Unprecedented Mechanochemical Synthesis and Heterogenization of a C-Scorpionate Au(III) Catalyst for Microwave-Assisted Biomass Valorization
Abstract
:1. Introduction
2. Materials and Methods
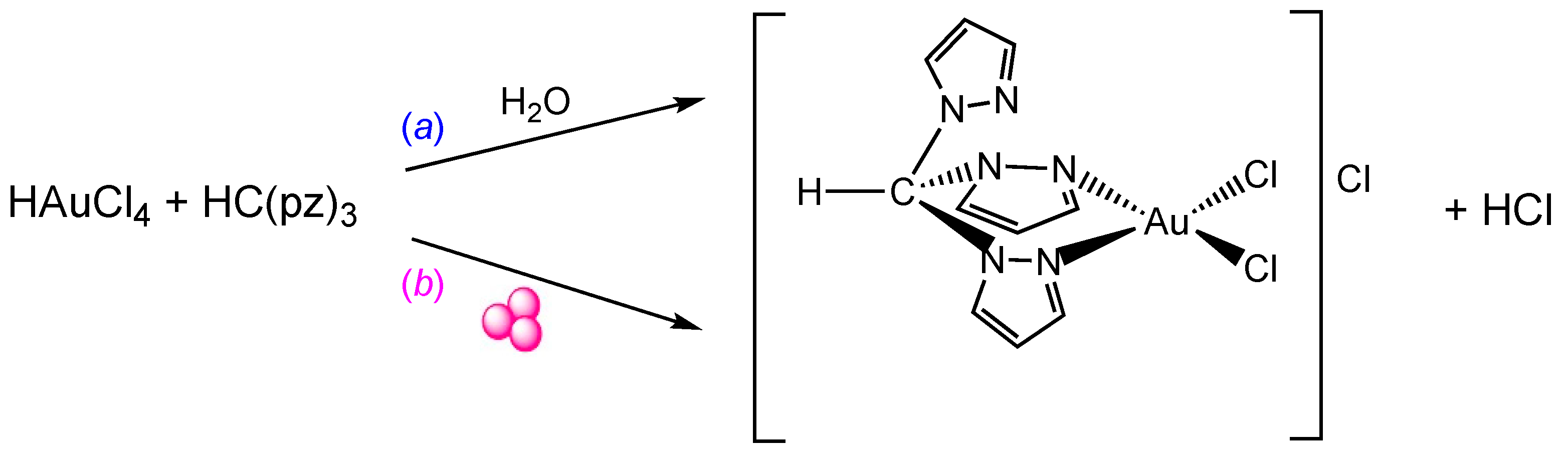
2.1. Synthesis of C-Scorpionate Gold(III) Complex, [AuCl2(κ2-Tpm)]Cl
2.2. Immobilization of [AuCl2(κ2-Tpm)]Cl on Graphene
2.2.1. Wet Impregnation (WI)
2.2.2. Microwave Irradiation (MW)
2.2.3. Liquid Assisted Grinding (LAG)
2.3. Microwave-Assisted Oxidation Reactions
3. Results
3.1. Dry Mechanochemical and Liquid Phase Synthesis of [AuCl2(Tpm)]Cl
3.2. Heterogenization of [AuCl2(κ2-Tpm)]Cl on Graphene (G)
3.3. Microwave-Assisted Oxidation Reaction of Glycerol to DHA
3.4. Microwave-Assisted Oxidation Reaction of HMF to DFF
3.5. Microwave-Assisted Oxidation Reaction of HFCA to FFCA
4. Conclusions
Supplementary Materials
Author Contributions
Funding
Conflicts of Interest
References
- U.S. Census. U.S. and World Population Clock. Available online: https://www.census.gov/popclock/ (accessed on 27 December 2021).
- Eurostat. Waste Statistics–Statistics Explained. Available online: https://ec.europa.eu/eurostat/statistics-explained/index.php?title=Waste_statistics#Total_waste_generation (accessed on 17 December 2021).
- Pagliaro, M. Glycerol: The Renewable Platform Chemical; Elsevier Science Publishing Co Inc.: Berkeley, CA, USA, 2017. [Google Scholar]
- Cristino, A.F.; Matias, I.A.S.; Bastos, D.E.N.; Galhano dos Santos, R.; Ribeiro, A.P.C.; Martins, L.M.D.R.S. Glycerol Role in Nano Oxides Synthesis and Catalysis. Catalysts 2020, 10, 1406. [Google Scholar] [CrossRef]
- Bartoli, M.; Rosi, L.; Frediani, M. Introductory Chapter: A Brief Insight about Glycerol, Glycerine Production and Transformation—An Innovative Platform for Sustainable Biorefinery and Energy; IntechOpen: London, UK, 2019. [Google Scholar]
- Sajid, M.; Zhao, X.; Liu, D. Production of 2,5-furandicarboxylic acid (FDCA) from 5-hydroxymethylfurfural (HMF): Recent progress focusing on the chemical-catalytic routes. Green Chem. 2018, 20, 5427–5453. [Google Scholar] [CrossRef]
- United Nation Foundations. Sustainable Development Goals. Available online: https://unfoundation.org/what-we-do/issues/sustainable-development-goals/?gclid=CjwKCAjwj8eJBhA5EiwAg3z0mw6Lmeioti1m2lm2rYqUzMCbu3Pi03uUv005ebyzDpAyPemVgHk_-RoCuDQQAvD_BwE (accessed on 3 December 2021).
- Pozar, D.M. Microwave Engineering, 4th ed.; John Wiley & Sons, Inc.: Hoboken, NJ, USA, 2012. [Google Scholar]
- De Almeida, M.P.; Martins, L.M.D.R.S.; Carabineiro, S.A.C.; Lauterbach, T.; Rominger, F.; Hashmi, A.S.K.; Pombeiro, A.J.L.; Figueiredo, J.L. Homogeneous and Heterogenised New Gold C-Scorpionate Complexes as Catalysts for Cyclohexane Oxidation. Catal. Sci. Technol. 2013, 3, 3056–3069. [Google Scholar] [CrossRef] [Green Version]
- Martins, L.M.D.R.S.; Pombeiro, A.J.L. Water-soluble C-scorpionate complexes: Catalytic and biological applications. Eur. J. Inorg. Chem. 2016, 2016, 2236–2252. [Google Scholar] [CrossRef]
- Ribeiro, A.P.C.; Martins, L.M.D.R.S.; Pombeiro, A.J.L. N2O-free single-pot conversion of cyclohexane to adipic acid catalysed by an iron(II) scorpionate complex. Green Chem. 2017, 19, 1499–1501. [Google Scholar] [CrossRef]
- Mishra, G.S.; Silva, T.F.S.; Martins, L.M.D.R.S.; Pombeiro, A.J.L. Scorpionate V(III-V) Complexes as Catalyst Precursors for Solvent-free Cyclohexane Oxidation with Dioxygen. Pure Appl. Chem. 2009, 81, 1217–1227. [Google Scholar] [CrossRef]
- Martins, L.M.D.R.S.; Pombeiro, A.J.L. Tris(pyrazol-1yl)methane metal complexes for catalytic mild oxidative functionalizations of alkanes, alkenes and ketones. Coord. Chem. Rev. 2014, 265, 74–88. [Google Scholar] [CrossRef]
- Martins, L.M.D.R.S. C-scorpionate complexes: Ever young catalytic tools. Coord. Chem. Rev. 2019, 396, 89–102. [Google Scholar] [CrossRef]
- Wang, J.; Martins, L.M.D.R.S.; Ribeiro, A.P.C.; Carabineiro, S.A.C.; Figueiredo, J.L.; Pombeiro, A.J.L. Supported C-Scorpionate Vanadium(IV) Complexes as Reusable Catalysts for Xylene Oxidation. Chem. Asian J. 2017, 12, 1915–1919. [Google Scholar] [CrossRef]
- Martins, L.M.D.R.S.; Ribeiro, A.P.C.; Carabineiro, S.A.C.; Figueiredo, J.L.; Pombeiro, A.J.L. Highly efficient and reusable CNT supported iron(II) catalyst for microwave assisted alcohol oxidation. Dalton Trans. 2016, 45, 6816–6819. [Google Scholar] [CrossRef] [Green Version]
- Martins, L.M.D.R.S.; Alegria, E.C.B.A.; Smoleński, P.; Kuznetsov, M.L.; Pombeiro, A.J.L. Oxorhenium complexes bearing the water-soluble tris(pyrazol-1-yl)methanesulfonate, 1,3,5-triaza-7-phosphaadamantane or related ligands, as catalysts for the Baeyer-Villiger oxidation of ketones. Inorg. Chem. 2013, 52, 4534–4546. [Google Scholar] [CrossRef] [PubMed] [Green Version]
- Duarte, T.A.; Carvalho, A.P.; Martins, L.M.D.R.S. Styrene oxidation catalyzed by copper(II) C-scorpionates in homogenous medium and immobilized on sucrose derived hydrochars. Catal. Today 2020, 357, 56–63. [Google Scholar] [CrossRef]
- Alegria, E.C.B.A.; Martins, L.M.D.R.S.; Guedes da Silva, M.F.C.; Pombeiro, A.J.L. Syntheses and Properties of Re(III) Complexes Derived from Hydrotris(1-pyrazolyl)methanes. Molecular Structure of [ReCl2(HCpz3)(PPh3)][BF4]. J. Organomet. Chem. 2005, 690, 1947–1958. [Google Scholar] [CrossRef]
- Martins, L.M.D.R.S.; Peixoto de Almeida, M.; Carabineiro, S.A.C.; Figueiredo, J.L.; Pombeiro, A.J.L. Heterogenisation of a C-scorpionate Fe(II) complex in carbon materials for cyclohexane oxidation with hydrogen peroxide. ChemCatChem 2013, 5, 3847–3856. [Google Scholar] [CrossRef]
- Ribeiro, A.P.C.; Martins, L.M.D.R.S.; Pombeiro, A.J.L. Carbon dioxide-to-methanol single-pot conversion using a C-scorpionate iron(II) catalyst. Green Chem. 2017, 19, 4801–4962. [Google Scholar] [CrossRef]
- Matias, I.A.S.; Ribeiro, A.P.C.; Martins, L.M.D.R.S. New C-scorpionate nickel(II) catalyst for Heck C-C coupling under unconventional conditions. J. Organomet. Chem. 2019, 896, 32–37. [Google Scholar] [CrossRef]
- Carabineiro, S.A.C.; Martins, L.M.D.R.S.; Avalos-Borja, M.; Buijnsters, J.G.; Pombeiro, A.J.L.; Figueiredo, J.L. Gold nanoparticles supported on carbon materials for cyclohexane oxidation with hydrogen peroxide. Appl. Catal. A 2013, 467, 279–290. [Google Scholar] [CrossRef]
- Colacino, E.; Ennas, G.; Halasz, I.; Porcheddu, A.; Scano, A. (Eds.) Mechanochemistry, a Practical Introduction from Soft to Hard Materials; De Gruyter STEM: Berlin, Germany, 2021. [Google Scholar]
- Sheldon, R.A. Selective catalytic synthesis of fine chemicals: Opportunities and trends. J. Mol. Catal. A Chem. 1996, 107, 75–83. [Google Scholar] [CrossRef]
- Reger, D.L.; Grattan, T.C.; Brown, K.J.; Little, C.A.; Lamba, J.J.S.; Rheingold, A.L.; Sommer, R.D. Syntheses of tris(pyrazolyl)methane ligands and {[tris(pyrazolyl)methane]Mn(CO)3}SO3CF3 complexes: Comparison of ligand donor properties. J. Organomet. Chem. 2000, 607, 120–128. [Google Scholar] [CrossRef]
- Silva, T.F.S.; da Silva, M.F.C.G.; Mishra, G.S.; Martins, L.M.D.R.S.; Pombeiro, A.J.L. Synthesis and structural characterization of iron complexes with 2,2,2-tris(1-pyrazolyl)ethanol ligands: Application in the peroxidative oxidation of cyclohexane under mild conditions. J. Organomet. Chem. 2011, 696, 1310–1318. [Google Scholar] [CrossRef]
- Carapeto, A.P.; Ferraria, A.M.; do Rego, A.M.B. Unraveling the reaction mechanism of silver ions reduction by chitosan from so far neglected spectroscopic features. Carbohydr. Polym. 2017, 174, 601–609. [Google Scholar] [CrossRef] [PubMed]
- Carapeto, A.P.; Ferraria, A.M.; Boufi, S.; Rei Vilar, M.; do Rego, A.M.B. Ion reduction in metallic nanoparticles nucleation and growth on cellulose films: Does substrate play a role? Cellulose 2015, 22, 173–186. [Google Scholar] [CrossRef]
- Beamson, G.; Briggs, D. High Resolution XPS of Organic Polymers, The Scienta ESCA300 Database; John Wiley: Hoboken, NJ, USA, 1992. [Google Scholar]
- Iskandar, F.; Hikmah, U.; Stavilab, E.; Aimona, A.H. Microwave-assisted reduction method under nitrogen atmosphere for synthesis and electrical conductivity improvement of reduced graphene oxide (rGO). RSC Adv. 2017, 7, 52391. [Google Scholar] [CrossRef] [Green Version]
- Kaushal, A.; Dhawan, S.K.; Singh, V. Determination of crystallite size, number of graphene layers and defect density of graphene oxide (GO) and reduced graphene oxide (RGO). AIP Conf. Proc. 2019, 2115, 030106. [Google Scholar] [CrossRef]
- Ying, P.; Yu, J.; Su, W. Liquid-Assisted Grinding Mechanochemistry in the Synthesis of Pharmaceuticals. Adv. Synth. Catal. 2021, 363, 1615–4150. [Google Scholar] [CrossRef]













| [AuCl2(κ2-Tpm)]Cl | Impregnation Method | Au (wt %.) (2% Max.) | Au (wt %.) (10% Max.) |
|---|---|---|---|
| mechanochemistry ([AuCl2(κ2-Tpm)]Cl_BM) | WI | 1.18 | 6.56 |
| MW | 1.61 | 8.45 | |
| LAG | 1.97 | 9.72 | |
| liquid phase ([AuCl2(κ2-Tpm)]Cl_LP) | WI | 1.25 | 5.84 |
| MW | 1.16 | 9.18 | |
| LAG | 1.89 | 9.22 |
| Entry | T (°C) | Catalyst b | Catalyst (μmol) | DHA Yield c (%) | Conversion (%) | TOF d (h−1) |
|---|---|---|---|---|---|---|
| 1 | 50 | 10 | 25 | 26 | 63 | |
| 2 | 50 | [AuCl2(Tpm)]Cl_LP | 20 | 73 | 74 | 91 |
| 3 | 80 | 10 | 10 | 80 | 25 | |
| 4 | 50 | 10 | 23 | 23 | 58 | |
| 5 | 50 | [AuCl2(Tpm)]Cl_BM | 20 | 74 | 76 | 93 |
| 6 | 80 | 10 | 10 | 84 | 25 | |
| 7 | 50 | 10 | 2 | 30 | 5 | |
| 8 | 50 | HAuCl4·3H2O | 20 | 16 | 93 | 20 |
| 9 | 80 | 10 | 8 | 100 | 20 | |
| 10 | 50 | - | - | 0 | 1 | - |
| Entry | T (°C) | Catalyst | DHA Yield b (%) | Conversion (%) | TOF c (h−1) |
|---|---|---|---|---|---|
| 1 | 50 | [AuCl2(Tpm)]Cl_BM@G_LAG(2%) | 87 | 93 | 109 |
| 2 | 80 | [AuCl2(Tpm)]Cl_BM@G_LAG(2%) | 76 | 96 | 95 |
| 3 | 50 | [AuCl2(Tpm)]Cl_BM@G_LAG(10%) | 51 | 91 | 64 |
| 4 | 50 | [AuCl2(Tpm)]Cl_LP@G_LAG(2%) | 86 | 90 | 108 |
| 5 | 80 | [AuCl2(Tpm)]Cl_LP@G_LAG(2%) | 65 | 97 | 82 |
| 6 | 50 | [AuCl2(Tpm)]Cl_LP@G_LAG(10%) | 56 | 97 | 70 |
| 7 | 50 | [AuCl2(Tpm)]Cl_BM@G_MW(2%) | 82 | 88 | 103 |
| 8 | 80 | [AuCl2(Tpm)]Cl_BM@G_MW(2%) | 49 | 77 | 61 |
| 9 | 50 | [AuCl2(Tpm)]Cl_BM@G_MW(10%) | 77 | 80 | 96 |
| 10 | 50 | [AuCl2(Tpm)]Cl_LP@G_MW(2%) | 83 | 87 | 104 |
| 11 | 80 | [AuCl2(Tpm)]Cl_LP@G_MW(2%) | 53 | 91 | 66 |
| 12 | 50 | [AuCl2(Tpm)]Cl_LP@G_MW(10%) | 47 | 94 | 59 |
| 13 | 50 | [AuCl2(Tpm)]Cl_BM@G_WI(2%) | 79 | 87 | 99 |
| 14 | 80 | [AuCl2(Tpm)]Cl_BM@G_WI(2%) | 45 | 68 | 56 |
| 15 | 50 | [AuCl2(Tpm)]Cl_BM@G_WI(10%) | 76 | 99 | 95 |
| 16 | 50 | [AuCl2(Tpm)]Cl_LP@G_WI(2%) | 81 | 88 | 101 |
| 17 | 80 | [AuCl2(Tpm)]Cl_LP@G_WI(2%) | 55 | 97 | 69 |
| 18 | 50 | [AuCl2(Tpm)]Cl_LP@G_WI(10%) | 52 | 89 | 65 |
| 19 | 50 | Graphene (G) | 1 | 2 | - |
| Entry | Catalyst | DFF Yield b (%) | Conversion (%) | TOF c (h−1) |
|---|---|---|---|---|
| 1 | [AuCl2(Tpm)]Cl_BM | 63 | 63 | 79 |
| 2 | [AuCl2(Tpm)]Cl_BM@G_LAG(2%) | 72 | 72 | 90 |
| 4 | [AuCl2(Tpm)]Cl_BM@G_MW(2%) | 84 | 84 | 105 |
| 5 | [AuCl2(Tpm)]Cl_BM@G_WI(2%) | 74 | 75 | 93 |
| 6 | [AuCl2(Tpm)]Cl_LP | 64 | 65 | 80 |
| 7 | [AuCl2(Tpm)]Cl_LP@G_LAG(2%) | 71 | 71 | 89 |
| 8 | [AuCl2(Tpm)]Cl_LP@G_MW(2%) | 83 | 83 | 104 |
| 9 | [AuCl2(Tpm)]Cl_LP@G_WI(2%) | 72 | 73 | 90 |
| 10 | Graphene (G) | 2 | 6 | 3 |
| 11 | - | 0 | 1 | - |
| Entry | T (°C) | Catalyst | FFCA Yield b (%) | Conversion (%) | TOF c (h−1) |
|---|---|---|---|---|---|
| 1 | 50 | [AuCl2(Tpm)]Cl_BM | 12 | 13 | 15 |
| 2 | 50 | HAuCl4·3H2O | 8 | 10 | 10 |
| 3 | 50 | [AuCl2(Tpm)]Cl_BM@G_LAG(2%) | 25 | 26 | 32 |
| 4 | 80 | [AuCl2(Tpm)]Cl_BM@G_LAG(2%) | 58 | 60 | 73 |
| 5 | 50 | [AuCl2(Tpm)]Cl_BM@G_MW(2%) | 24 | 26 | 30 |
| 6 | 50 | [AuCl2(Tpm)]Cl_BM@G_WI(2%) | 30 | 35 | 38 |
| 7 | 50 | Graphene (G) | 0 | 2 | - |
| 8 | 50 | - | 0 | 0 | - |
Publisher’s Note: MDPI stays neutral with regard to jurisdictional claims in published maps and institutional affiliations. |
© 2022 by the authors. Licensee MDPI, Basel, Switzerland. This article is an open access article distributed under the terms and conditions of the Creative Commons Attribution (CC BY) license (https://creativecommons.org/licenses/by/4.0/).
Share and Cite
Matias, I.A.S.; Selfa, P.G.; Ferraria, A.M.; Botelho do Rego, A.M.; Kopylovich, M.N.; Ribeiro, A.P.C.; Martins, L.M.D.R.S. Unprecedented Mechanochemical Synthesis and Heterogenization of a C-Scorpionate Au(III) Catalyst for Microwave-Assisted Biomass Valorization. Nanomaterials 2022, 12, 362. https://doi.org/10.3390/nano12030362
Matias IAS, Selfa PG, Ferraria AM, Botelho do Rego AM, Kopylovich MN, Ribeiro APC, Martins LMDRS. Unprecedented Mechanochemical Synthesis and Heterogenization of a C-Scorpionate Au(III) Catalyst for Microwave-Assisted Biomass Valorization. Nanomaterials. 2022; 12(3):362. https://doi.org/10.3390/nano12030362
Chicago/Turabian StyleMatias, Inês A. S., Pablo G. Selfa, Ana M. Ferraria, Ana M. Botelho do Rego, Maximilian N. Kopylovich, Ana P. C. Ribeiro, and Luísa M. D. R. S. Martins. 2022. "Unprecedented Mechanochemical Synthesis and Heterogenization of a C-Scorpionate Au(III) Catalyst for Microwave-Assisted Biomass Valorization" Nanomaterials 12, no. 3: 362. https://doi.org/10.3390/nano12030362
APA StyleMatias, I. A. S., Selfa, P. G., Ferraria, A. M., Botelho do Rego, A. M., Kopylovich, M. N., Ribeiro, A. P. C., & Martins, L. M. D. R. S. (2022). Unprecedented Mechanochemical Synthesis and Heterogenization of a C-Scorpionate Au(III) Catalyst for Microwave-Assisted Biomass Valorization. Nanomaterials, 12(3), 362. https://doi.org/10.3390/nano12030362

