoute, J.; Thiaville, A.; Rousset, S. Spin-Wave-Assisted Thermal Reversal of Epitaxial Perpendicular Magnetic Nanodots. Phys. Rev. Lett. 2010, 104, 137202. [Google Scholar] [CrossRef] [PubMed]
- Cavallin, A.; Natterer, F.D.; Ouazi, S.; Moulas, G.; Lehnert, A.; Rusponi, S.; Brune, H. Magnetization reversal mechanism of ramified and compact Co islands on Pt(111). Phys. Rev. B 2014, 90, 144427. [Google Scholar] [CrossRef]
- Bode, M.; Pietzsch, O.; Kubetzka, A.; Wiesendanger, R. Shape-Dependent Thermal Switching Behavior of Superparamagnetic Nanoislands. Phys. Rev. Lett. 2004, 92, 067201. [Google Scholar] [CrossRef]
- Ouazi, S.; Wedekind, S.; Rodary, G.; Oka, H.; Sander, D.; Kirschner, J. Magnetization Reversal of Individual Co Nanoislands. Phys. Rev. Lett. 2012, 108, 107206. [Google Scholar] [CrossRef]
- Bornemann, S.; Šipr, O.; Mankovsky, S.; Polesya, S.; Staunton, J.B.; Wurth, W.; Ebert, H.; Minár, J. Trends in the magnetic properties of Fe, Co, and Ni clusters and monolayers on Ir(111), Pt(111), and Au(111). Phys. Rev. B 2012, 86, 104436. [Google Scholar] [CrossRef]
- Purcell, S.; Johnson, M.; McGee, N.; Zeper, W.; Hoving, W. Spatially resolved magneto-optical investigation of the perpendicular anisotropy in a wedge-shaped ultrathin epitaxial Co layer on Pd(111). J. Magn. Magn. Mater. 1992, 113, 257–263. [Google Scholar] [CrossRef]
- Dorantes-Dávila, J.; Dreyssé, H.; Pastor, G.M. Magnetic Anisotropy of Transition-Metal Interfaces from a Local Perspective: Reorientation Transitions and Spin-Canted Phases in Pd Capped Co Films on Pd(111). Phys. Rev. Lett. 2003, 91, 197206. [Google Scholar] [CrossRef]
- Ying, X.; Rao, K.V.; Jensen, P.J.; Xu, J.J. Magnetic anisotropy and reorientation in Co/Rh superlattices. IEEE Trans. Magn. 1998, 34, 876–878. [Google Scholar] [CrossRef]
- Kohlhepp, J.; Gradmann, U. Magnetic surface anisotropies of Co(0001)-based interfaces from in situ magnetometry of Co films on Pd(111), covered with ultrathin films of Pd and Ag. J. Magn. Magn. Mater. 1995, 139, 347–354. [Google Scholar] [CrossRef]
- Engel, B.N.; Wiedmann, M.H.; Van Leeuwen, R.A.; Falco, C.M. Anomalous magnetic anisotropy in ultrathin transition metals. Phys. Rev. B 1993, 48, 9894–9897. [Google Scholar] [CrossRef] [PubMed]
- Muñoz-Navia, M.; Dorantes-Dávila, J.; Zitoun, D.; Amiens, C.; Jaouen, N.; Rogalev, A.; Respaud, M.; Pastor, G.M. Tailoring the magnetic anisotropy in CoRh nanoalloys. Appl. Phys. Lett. 2009, 95, 233107. [Google Scholar] [CrossRef]
- Weller, D.; Doerner, M.F. Extremely high-density longitudinal magnetic recording media. Annu. Rev. Mat. Sci. 2000, 30, 611–644. [Google Scholar] [CrossRef]
- Moulas, G.; Lehnert, A.; Rusponi, S.; Zabloudil, J.; Etz, C.; Ouazi, S.; Etzkorn, M.; Bencok, P.; Gambardella, P.; Weinberger, P.; et al. High magnetic moments and anisotropies for FexCo1-x monolayers on Pt(111). Phys. Rev. B 2008, 78, 214424. [Google Scholar] [CrossRef]
- Rohart, S.; Girard, Y.; Nahas, Y.; Repain, V.; Rodary, G.; Tejeda, A.; Rousset, S. Growth of iron on gold (788) vicinal surface: From nanodots to step flow. Surf. Sci. 2008, 602, 28–36. [Google Scholar] [CrossRef]
- Carbone, C.; Gardonio, S.; Moras, P.; Lounis, S.; Heide, M.; Bihlmayer, G.; Atodiresei, N.; Dederichs, P.H.; Blügel, S.; Vlaic, S.; et al. Self-Assembled Nanometer-Scale Magnetic Networks on Surfaces: Fundamental Interactions and Functional Properties. Adv. Funct. Mater. 2011, 21, 1212–1228. [Google Scholar] [CrossRef]
- Nahas, Y.; Repain, V.; Chacon, C.; Girard, Y.; Lagoute, J.; Rodary, G.; Klein, J.; Rousset, S.; Bulou, H.; Goyhenex, C. Dominant Role of the Epitaxial Strain in the Magnetism of Core-Shell Co/Au Self-Organized Nanodots. Phys. Rev. Lett. 2009, 103, 067202. [Google Scholar] [CrossRef]
- Bartolomé, J.; Luis, F.; García, L.M.; Bartolomé, F.; Petroff, F.; Deranlot, C.; Wilhelm, F.; Rogalev, A.; Bencok, P.; Brookes, N.B. Anisotropy Enhancement in Co Granular Multilayers by Capping. In Materials Science Forum; Metastable and Nanostructured Materials III; Trans Tech Publications Ltd.: Bäch, Switzerland, 2008; Volume 570. [Google Scholar]
- Sun, S.; Murray, C.B.; Weller, D.; Folks, L.; Moser, A. Monodisperse FePt Nanoparticles and Ferromagnetic FePt Nanocrystal Superlattices. Science 2000, 287, 1989–1992. [Google Scholar] [CrossRef]
- Fruchart, O.; Klaua, M.; Barthel, J.; Kirschner, J. Self-Organized Growth of Nanosized Vertical Magnetic Co Pillars on Au(111). Phys. Rev. Lett. 1999, 83, 2769–2772. [Google Scholar] [CrossRef]
- Rau, I.G.; Baumann, S.; Rusponi, S.; Donati, F.; Stepanow, S.; Gragnaniello, L.; Dreiser, J.; Piamonteze, C.; Nolting, F.; Gangopadhyay, S.; et al. Reaching the Magnetic Anisotropy Limit of a 3d Metal Atom. Science 2014, 344, 988–992. [Google Scholar] [CrossRef] [PubMed]
- Singha, A.; Willke, P.; Bilgeri, T.; Zhang, X.; Brune, H.; Donati, F.; Heinrich, A.J.; Choi, T. Engineering atomic-scale magnetic fields by dysprosium single atom magnets. Nat. Commun. 2021, 12, 4179. [Google Scholar] [CrossRef] [PubMed]







Publisher’s Note: MDPI stays neutral with regard to jurisdictional claims in published maps and institutional affiliations. |
© 2022 by the authors. Licensee MDPI, Basel, Switzerland. This article is an open access article distributed under the terms and conditions of the Creative Commons Attribution (CC BY) license (https://creativecommons.org/licenses/by/4.0/).
Share and Cite
Vlaic, S.; Mousadakos, D.; Ouazi, S.; Rusponi, S.; Brune, H. Increasing Magnetic Anisotropy in Bimetallic Nanoislands Grown on fcc(111) Metal Surfaces. Nanomaterials 2022, 12, 518. https://doi.org/10.3390/nano12030518
Vlaic S, Mousadakos D, Ouazi S, Rusponi S, Brune H. Increasing Magnetic Anisotropy in Bimetallic Nanoislands Grown on fcc(111) Metal Surfaces. Nanomaterials. 2022; 12(3):518. https://doi.org/10.3390/nano12030518
Chicago/Turabian StyleVlaic, Sergio, Dimitris Mousadakos, Safia Ouazi, Stefano Rusponi, and Harald Brune. 2022. "Increasing Magnetic Anisotropy in Bimetallic Nanoislands Grown on fcc(111) Metal Surfaces" Nanomaterials 12, no. 3: 518. https://doi.org/10.3390/nano12030518
APA StyleVlaic, S., Mousadakos, D., Ouazi, S., Rusponi, S., & Brune, H. (2022). Increasing Magnetic Anisotropy in Bimetallic Nanoislands Grown on fcc(111) Metal Surfaces. Nanomaterials, 12(3), 518. https://doi.org/10.3390/nano12030518

