The Thermoelectric Properties of Spongy PEDOT Films and 3D-Nanonetworks by Electropolymerization
Abstract
1. Introduction
2. Experimental Methods
2.1. Fabrication Method of Electropolymerized PEDOT Films
2.2. Morphological Characterization and Chemical Structure of PEDOT Films
2.3. Thermoelectric Characterization of PEDOT Films
3. Results and Discussion
3.1. Fabrication of PEDOT Films
3.2. Morphological Characterization and Chemical Structure of PEDOT Films
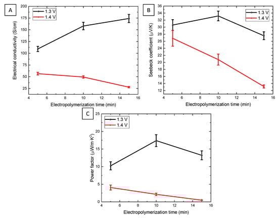
3.3. Thermoelectric Characterization of PEDOT Films
3.4. 3D-PEDOT Nanonetworks
4. Conclusions
Author Contributions
Funding
Data Availability Statement
Acknowledgments
Conflicts of Interest
References
- Abad, B.; Alda, I.; Díaz-Chao, P.; Kawakami, H.; Almarza, A.; Amantia, D.; Gutierrez, D.; Aubouy, L.; Martín-González, M. Improved power factor of polyaniline nanocomposites with exfoliated graphene nanoplatelets (GNPs). J. Mater. Chem. A 2013, 1, 10450–10457. [Google Scholar] [CrossRef]
- Maiz, J.; Rojo, M.; Abad, B.; Wilson, A.; Nogales, A.; Borca-Tasciuc, D.-A.; Borca-Tasciuc, T.; Martín-González, M. Enhancement of thermoelectric efficiency of doped PCDTBT polymer films. RSC Adv. 2015, 5, 66687. [Google Scholar] [CrossRef]
- Culebras, M.; Gómez, C.; Cantarero, A. Review on Polymers for Thermoelectric Applications. Materials 2014, 7, 6701–6732. [Google Scholar] [CrossRef]
- Kim, G.H.; Shao, L.; Zhang, K.; Pipe, K.P. Engineered doping of organic semiconductors for enhanced thermoelectric efficiency. Nat. Mater. 2013, 12, 719–723. [Google Scholar] [CrossRef]
- Mengistie, D.A.; Chen, C.-H.; Boopathi, K.M.; Pranoto, F.W.; Li, L.-J.; Chu, C.-W. Enhanced Thermoelectric Performance of PEDOT:PSS Flexible Bulky Papers by Treatment with Secondary Dopants. ACS Appl. Mater. Interfaces 2015, 7, 94–100. [Google Scholar] [CrossRef]
- Zhang, S.; Fan, Z.; Wang, X.; Zhang, Z.; Ouyang, J. Enhancement of the thermoelectric properties of PEDOT:PSS via one-step treatment with cosolvents or their solutions of organic salts. J. Mater. Chem. A 2018, 6, 7080–7087. [Google Scholar] [CrossRef]
- Peng, L.; Liu, Z. Enhancing thermoelectric properties by using a surface polarization effect based on PEDOT:PSS thin films. J. Mater. Chem. C 2019, 7, 6120–6128. [Google Scholar] [CrossRef]
- Jin Bae, E.; Hun Kang, Y.; Jang, K.-S.; Yun Cho, S. Enhancement of Thermoelectric Properties of PEDOT:PSS and Tellurium-PEDOT:PSS Hybrid Composites by Simple Chemical Treatment. Sci. Rep. 2016, 6, 18805. [Google Scholar] [CrossRef]
- Maeda, R.; Kawakami, H.; Shinohara, Y.; Kanazawa, I.; Mitsuishi, M. Thermoelectric properties of PEDOT/PSS films prepared by a Gel-film formation process. Mater. Lett. 2019, 251, 169–171. [Google Scholar] [CrossRef]
- Castagnola, V.; Bayon, C.; Descamps, E.; Bergaud, C. Morphology and conductivity of PEDOT layers produced by different electrochemical routes. Synth. Met. 2014, 189, 7–16. [Google Scholar] [CrossRef]
- Culebras, M.; Gómez, C.M.; Cantarero, A. Enhanced thermoelectric performance of PEDOT with different counter-ions optimized by chemical reduction. J. Mater. Chem. A 2014, 2, 10109–10115. [Google Scholar] [CrossRef]
- Seki, Y.; Takahashi, M.; Takashiri, M. Effects of different electrolytes and film thicknesses on structural and thermoelectric properties of electropolymerized poly(3,4-ethylenedioxythiophene) films. RSC Adv. 2019, 9, 15957–15965. [Google Scholar] [CrossRef]
- Fan, Z.; Ouyang, J. Thermoelectric Properties of PEDOT:PSS. Adv. Electron. Mater. 2019, 5, 1800769. [Google Scholar] [CrossRef]
- Zubair, N.; Abdul Rahman, N.; Lim, H.; Sulaiman, Y. Production of Conductive PEDOT-Coated PVA-GO Composite Nanofibers. Nanoscale Res. Lett. 2017, 12, 1–13. [Google Scholar] [CrossRef]
- Sakmeche, N.; Aeiyach, S.; Aaron, J.-J.; Jouini, M.; Lacroix, J.C.; Lacaze, P.-C. Improvement of the Electrosynthesis and Physicochemical Properties of Poly(3,4-ethylenedioxythiophene) Using a Sodium Dodecyl Sulfate Micellar Aqueous Medium. Langmuir 1999, 15, 2566–2574. [Google Scholar] [CrossRef]
- Darmanin, T.; Nicolas, M.; Guittard, F. Electrodeposited polymer films with both superhydrophobicity and superoleophilicity. Phys. Chem. Chem. Phys. 2008, 10, 4322–4326. [Google Scholar] [CrossRef]
- Wen, Y.; Xu, J.; He, H.; Lu, B.; Li, Y.; Dong, B. Electrochemical polymerization of 3,4-ethylenedioxythiophene in aqueous micellar solution containing biocompatible amino acid-based surfactant. J. Electroanal. Chem. 2009, 634, 49–58. [Google Scholar] [CrossRef]
- Nasybulin, E.; Xu, W.; Engelhard, M.H.; Li, X.S.; Gu, M.; Hu, D.; Zhang, J.-G. Electrocatalytic properties of poly(3,4-ethylenedioxythiophene) (PEDOT) in LiO2 battery. Electrochem. Commun. 2013, 29, 63–66. [Google Scholar] [CrossRef]
- Muñoz Rojo, M.; Abad, B.; Manzano, C.V.; Torres, P.; Cartoixà, X.; Alvarez, F.X.; Martín Gonzalez, M. Thermal conductivity of Bi2Te3 nanowires: How size affects phonon scattering. Nanoscale 2017, 9, 6741–6747. [Google Scholar] [CrossRef]
- Ruiz-Clavijo, A.; Caballero-Calero, O.; Manzano, C.V.; Maeder, X.; Beardo, A.; Cartoixà, X.; Álvarez, F.X.; Martín-González, M. 3D Bi2Te3 Interconnected Nanowire Networks to Increase Thermoelectric Efficiency. ACS Appl. Energy Mater. 2021, 4, 13556–13566. [Google Scholar] [CrossRef]
- Hu, X.; Chen, G.; Wang, X.; Wang, H. Tuning thermoelectric performance by nanostructure evolution of a conducting polymer. J. Mater. Chem. A 2015, 3, 20896–20902. [Google Scholar] [CrossRef]
- Zhang, J.; Zhang, K.; Xu, F.; Wang, S.; Qiu, Y. Thermoelectric transport in ultrathin poly(3,4-ethylenedioxythiophene) nanowire assembly. Compos. Part B Eng. 2018, 136, 234–240. [Google Scholar] [CrossRef]
- Ni, D.; Song, H.; Chen, Y.; Cai, K. Free-standing highly conducting PEDOT films for flexible thermoelectric generator. Energy 2019, 170, 53–61. [Google Scholar] [CrossRef]
- García-Barberá, A.; Culebras, M.; Roig-Sánchez, S.; Gómez, C.M.; Cantarero, A. Three dimensional PEDOT nanowires network. Synth. Met. 2016, 220, 208–212. [Google Scholar] [CrossRef]
- Taggart, D.K.; Yang, Y.; Kung, S.-C.; McIntire, T.M.; Penner, R.M. Enhanced Thermoelectric Metrics in Ultra-long Electrodeposited PEDOT Nanowires. Nano Lett. 2011, 11, 125–131. [Google Scholar] [CrossRef]
- Fonseca, S.M.; Moreira, T.; Parola, A.J.; Pinheiro, C.; Laia, C.A.T. PEDOT electrodeposition on oriented mesoporous silica templates for electrochromic devices. Sol. Energy Mater. Sol. Cells 2017, 159, 94–101. [Google Scholar] [CrossRef]
- Duvail, J.L.; Rétho, P.; Garreau, S.; Louarn, G.; Godon, C.; Demoustier-Champagne, S. Transport and vibrational properties of poly(3,4-ethylenedioxythiophene) nanofibers. Synth. Met. 2002, 131, 123–128. [Google Scholar] [CrossRef]
- Xiao, R.; Cho, S.I.; Liu, R.; Lee, S.B. Controlled Electrochemical Synthesis of Conductive Polymer Nanotube Structures. J. Am. Chem. Soc. 2007, 129, 4483–4489. [Google Scholar] [CrossRef]
- Resende, P.M.; Sanz, R.; Caballero-Calero, O.; Martín-González, M. Cost-Effective, Flexible, Hydrophobic, and Tunable Structural Color Polymeric Bragg Reflector Metastructures. Adv. Opt. Mater. 2018, 6, 1800408. [Google Scholar] [CrossRef]
- Resende, P.M.; Gutiérrez-Fernández, E.; Aguirre, M.H.; Nogales, A.; Martín-González, M. Polyethylene three-dimensional nano-networks: How lateral chains affect metamaterial formation. Polymer 2021, 212, 123145. [Google Scholar] [CrossRef]
- Abad, B.; Maiz, J.; Martin-Gonzalez, M. Rules to Determine Thermal Conductivity and Density of Anodic Aluminum Oxide (AAO) Membranes. J. Phys. Chem. C 2016, 120, 5361–5370. [Google Scholar] [CrossRef]
- Abad, B.; Rull-Bravo, M.; Hodson, S.L.; Xu, X.; Martin-Gonzalez, M. Thermoelectric properties of electrodeposited tellurium films and the sodium lignosulfonate effect. Electrochim. Acta 2015, 169, 37–45. [Google Scholar] [CrossRef]
- Taborda, J.A.P.; Romero, J.J.; Abad, B.; Muñoz-Rojo, M.; Mello, A.; Briones, F.; Gonzalez, M.S.M. Low thermal conductivity and improved thermoelectric performance of nanocrystalline silicon germanium films by sputtering. Nanotechnology 2016, 27, 175401. [Google Scholar] [CrossRef]
- Abad, B.; Maiz, J.; Ruiz-Clavijo, A.; Caballero-Calero, O.; Martin-Gonzalez, M. Tailoring thermal conductivity via three-dimensional porous alumina. Sci. Rep. 2016, 6, 38595. [Google Scholar] [CrossRef] [PubMed]
- Manzano, C.V.; Abad, B.; Martín-González, M. The Effect of Electrolyte Impurities on the Thermoelectric Properties of Electrodeposited Bi2Te3 Films. J. Electrochem. Soc. 2018, 165, D768–D773. [Google Scholar] [CrossRef]
- Hu, H.; Wang, X.; Xu, X. Generalized theory of the photoacoustic effect in a multilayer material. J. Appl. Phys. 1999, 86, 3953–3958. [Google Scholar] [CrossRef]
- Lenz, A.; Kariis, H.; Pohl, A.; Persson, P.; Ojamäe, L. The electronic structure and reflectivity of PEDOT:PSS from density functional theory. Chem. Phys. 2011, 384, 44–51. [Google Scholar] [CrossRef]
- Wei, Q.; Uehara, C.; Mukaida, M.; Kirihara, K.; Ishida, T. Measurement of in-plane thermal conductivity in polymer films. AIP Adv. 2016, 6, 045315. [Google Scholar] [CrossRef]
- Ocampo, C.; Oliver, R.; Armelin, E.; Alemán, C.; Estrany, F. Electrochemical Synthesis of Poly(3,4-ethylenedioxythiophene) on Steel Electrodes: Properties and Characterization. J. Polym. Res. 2006, 13, 193–200. [Google Scholar] [CrossRef]
- Garreau, S.; Louarn, G.; Buisson, J.P.; Froyer, G.; Lefrant, S. In Situ Spectroelectrochemical Raman Studies of Poly(3,4-ethylenedioxythiophene) (PEDT). Macromolecules 1999, 32, 6807–6812. [Google Scholar] [CrossRef]
- Hsu, S.L. Raman Spectroscopic Studies of Polymer Structure. In Raman Scattering in Materials Science; Weber, W.H., Merlin, R., Eds.; Springer: Berlin/Heidelberg, Germany, 2000; pp. 369–445. [Google Scholar]
- Piro, B.; Mattana, G.; Zrig, S.; Anquetin, G.; Battaglini, N.; Capitao, D.; Maurin, A.; Reisberg, S. Fabrication and Use of Organic Electrochemical Transistors for Sensing of Metabolites in Aqueous Media. Appl. Sci. 2018, 8, 928. [Google Scholar] [CrossRef]
- Smith, P.M.; Su, L.; Gong, W.; Nakamura, N.; Reeja-Jayan, B.; Shen, S. Thermal conductivity of poly(3,4-ethylenedioxythiophene) films engineered by oxidative chemical vapor deposition (oCVD). RSC Adv. 2018, 8, 19348–19352. [Google Scholar] [CrossRef] [PubMed]
- Cappai, A.; Antidormi, A.; Bosin, A.; Narducci, D.; Colombo, L.; Melis, C. Impact of synthetic conditions on the anisotropic thermal conductivity of poly(3,4-ethylenedioxythiophene) (PEDOT): A molecular dynamics investigation. Phys. Rev. Mater. 2020, 4, 035401. [Google Scholar] [CrossRef]
- Martín, J.; Martín-González, M.; Francisco Fernández, J.; Caballero-Calero, O. Ordered three-dimensional interconnected nanoarchitectures in anodic porous alumina. Nat. Commun. 2014, 5, 5130. [Google Scholar] [CrossRef] [PubMed]
- Ruiz-Clavijo, A.; Tsurimaki, Y.; Caballero-Calero, O.; Ni, G.; Chen, G.; Boriskina, S.V.; Martín-González, M. Engineering a Full Gamut of Structural Colors in All-Dielectric Mesoporous Network Metamaterials. ACS Photonics 2018, 5, 2120–2128. [Google Scholar] [CrossRef]
- Ruiz-Clavijo, A.; Ruiz-Gomez, S.; Caballero-Calero, O.; Perez, L.; Martin-Gonzalez, M. Tailoring Magnetic Anisotropy at Will in 3D Interconnected Nanowire Networks. Phys. Status Solidi (RRL)—Rapid Res. Lett. 2019, 13, 1900263. [Google Scholar] [CrossRef]
- Ruiz-Clavijo, A.; Caballero-Calero, O.; Martín-González, M. Three-dimensional Bi2Te3 networks of interconnected nanowires: Synthesis and optimization. Nanomaterials 2018, 8, 345. [Google Scholar] [CrossRef]
- Resende, P.; Sanz, R.; Ruiz-De Clavijo, A.; Caballero-Calero, O.; Martín-González, M. Cylindrical Three-Dimensional Porous Anodic Alumina Networks. Coatings 2016, 6, 59. [Google Scholar] [CrossRef]
- Resende, P.M.; Martín-González, M. Polylactic acid 3D interconnected nanonetworks as high reflectance distributed Bragg reflectors. Mater. Adv. 2022, 3, 3199–3207. [Google Scholar] [CrossRef]
- Manzano, C.V.; Rodríguez-Acevedo, J.; Caballero-Calero, O.; Martín-González, M. Interconnected three-dimensional anodized aluminum oxide (3D-AAO) metamaterials using different waveforms and metal layers for RGB display technology applications. J. Mater. Chem. C 2022, 10, 1787–1797. [Google Scholar] [CrossRef]






| Different Solvents or Treatments | Power Factor (µW/m·K2) | Reference |
|---|---|---|
| Acetone | 50 | [6] |
| Sulfuric acid | 50 | [8] |
| Formic acid | 80 | [5] |
| At 150 °C | 95 | [7] |
| Ethylene glycol | 470 | [4] |
| Films | 1.3 V, 5 min | 1.3 V, 10 min | 1.3 V, 15 min | 1.4 V, 5 min | 1.4 V, 10 min | 1.4 V, 15 min | |
|---|---|---|---|---|---|---|---|
| Thickness (µm) | 4.1 | 6.0 | 7.3 | 4.3 | 10.4 | 23.2 | |
| Oxythel. Ring def | Position (cm−1) | 440.7 | 441.1 | 441.2 | 439.6 | 440.3 | 441.1 |
| Intensity (arb. u.) | 0.23 | 0.21 | 0.16 | 0.20 | 0.24 | 0.22 | |
| FWHM (cm−1) | 16.05 | 16.05 | 15.2 | 16.1 | 18.8 | 21.2 | |
| Oxythel. Ring def | Position (cm−1) | 576.1 | 576.3 | 576.8 | 576.4 | 577.1 | 576.7 |
| Intensity (arb. u.) | 0.18 | 0.15 | 0.13 | 0.13 | 0.24 | 0.18 | |
| FWHM (cm−1) | 12.7 | 12.3 | 12.6 | 12.8 | 11 | 11.5 | |
| Sym C-S-C def | Position (cm−1) | 705 | 705 | 705 | 702 | 706 | 706 |
| Intensity (arb. u.) | 0.064 | 0.052 | 0.047 | 0.038 | 0.053 | 0.057 | |
| FWHM (cm−1) | 45.3 | 35.7 | 28.8 | 27.1 | 27.8 | 30.5 | |
| Oxythel. Ring def | Position (cm−1) | 849.9 | 852 | 851 | 852 | 848.4 | 850.4 |
| Intensity (arb. u.) | 0.071 | 0.069 | 0.065 | 0.053 | 0.095 | 0.079 | |
| FWHM (cm−1) | 33.7 | 33.6 | 37 | 30.2 | 30.6 | 32.8 | |
| Oxythel. Ring def | Position (cm−1) | 989.9 | 990.6 | 991 | 989 | 989.7 | 990.2 |
| Intensity (arb. u.) | 0.15 | 0.14 | 0.14 | 0.17 | 0.19 | 0.17 | |
| FWHM (cm−1) | 17.5 | 17.6 | 17 | 12.6 | 16.1 | 15.7 | |
| C-O-C def | Position (cm−1) | 1128 | 1130.9 | 1135.8 | 1123.7 | 1127.5 | 1129.6 |
| Intensity (arb. u.) | 0.11 | 0.12 | 0.14 | 0.08 | 0.14 | 0.13 | |
| FWHM (cm−1) | 72.1 | 80 | 100 | 128 | 72.5 | 78.9 | |
| Cα-Cα | Position (cm−1) | 1260.6 | 1261 | 1262.8 | 1257.5 | 1260.5 | 1261.2 |
| Intensity (arb. u.) | 0.20 | 0.20 | 0.23 | 0.20 | 0.25 | 0.22 | |
| FWHM (cm−1) | 29 | 31 | 16.17 | 12.6 | 21.8 | 33.6 | |
| Cβ-Cβ | Position (cm−1) | 1368.3 | 1369.3 | 1370.8 | 1367.6 | 1367.7 | 1369.1 |
| Intensity (arb. u.) | 0.37 | 0.37 | 0.43 | 0.39 | 0.43 | 0.41 | |
| FWHM (cm−1) | 48.7 | 43.5 | 53 | 34.9 | 35.7 | 41.8 | |
| Sym. Cα = Cβ (-O) | Position (cm−1) | 1444.7 | 1444.7 | 1446.8 | 1432.9 | 1442.7 | 1444.2 |
| Intensity (arb. u.) | 1 | 1 | 1 | 1 | 1 | 1 | |
| FWHM (cm−1) | 65.8 | 64.8 | 68.3 | 50.9 | 78.4 | 68.4 | |
| Asym. C = Cstr | Position (cm−1) | 1496.1 | 1498.3 | 1494 | 1498.2 | 1486.7 | 1496.4 |
| Intensity (arb. u.) | 0.6 | 0.6 | 0.65 | 0.44 | 0.55 | 0.6 | |
| FWHM (cm−1) | 152.5 | 181.1 | 103.7 | 77.9 | 72.7 | 52 | |
| Asym. C = Cstr | Position (cm−1) | 1565.1 | 1566.2 | 1565.7 | 1559.6 | 1551.4 | 1566.3 |
| Intensity (arb. u.) | 0.44 | 0.44 | 0.5 | 0.28 | 0.41 | 0.47 | |
| FWHM (cm−1) | 52 | 190 | 149.4 | 130.4 | 38.3 | 221.8 | |
Publisher’s Note: MDPI stays neutral with regard to jurisdictional claims in published maps and institutional affiliations. |
© 2022 by the authors. Licensee MDPI, Basel, Switzerland. This article is an open access article distributed under the terms and conditions of the Creative Commons Attribution (CC BY) license (https://creativecommons.org/licenses/by/4.0/).
Share and Cite
Manzano, C.V.; Caballero-Calero, O.; Serrano, A.; Resende, P.M.; Martín-González, M. The Thermoelectric Properties of Spongy PEDOT Films and 3D-Nanonetworks by Electropolymerization. Nanomaterials 2022, 12, 4430. https://doi.org/10.3390/nano12244430
Manzano CV, Caballero-Calero O, Serrano A, Resende PM, Martín-González M. The Thermoelectric Properties of Spongy PEDOT Films and 3D-Nanonetworks by Electropolymerization. Nanomaterials. 2022; 12(24):4430. https://doi.org/10.3390/nano12244430
Chicago/Turabian StyleManzano, Cristina V., Olga Caballero-Calero, Aída Serrano, Pedro M. Resende, and Marisol Martín-González. 2022. "The Thermoelectric Properties of Spongy PEDOT Films and 3D-Nanonetworks by Electropolymerization" Nanomaterials 12, no. 24: 4430. https://doi.org/10.3390/nano12244430
APA StyleManzano, C. V., Caballero-Calero, O., Serrano, A., Resende, P. M., & Martín-González, M. (2022). The Thermoelectric Properties of Spongy PEDOT Films and 3D-Nanonetworks by Electropolymerization. Nanomaterials, 12(24), 4430. https://doi.org/10.3390/nano12244430

