Electrochemical Sensor Based on ZnFe2O4/RGO Nanocomposite for Ultrasensitive Detection of Hydrazine in Real Samples
Abstract
:1. Introduction
2. Materials and Methods
2.1. Chemicals and Equipment
2.2. Fabrication of ZnFe2O4/RGO Nanocomposite
2.3. Fabrication of Modified Electrode
2.4. Real Sample Analysis
3. Results
3.1. Characterisation of the ZnFe2O4/RGO Nanocomposite
3.2. Electrochemical Responses of Hydrazine on the Surface of ZnFe2O4/RGO/SPE
3.3. Results of Scan Rate Impact
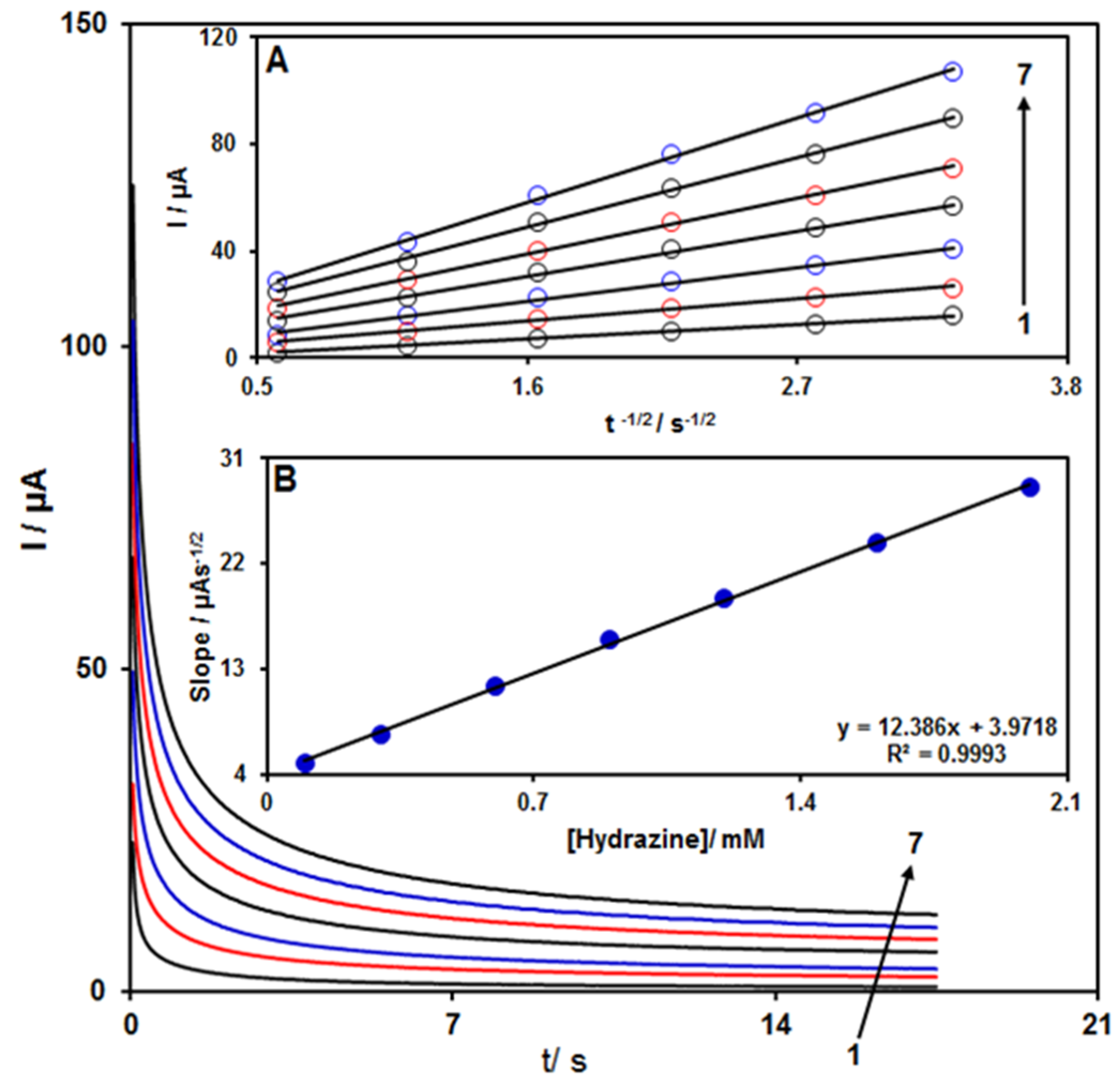
3.4. Chronoamperometric Measurements
3.5. Calibration Curve and Limit of Detection
3.6. Interference Studies
3.7. Real Sample Analysis
4. Conclusions
Supplementary Materials
Author Contributions
Funding
Institutional Review Board Statement
Informed Consent Statement
Data Availability Statement
Conflicts of Interest
References
- Ameen, S.; Akhtar, M.S.; Shin, H.S. Hydrazine chemical sensing by modified electrode based on in situ electrochemically synthesized polyaniline/graphene composite thin film. Sens. Actuators B Chem. 2012, 173, 177–183. [Google Scholar] [CrossRef]
- Ameen, S.; Akhtar, M.S.; Shin, H.S. Highly sensitive hydrazine chemical sensor fabricated by modified electrode of vertically aligned zinc oxide nanorods. Talanta 2012, 100, 377–383. [Google Scholar] [CrossRef]
- Saengsookwaow, C.; Rangkupan, R.; Chailapakul, O.; Rodthongkum, N. Nitrogen-doped graphene–polyvinylpyrrolidone/gold nanoparticles modified electrode as a novel hydrazine sensor. Sens. Actuators B Chem. 2016, 227, 524–532. [Google Scholar] [CrossRef]
- Watt, G.W.; Chrisp, J.D. Spectrophotometric method for determination of hydrazine. Anal. Chem. 1952, 24, 2006–2008. [Google Scholar] [CrossRef]
- Lv, J.; Huang, J.; Zhang, Z. Determination of hydrazine by flow injection with chemiluminescence. Anal. Lett. 2001, 34, 1323–1330. [Google Scholar] [CrossRef]
- Timbrell, J.A.; Wright, J.M.; Smith, C.M. Determination of hydrazine metabolites of isoniazid in human urine by gas chromatography. J. Chromatogr. A 1977, 138, 165–172. [Google Scholar] [CrossRef]
- Karimi-Maleh, H.; Orooji, Y.; Karimi, F.; Alizadeh, M.; Baghayeri, M.; Rouhi, J.; Tajik, S.; Beitollahi, H.; Agarwal, S.; Gupta, V.K.; et al. A critical review on the use of potentiometric based biosensors for biomarkers detection. Biosens. Bioelectron. 2021, 184, 113252. [Google Scholar] [CrossRef]
- Ganjali, M.R.; Garkani-Nejad, F.; Tajik, S.; Beitollahi, H.; Pourbasheer, E.; Larijanii, B. Determination of salicylic acid by differential pulse voltammetry using ZnO/Al2O3 nanocomposite modified graphite screen printed electrode. Int. J. Electrochem. Sci. 2017, 12, 9972–9982. [Google Scholar] [CrossRef]
- Tajik, S.; Beitollahi, H.; Hosseinzadeh, R.; Aghaei Afshar, A.; Varma, R.S.; Won Jang, H.; Shokouhimehr, M. Electrochemical detection of hydrazine by carbon paste electrode modified with ferrocene derivatives, ionic liquid, and CoS2-carbon nanotube nanocomposite. ACS Omega 2021, 6, 4641–4648. [Google Scholar] [CrossRef]
- Zhu, X.; Lin, L.; Wu, R.; Zhu, Y.; Sheng, Y.; Nie, P.; Liu, P.; Xu, L.; Wen, Y. Portable wireless intelligent sensing of ultra-trace phytoregulator α-naphthalene acetic acid using self-assembled phosphorene/Ti3C2-MXene nanohybrid with high ambient stability on laser induced porous graphene as nanozyme flexible electrode. Biosens. Bioelectron. 2021, 179, 113062. [Google Scholar] [CrossRef]
- Garkani-Nejad, F.; Tajik, S.; Beitollahi, H.; Sheikhshoaie, I. Magnetic nanomaterials based electrochemical (bio) sensors for food analysis. Talanta 2021, 228, 122075. [Google Scholar] [CrossRef] [PubMed]
- Zhao, Z.; Sun, Y.; Li, P.; Zhang, W.; Lian, K.; Hu, J.; Chen, Y. Preparation and characterization of AuNPs/CNTs-ErGO elec-trochemical sensors for highly sensitive detection of hydrazine. Talanta 2016, 158, 283–291. [Google Scholar] [CrossRef] [PubMed] [Green Version]
- Tajik, S.; Beitollahi, H.; Garkani-Nejad, F.; Sheikhshoaie, I.; Sugih Nugraha, A.; Won Jang, H.; Yamauchi, Y.; Shokouhimehr, M. Performance of metal–organic frameworks in the electrochemical sensing of environmental pollutants. J. Mater. Chem. A 2021, 9, 8195–8220. [Google Scholar] [CrossRef]
- Ge, Y.; Liu, P.; Xu, L.; Qu, M.; Hao, W.; Liang, H.; Sheng, Y.; Zhu, Y.; Wen, Y. A portable wireless intelligent electrochemical sensor based on layer-by-layer sandwiched nanohybrid for terbutaline in meat products. Food Chem. 2022, 371, 131140. [Google Scholar] [CrossRef]
- Fang, B.; Zhang, C.; Zhang, W.; Wang, G. A novel hydrazine electrochemical sensor based on a carbon nanotube-wired ZnO nanoflower-modified electrode. Electrochim. Acta 2009, 55, 178–182. [Google Scholar] [CrossRef]
- Saeb, E.; Asadpour-Zeynali, K. Facile synthesis of TiO2@PANI@ Au nanocomposite as an electrochemical sensor for determination of hydrazine. Microchem. J. 2021, 160, 105603. [Google Scholar] [CrossRef]
- Pei, Y.; Hu, M.; Xia, Y.; Huang, W.; Li, Z.; Chen, S. Electrochemical preparation of Pt nanoparticles modified nanoporous gold electrode with highly rough surface for efficient determination of hydrazine. Sens. Actuators B Chem. 2020, 304, 127416. [Google Scholar] [CrossRef]
- Azimi, S.; Amiri, M.; Imanzadeh, H.; Bezaatpour, A. Fe3O4@SiO2-NH2/CoSB modified carbon paste electrode for sim-ultaneous detection of acetaminophen and chlorpheniramine. Adv. J. Chem. Sect. A 2021, 4, 152–164. [Google Scholar]
- Tahernejad-Javazmi, F.; Shabani-Nooshabadi, M.; Karimi-Maleh, H. Analysis of glutathione in the presence of aceta-minophen and tyrosine via an amplified electrode with MgO/SWCNTs as a sensor in the hemolyzed erythrocyte. Talanta 2018, 176, 208–213. [Google Scholar] [CrossRef]
- Charithra, M.M.; Manjunatha, J.G. Enhanced voltammetric detection of paracetamol by using carbon nanotube modified electrode as an electrochemical sensor. J. Electrochem. Sci. Eng. 2020, 10, 29–40. [Google Scholar] [CrossRef]
- Garkani-Nejad, F.; Beitollahi, H.; Tajik, S.; Jahani, S. La3+-doped Co3O4 nanoflowers modified graphite screen printed electrode for electrochemical sensing of vitamin B6. Anal. Bioanal. Chem. Res. 2019, 6, 69–79. [Google Scholar]
- Saghiri, S.; Ebrahimi, M.; Bozorgmehr, M.R. Electrochemical amplified sensor with MgO nanoparticle and ionic liquid: A powerful strategy for methyldopa analysis. Chem. Methodol. 2021, 5, 234–239. [Google Scholar]
- Garkani-Nejad, F.; Beitollahi, H.; Alizadeh, R. Sensitive determination of hydroxylamine on ZnO nanorods/graphene oxide nanosheets modified graphite screen printed electrode. Anal. Bioanal. Electrochem. 2017, 9, 134–144. [Google Scholar]
- Shamsi, A.; Ahour, F. Electrochemical sensing of thioridazine in human serum samples using modified glassy carbon electrode. Adv. J. Chem. Sect. A 2020, 4, 22–31. [Google Scholar]
- Pirozmand, M.; Nezhadali, A.; Payehghadr, M.; Saghatforoush, L. Ultratrace determination of cadmium ion in petro-chemical sample by a new modified carbon paste electrode as voltammetric sensor. Eurasian Chem. Commun. 2020, 2, 1021–1032. [Google Scholar]
- Aoboun, A.; Cherdhirunkorn, B.; Pechyen, C. Development of screen printed electrode using MWCNTs–TiO2 nanocomposite as a low-cost device for uric acid detection in urine. J. Mater. Sci. Mater. Electron. 2019, 30, 2403–2412. [Google Scholar] [CrossRef]
- Shehata, M.; Fekry, A.M.; Walcarius, A. Moxifloxacin hydrochloride electrochemical detection at gold nanoparticles modified screen-printed electrode. Sensors 2020, 20, 2797. [Google Scholar] [CrossRef]
- Kneževiæ, S.; Ognjanoviæ, M.; Nediæ, N.; Mariano, J.F.; Milanoviæ, Z.; Petkoviæ, B.; Stankoviæ, D. A single drop histamine sensor based on AuNPs/MnO2 modified screen-printed electrode. Microchem. J. 2020, 155, 104778. [Google Scholar] [CrossRef]
- Tajik, S.; Beitollahi, H.; Won Jang, H.; Shokouhimehr, M. A screen printed electrode modified with Fe3O4@polypyrrole-Pt core-shell nanoparticles for electrochemical detection of 6-mercaptopurine and 6-thioguanine. Talanta 2021, 232, 122379. [Google Scholar] [CrossRef]
- de Cássia Mendonça, J.; da Rocha, L.R.; Capelari, T.B.; Prete, M.C.; Angelis, P.N.; Segatelli, M.G.; Tarley, C.R.T. Design and performance of novel molecularly imprinted biomimetic adsorbent for preconcentration of prostate cancer bi-omarker coupled to electrochemical determination by using multi-walled carbon nanotubes/Nafion®/Ni(OH)2-modified screen-printed electrode. J. Electroanal. Chem. 2020, 878, 114582. [Google Scholar] [CrossRef]
- Chouiref, L.; Jaballah, S.; Erouel, M.; Moutia, N.; Hzez, W.; Ghiloufi, I.; El Mir, L. Development and electrical characteriza-tion of screen-printed electrode based on ZnO nanoparticles. J. Mater. Sci. Mater. Electron. 2020, 31, 13899–13908. [Google Scholar] [CrossRef]
- Abrishamkar, M.; Ehsani Tilami, S.; Hosseini Kaldozakh, S. Electrocatalytic oxidation of cefixime at the surface of modi-fied carbon paste electrode with synthesized nano zeolite. Adv. J. Chem. Sect. A 2020, 3, 767–776. [Google Scholar]
- Antuña-Jiménez, D.; González-García, M.B.; Hernández-Santos, D.; Fanjul-Bolado, P. Screen-printed electrodes modified with metal nanoparticles for small molecule sensing. Biosensors 2020, 10, 9. [Google Scholar] [CrossRef] [PubMed] [Green Version]
- Murtada, K.; Salghi, R.; Ríos, A.; Zougagh, M. A sensitive electrochemical sensor based on aluminium doped copper selenide nanoparticles-modified screen printed carbon electrode for determination of L-tyrosine in pharmaceutical samples. J. Electroanal. Chem. 2020, 874, 114466. [Google Scholar] [CrossRef]
- Prasad, P.; Sreedhar, N.Y. Effective SWCNTs/Nafion electrochemical sensor for detection of dicapthon pesticide in water and agricultural food samples. Chem. Methodol. 2018, 2, 277–290. [Google Scholar]
- Chinnapaiyan, S.; Chen, T.W.; Chen, S.M.; Alothman, Z.A.; Ali, M.A.; Wabaidur, S.M.; Chang, W.H. Ultrasonic-assisted preparation and characterization of magnetic ZnFe2O4/g-C3N4 nanomaterial and their applications towards electrocatalytic reduction of 4-nitrophenol. Ultrason. Sonochem. 2020, 68, 105071. [Google Scholar] [CrossRef]
- Motahharinia, M.; Zamani, H.A.; Karimi-Maleh, H. Electrochemical determination of doxorubicin in injection samples using paste electrode amplified with reduced graphene oxide/Fe3O4 nanocomposite and 1-Hexyl-3-methylimidazolium Hexafluorophosphate. Chem. Methodol. 2021, 5, 107–113. [Google Scholar]
- Sagayaraj, R.; Aravazhi, S.; Praveen, P.; Chandrasekaran, G. Correction to: Structural, morphological and magnetic characters of PVP coated ZnFe2O4 nanoparticles. J. Mater. Sci. Mater. Electron. 2018, 29, 17090–17091. [Google Scholar] [CrossRef] [Green Version]
- Reddy, I.N.; Manjunath, V.; Shim, J. Structural and optical properties, electrochemical impedance spectroscopy, and Mott–Schottky analysis of ZnFe2O4 nanoparticle-decorated V2O5 rectangular nanosheets for photoelectrochemical applications. J. Environ. Chem. Eng. 2021, 9, 106131. [Google Scholar] [CrossRef]
- Yang, B.; Wang, C.; Xiao, R.; Yu, H.; Wang, J.; Liu, H.; Xiao, J. High sensitivity and fast response sensor based on sputtering Au tuned ZnFe2O4-SE for low concentration NH3 detection. Mater. Chem. Phys. 2020, 239, 122302. [Google Scholar] [CrossRef]
- Rabiee, N.; Safarkhani, M.; Rabiee, M. Ultra-sensitive electrochemical on-line de-termination of Clarithromycin based on Poly (L-Aspartic acid)/graphite oxide/pristine graphene/glassy carbon electrode. Asian J. Nanosci. Mater. 2018, 1, 63–73. [Google Scholar]
- Wei, W.; Yang, S.; Hu, H.; Li, H.; Jiang, Z. Hierarchically grown ZnFe2O4-decorated polyaniline-coupled-graphene nanosheets as a novel electrocatalyst for selective detecting p-nitrophenol. Microchem. J. 2021, 160, 105777. [Google Scholar] [CrossRef]
- Tahernejad-Javazmi, F.; Shabani-Nooshabadi, M.; Karimi-Maleh, H. 3D reduced graphene oxide/FeNi3-ionic liquid nanocomposite modified sensor; an electrical synergic effect for development of tert-butylhydroquinone and folic acid sensor. Compos. Part B Eng. 2019, 172, 666–670. [Google Scholar] [CrossRef]
- Li, Z.; Cao, J.; Xia, Z.; Fan, M.; Wei, D.; Yang, H. Self-assembled ZnFe2O4 hollow spheres/GO hybrid anode with excellent electrochemical performance for lithium-ion batteries. J. Mater. Sci. Mater. Electron. 2020, 31, 1126–1134. [Google Scholar] [CrossRef]
- Vinodhkumar, G.; Ramya, R.; Vimalan, M.; Potheher, I.; Cyrac Peter, A. Reduced graphene oxide based on simultaneous detection of neurotransmitters. Prog. Chem. Biochem. Res. 2018, 1, 40–49. [Google Scholar] [CrossRef] [Green Version]
- Askari, M.B.; Salarizadeh, P.; Seifi, M.; Di Bartolomeo, A. ZnFe2O4 nanorods on reduced graphene oxide as advanced supercapacitor electrodes. J. Alloys Compd. 2021, 860, 158497. [Google Scholar] [CrossRef]
- Beitollahi, H.; Tajik, S.; Karimi Malehd, H.; Hosseinzadehe, R. Application of a 1-benzyl-4-ferrocenyl-1H-[1,2,3]-triazole/carbon nanotube modified glassy carbon electrode for Voltammetric determination of hydrazine in water samples. Appl. Organomet. Chem. 2013, 27, 444–450. [Google Scholar] [CrossRef]
- Soltaninejad, V.; Maleki, A.; Beitollahi, H.; Zare-Dorabei, R. Fabrication of a sensitive electrochemical sensor based on modified screen printed electrode for hydrazine analysis in water samples. Int. J. Environ. Anal. Chem. 2020. [Google Scholar] [CrossRef]
- Faisal, M.; Harraz, F.A.; Al-Salami, A.E.; Al-Sayari, S.A.; Al-Hajry, A.; Al-Assiri, M.S. Polythiophene/ZnO nanocompo-site-modified glassy carbon electrode as efficient electrochemical hydrazine sensor. Mater. Chem. Phys. 2018, 214, 126–134. [Google Scholar] [CrossRef]
- Srinidhi, G.; Sudalaimani, S.; Giribabu, K.; Basha, S.S.; Suresh, C. Amperometric determination of hydrazine using a CuS-ordered mesoporous carbon electrode. Microchim. Acta 2020, 187, 359. [Google Scholar] [CrossRef]
- Zhou, T.; Lu, P.; Zhang, Z.; Wang, Q.; Umar, A. Perforated Co3O4 nanoneedles assembled in chrysanthemum-like Co3O4 structures for ultra-high sensitive hydrazine chemical sensor. Sens. Actuators B Chem. 2016, 235, 457–465. [Google Scholar] [CrossRef]





| Electrochemical Sensor | Electrochemical Method | Linear Range | LOD | Ref. |
|---|---|---|---|---|
| Nitrogen-doped graphene -polyvinylpyrrolidone-gold nanoparticles/screen-printed carbon electrode | Square wave voltammetry | 2–300 μM | 0.07 μM | [3] |
| 1-benzyl-4-ferrocenyl-1H- [1,2,3]-triazole/carbon nanotube modified glassy carbon electrode | Square wave voltammetry | 0.5–700.0 µM | 33.0 nM | [47] |
| poly(vinyl alcohol)/chitosan/TiO2/chlorophyll nanocomposite modified screen printed electrode | DPV | 0.45–350.0 μM | 0.015 μM | [48] |
| polythiophene-ZnO nanocomposite/glassy carbon electrode | Amperometry | 0.5–48 μM | 0.207 μM | [49] |
| Copper sulfide–ordered mesoporous carbon/glassy carbon electrode | Amperometry | 0.25–40 μM | 0.10 μM | [50] |
| Chrysanthemum-like Co3O4/glassy carbon electrode | Amperometry | 50–1088 μM | 3.7 μM | [51] |
| ZnFe2O4/RGO/SPE | DPV | 0.03–610.0 µM | 0.01 μM | This work |
| Sample | Spiked | Found | Recovery (%) | R.S.D. (%) |
|---|---|---|---|---|
| Drinking water | 0 | - | - | - |
| 4.0 | 4.1 | 102.5 | 1.7 | |
| 6.0 | 5.8 | 96.7 | 3.3 | |
| 8.0 | 8.3 | 103.7 | 2.3 | |
| 10.0 | 9.9 | 99.0 | 2.9 | |
| Tap water | 0 | - | - | - |
| 5.0 | 4.9 | 98.0 | 2.2 | |
| 8.0 | 8.1 | 101.2 | 1.8 | |
| 11.0 | 11.4 | 103.6 | 3.5 | |
| 14.0 | 13.9 | 99.2 | 2.1 | |
| River water | 0 | - | - | - |
| 4.0 | 3.0 | 97.5 | 3.6 | |
| 7.0 | 7.1 | 101.4 | 2.1 | |
| 10.0 | 9.8 | 98.0 | 2.9 | |
| 13.0 | 13.5 | 103.8 | 2.5 |
Publisher’s Note: MDPI stays neutral with regard to jurisdictional claims in published maps and institutional affiliations. |
© 2022 by the authors. Licensee MDPI, Basel, Switzerland. This article is an open access article distributed under the terms and conditions of the Creative Commons Attribution (CC BY) license (https://creativecommons.org/licenses/by/4.0/).
Share and Cite
Tajik, S.; Askari, M.B.; Ahmadi, S.A.; Nejad, F.G.; Dourandish, Z.; Razavi, R.; Beitollahi, H.; Di Bartolomeo, A. Electrochemical Sensor Based on ZnFe2O4/RGO Nanocomposite for Ultrasensitive Detection of Hydrazine in Real Samples. Nanomaterials 2022, 12, 491. https://doi.org/10.3390/nano12030491
Tajik S, Askari MB, Ahmadi SA, Nejad FG, Dourandish Z, Razavi R, Beitollahi H, Di Bartolomeo A. Electrochemical Sensor Based on ZnFe2O4/RGO Nanocomposite for Ultrasensitive Detection of Hydrazine in Real Samples. Nanomaterials. 2022; 12(3):491. https://doi.org/10.3390/nano12030491
Chicago/Turabian StyleTajik, Somayeh, Mohammad Bagher Askari, Sayed Ali Ahmadi, Fraiba Garkani Nejad, Zahra Dourandish, Razieh Razavi, Hadi Beitollahi, and Antonio Di Bartolomeo. 2022. "Electrochemical Sensor Based on ZnFe2O4/RGO Nanocomposite for Ultrasensitive Detection of Hydrazine in Real Samples" Nanomaterials 12, no. 3: 491. https://doi.org/10.3390/nano12030491
APA StyleTajik, S., Askari, M. B., Ahmadi, S. A., Nejad, F. G., Dourandish, Z., Razavi, R., Beitollahi, H., & Di Bartolomeo, A. (2022). Electrochemical Sensor Based on ZnFe2O4/RGO Nanocomposite for Ultrasensitive Detection of Hydrazine in Real Samples. Nanomaterials, 12(3), 491. https://doi.org/10.3390/nano12030491

