Theoretical and Computational Analysis of a Wurtzite-AlGaN DUV-LED to Mitigate Quantum-Confined Stark Effect with a Zincblende Comparison Considering Mg- and Be-Doping
Abstract
1. Introduction
2. Theory and Calculations
2.1. DFT Calculations
2.2. LED Structure
Binary Compounds Parameters
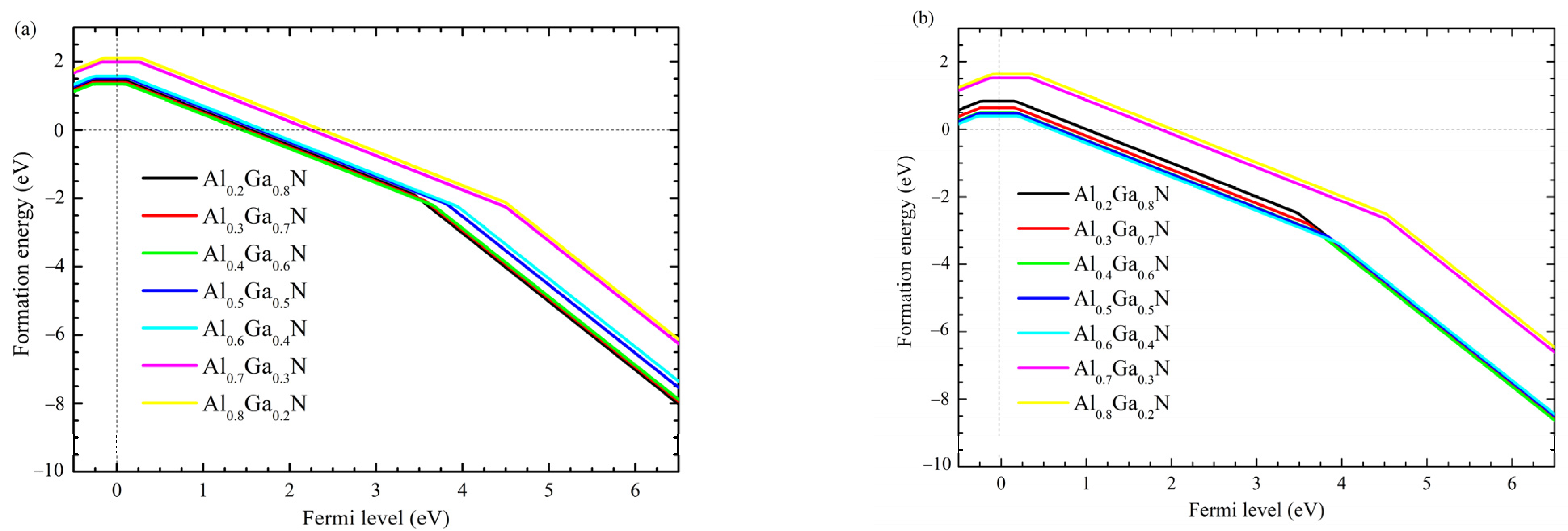
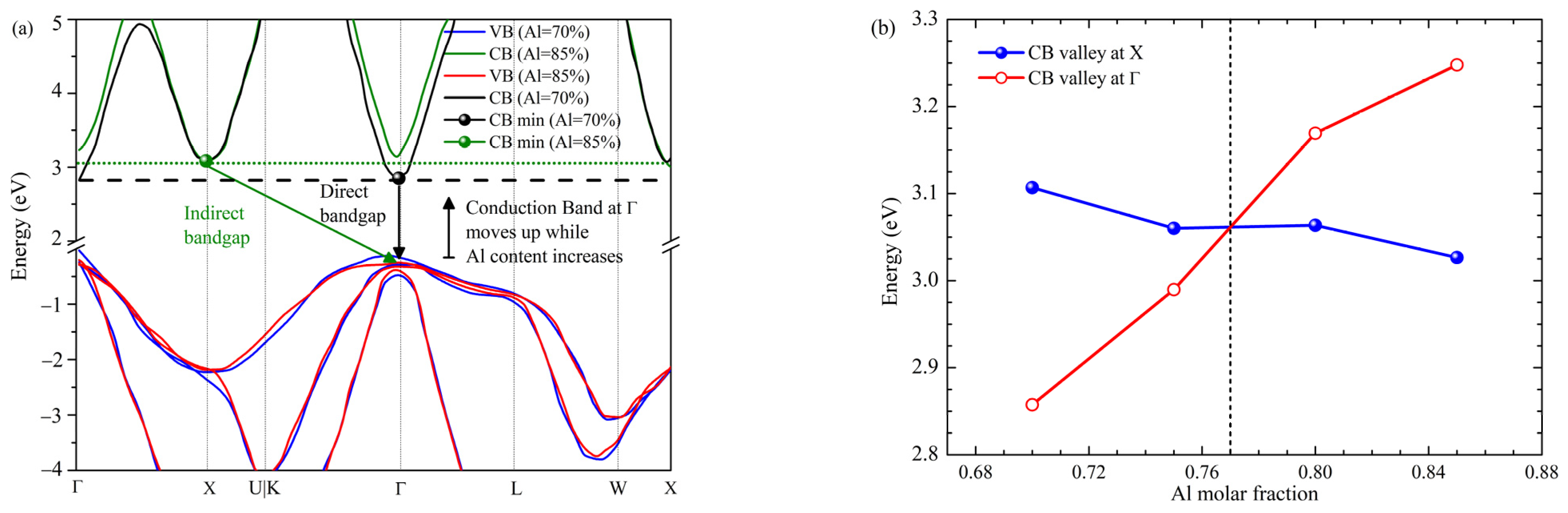
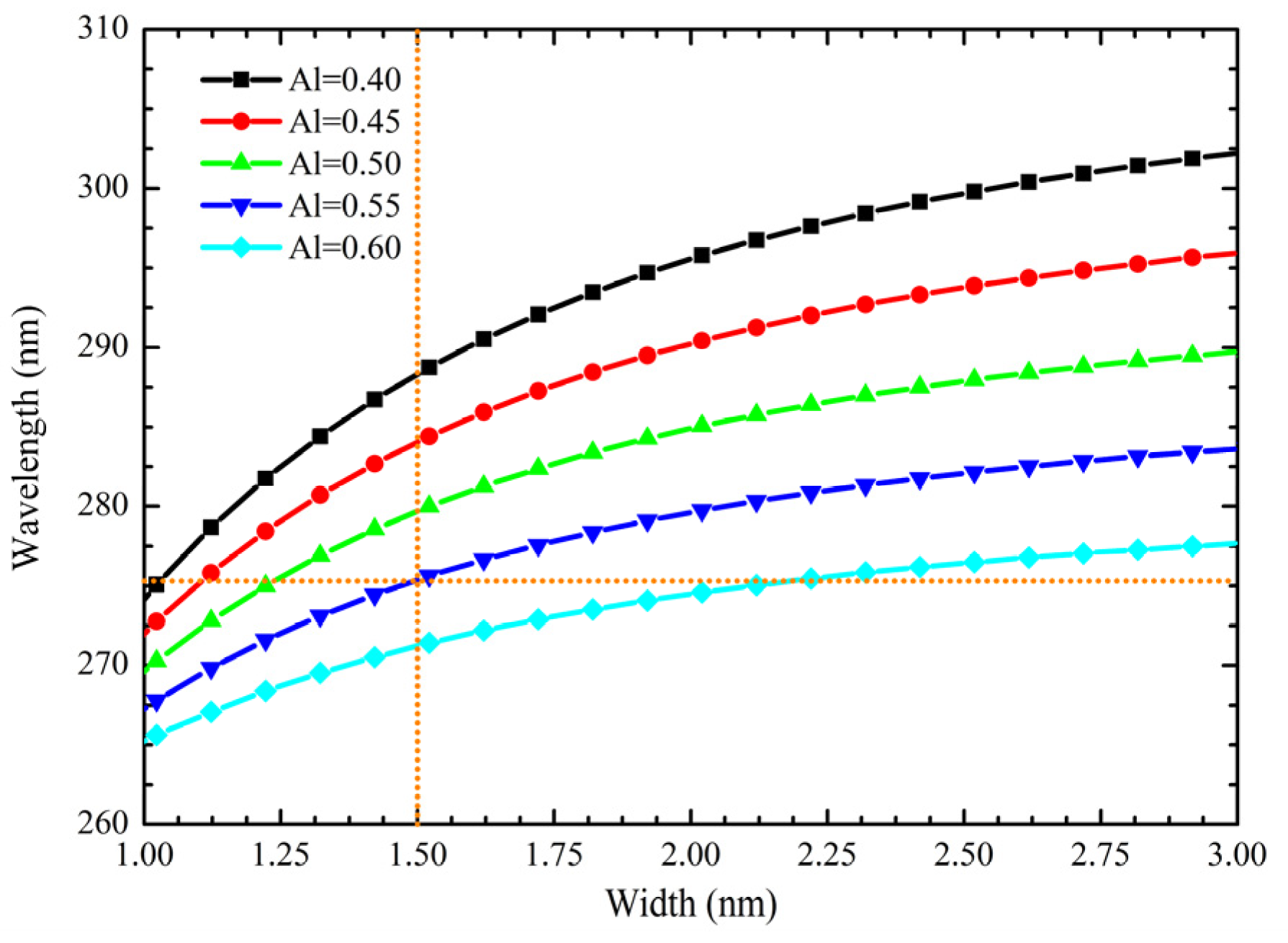
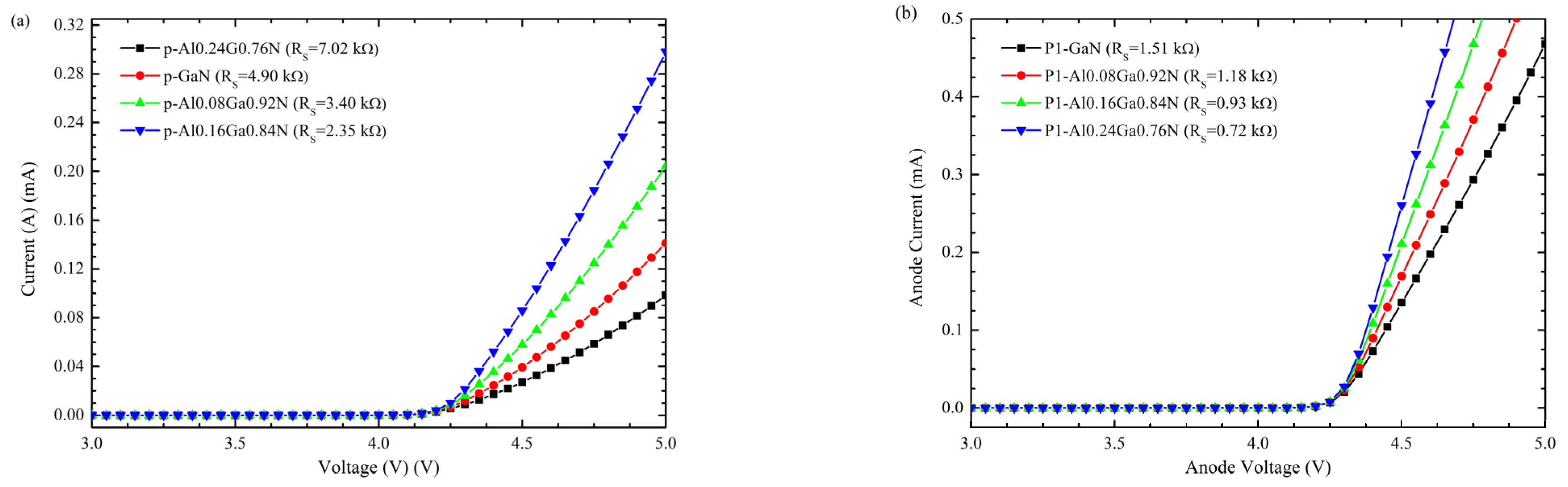
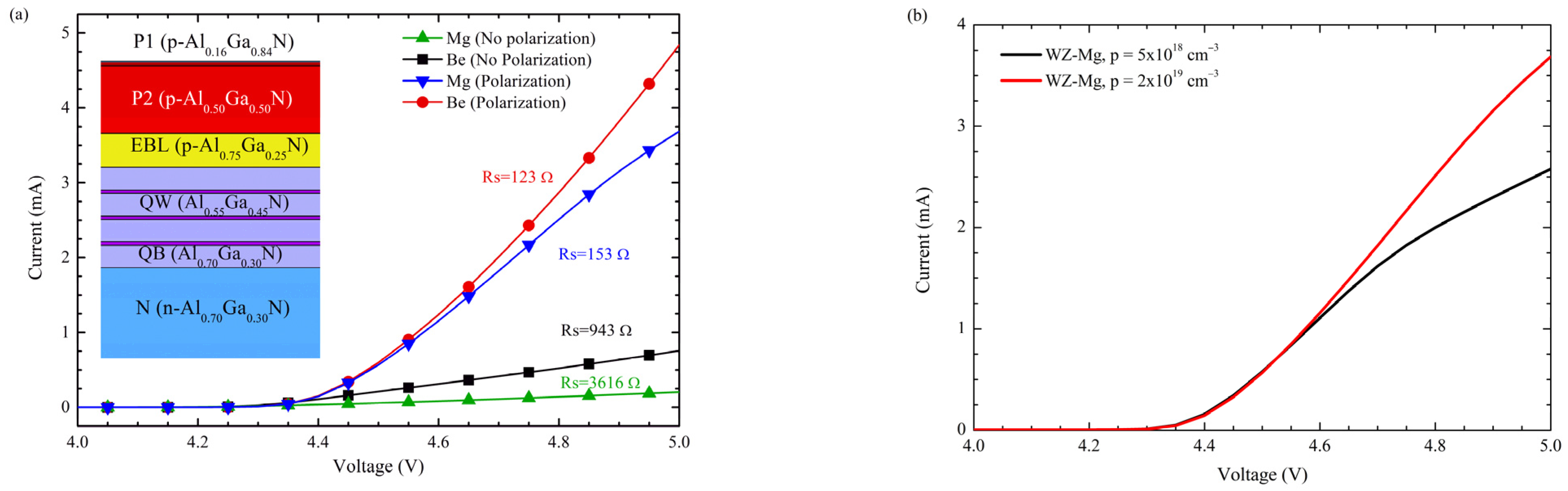
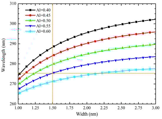
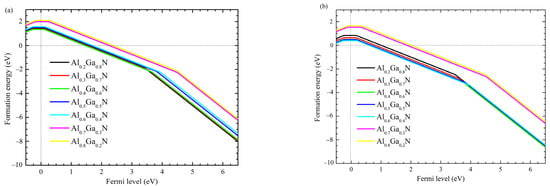
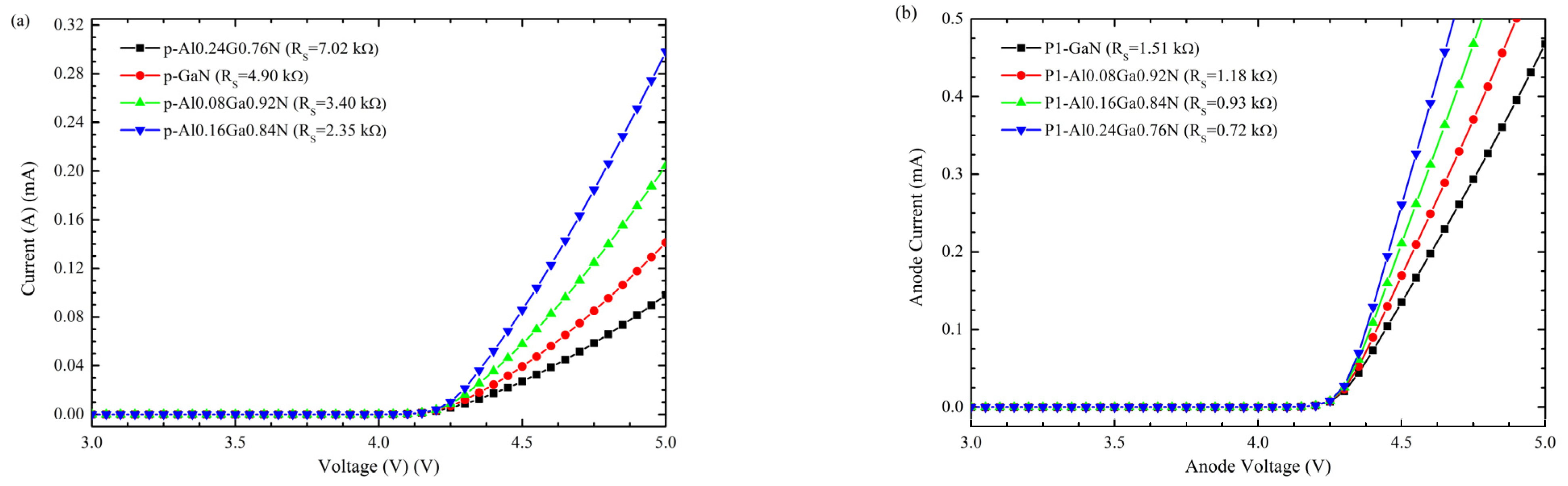
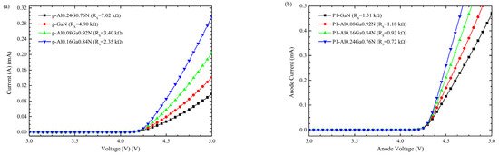
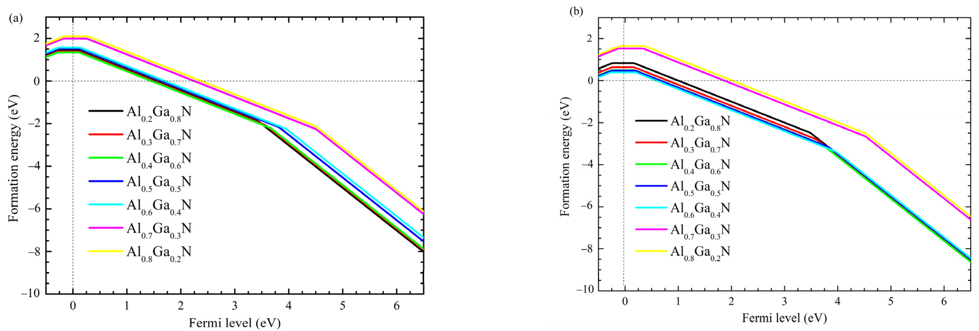
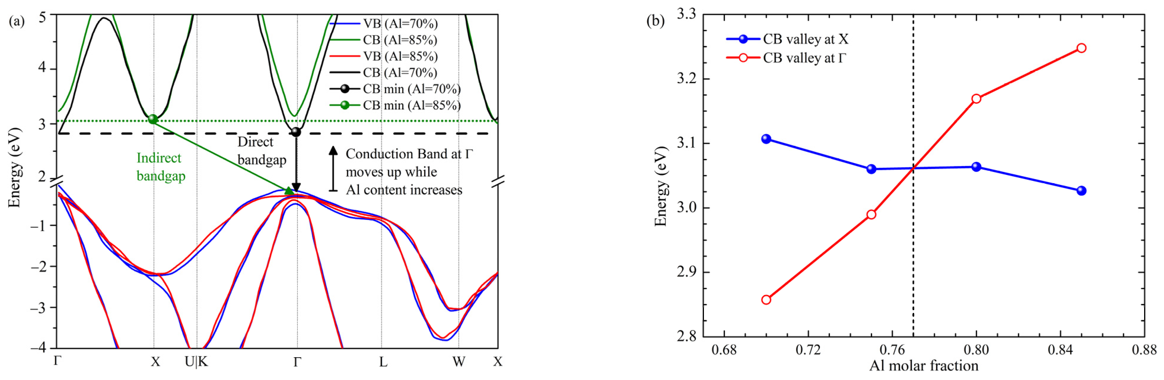
3. Results and Discussion
4. Conclusions
Author Contributions
Funding
Data Availability Statement
Acknowledgments
Conflicts of Interest
References
- Chen, F.; Ji, X.; Lau, S.P. Recent progress in group III-nitride nanostructures: From materials to applications. Mater. Sci. Eng. R Rep. 2020, 142, 100578. [Google Scholar] [CrossRef]
- Green, A.; Popović, V.; Warriner, K.; Koutchma, T. The efficacy of UVC LEDs and low pressure mercury lamps for the reduction of Escherichia coli O157:H7 and Listeria monocytogenes on produce. Innov. Food Sci. Emerg. Technol. 2020, 64, 102410. [Google Scholar] [CrossRef]
- Eickmann, M.; Gravemann, U.; Handke, W.; Tolksdorf, F.; Reichenberg, S.; Müller, T.H.; Seltsam, A. Inactivation of Ebola virus and Middle East respiratory syndrome coronavirus in platelet concentrates and plasma by ultraviolet C light and methylene blue plus visible light, respectively. Transfusion 2018, 58, 2202–2207. [Google Scholar] [CrossRef] [PubMed]
- Heilingloh, C.S.; Aufderhorst, U.W.; Schipper, L.; Dittmer, U.; Witzke, O.; Yang, D.; Zheng, X.; Sutter, K.; Trilling, M.; Alt, M.; et al. Susceptibility of SARS-CoV-2 to UV irradiation. Am. J. Infect. Control 2020, 48, 1273–1275. [Google Scholar] [CrossRef]
- Heßling, M.; Hönes, K.; Vatter, P.; Lingenfelder, C. Ultraviolet irradiation doses for coronavirus inactivation—Review and analysis of coronavirus photoinactivation studies. GMS Hyg. Infect. Control 2020, 15, Doc8. [Google Scholar] [CrossRef]
- Liu, S.; Luo, W.; Li, D.; Yuan, Y.; Tong, W.; Kang, J.; Wang, Y.; Li, D.; Rong, X.; Wang, T.; et al. Sec-Eliminating the SARS-CoV-2 by AlGaN Based High Power Deep Ultraviolet Light Source. Adv. Funct. Mater. 2021, 31, 2008452. [Google Scholar] [CrossRef]
- Tsai, Y.C.; Bayram, C. Structural and Electronic Properties of Hexagonal and Cubic Phase AlGaInN Alloys Investigated Using First Principles Calculations. Sci. Rep. 2019, 9, 6583. [Google Scholar] [CrossRef]
- Zollner, C.J.; DenBaars, S.P.; Speck, J.S.; Nakamura, S. Germicidal ultraviolet LEDs: A review of applications and semiconductor technologies. Semicond. Sci. Technol. 2021, 36, 123001. [Google Scholar] [CrossRef]
- Amano, H.; Collazo, R.; De Santi, C.; Einfeldt, S.; Funato, M.; Glaab, J.; Hagedorn, S.; Hirano, A.; Hirayama, H.; Ishii, R.; et al. The 2020 UV emitter roadmap. J. Phys. D Appl. Phys. 2020, 53, 503001. [Google Scholar] [CrossRef]
- Yu, H.; Ren, Z.; Zhang, H.; Dai, J.; Chen, C.; Long, S.; Sun, H. Advantages of AlGaN-based deep-ultraviolet light-emitting diodes with an Al-composition graded quantum barrier. Opt. Express 2019, 27, A1544–A1553. [Google Scholar] [CrossRef]
- Du, P.; Shi, L.; Liu, S.; Zhou, S. Polarization-doped quantum wells with graded Al-composition for highly efficient deep ultraviolet light-emitting diodes. Micro Nanostruct. 2022, 163, 107150. [Google Scholar] [CrossRef]
- Yu, H.; Memon, M.H.; Wang, D.; Ren, Z.; Zhang, H.; Huang, C.; Tian, M.; Sun, H.; Long, S. AlGaN-based deep ultraviolet micro-LED emitting at 275 nm. Opt. Lett. 2021, 46, 3271–3274. [Google Scholar] [CrossRef]
- Wong, M.S.; Lee, C.; Myers, D.J.; Hwang, D.; Kearns, J.A.; Li, T.; Speck, J.S.; Nakamura, S.; DenBaars, S.P. Size-independent peak efficiency of III-nitride micro-light-emitting-diodes using chemical treatment and sidewall passivation. Appl. Phys. Express 2019, 12, 97004. [Google Scholar] [CrossRef]
- Tian, M.; Yu, H.; Memon, M.H.; Xing, Z.; Huang, C.; Jia, H.; Zhang, H.; Wang, D.; Fang, S.; Sun, H. Enhanced light extraction of the deep-ultraviolet micro-LED via rational design of chip sidewall. Opt. Lett. 2021, 46, 4809–4812. [Google Scholar] [CrossRef] [PubMed]
- Saifaddin, B.K.; Almogbel, A.S.; Zollner, C.J.; Wu, F.; Bonef, B.; Iza, M.; Nakamura, S.; Denbaars, S.P.; Speck, J.S. AlGaN Deep-Ultraviolet Light-Emitting Diodes Grown on SiC Substrates. ACS Photonics 2020, 7, 554–561. [Google Scholar] [CrossRef]
- Wang, Y.; Rong, X.; Ivanov, S.; Jmerik, V.; Chen, Z.; Wang, H.; Wang, T.; Wang, P.; Jin, P.; Chen, Y.; et al. Deep Ultraviolet Light Source from Ultrathin GaN/AlN MQW Structures with Output Power Over 2 Watt. Adv. Opt. Mater. 2019, 7, 1801763. [Google Scholar] [CrossRef]
- Lee, T.H.; Lee, B.R.; Son, K.R.; Shin, H.W.; Kim, T.G. Highly Efficient Deep-UV Light-Emitting Diodes Using AlN-Based Deep-UV-Transparent Glass Electrodes. ACS Appl. Mater. Interfaces 2017, 9, 43774–43781. [Google Scholar] [CrossRef]
- Takano, T.; Mino, T.; Sakai, J.; Noguchi, N.; Tsubaki, K.; Hirayama, H. Deep-ultraviolet light-emitting diodes with external quantum efficiency higher than 20% at 275 nm achieved by improving light-extraction efficiency. Appl. Phys. Express 2017, 10, 031002. [Google Scholar] [CrossRef]
- Kashima, Y.; Maeda, N.; Matsuura, E.; Jo, M.; Iwai, T.; Morita, T.; Kokubo, M.; Tashiro, T.; Kamimura, R.; Osada, Y.; et al. High external quantum efficiency (10%) AlGaN-based deep-ultraviolet light-emitting diodes achieved by using highly reflective photonic crystal on p-AlGaN contact layer. Appl. Phys. Express 2018, 11, 012101. [Google Scholar] [CrossRef]
- Solís-Cisneros, H.; Hernández-Gutiérrez, C.A.; Anwar, A.-R.; Sevilla-Camacho, P.Y.; Camas-Anzueto, J.L.; Grajales-Coutiño, R.; Trejo-Hernández, R.; Casallas-Moreno, Y.L.; L’ópez-López, M. Physical and technological analysis of the AlGaN-based UVC-LED: An extended discussion focused on cubic phase as an alternative for surface disinfection. Rev. Mex. Fís. 2022, 68, 020301. [Google Scholar] [CrossRef]
- Landmann, M.; Rauls, E.; Schmidt, W.G.; Röppischer, M.; Cobet, C.; Esser, N.; Schupp, T.; As, D.J.; Feneberg, M.; Goldhahn, R. Transition energies and direct-indirect band gap crossing in zinc-blende AlxGa1-xN. Phys. Rev. B 2013, 87, 195210. [Google Scholar] [CrossRef]
- Chen, Z.; Hoo, J.; Chen, Y.; Wang, V.; Guo, S. Study of AlN based materials grown on nano-patterned sapphire substrates for deep ultraviolet led applications. Jpn. J. Appl. Phys. 2019, 58, SC1007. [Google Scholar] [CrossRef]
- Zhao, J.; Hu, H.; Lei, Y.; Wan, H.; Gong, L.; Zhou, S. Heteroepitaxial growth of high-quality and crack-free AlN film on sapphire substrate with nanometer-scale-thick AlN nucleation layer for AlGaN-based deep ultraviolet light-emitting diodes. Nanomaterials 2019, 9, 1634. [Google Scholar] [CrossRef] [PubMed]
- Dakhlaoui, H.; Almansour, S. Piezoelectric polarization and quantum size effects on the vertical transport in AlGaN/GaN resonant tunneling diodes. Chin. Phys. B 2016, 25, 67304. [Google Scholar] [CrossRef]
- Li, X.; Sundaram, S.; Disseix, P.; Gac, G.; Le Bouchoule, S.; Patriarche, G.; Réveret, F.; Leymarie, J.; El Gmili, Y.; Moudakir, T.; et al. AlGaN-based MQWs grown on a thick relaxed AlGaN buffer on AlN templates emitting at 285 nm. Opt. Mater. Express 2015, 5, 380–392. [Google Scholar] [CrossRef]
- Hernández-Gutiérrez, C.A.; Casallas-Moreno, Y.L.; Rangel-Kuoppa, V.-T.; Cardona, D.; Hu, Y.; Kudriatsev, Y.; Zambrano-Serrano, M.A.; Gallardo-Hernandez, S.; Lopez-Lopez, M. Study of the heavily p-type doping of cubic GaN with Mg. Sci. Rep. 2020, 10, 16858. [Google Scholar] [CrossRef] [PubMed]
- Hou, Y.; Guo, Z. Improve the electrical and optical performance of deep ultraviolet light-emitting diodes with a w-shaped p-AlGaN layer. J. Mater. Sci. Mater. Electron. 2019, 30, 7393–7399. [Google Scholar] [CrossRef]
- Zhao, C.-Z.; Wei, T.; Chen, L.-Y.; Wang, S.-S.; Wang, J. The activation energy for Mg acceptor in AlxGa1-xN alloys in the whole composition range. Superlattices Microstruct. 2017, 109, 758–762. [Google Scholar] [CrossRef]
- Tsai, Y.C.; Bayram, C. Mitigate self-compensation with high crystal symmetry: A first-principles study of formation and activation of impurities in GaN. Comput. Mater. Sci. 2021, 190, 110283. [Google Scholar] [CrossRef]
- Miller, D.A.B. Quantum Mechanics for Scientists and Engineers; Cambridge University Press: Cambridge, UK, 2008; ISBN 9780521897839. [Google Scholar]
- Tsai, Y.-C.; Bayram, C. Band Alignments of Ternary Wurtzite and Zincblende III-Nitrides Investigated by Hybrid Density Functional Theory. ACS Omega 2020, 5, 3917–3923. [Google Scholar] [CrossRef]
- The Materials Project Materials Data on GaN by Materials Project. 2020. Available online: https://materialsproject.org/materials/mp-830 (accessed on 12 July 2022).
- Jain, A.; Ong, S.P.; Hautier, G.; Chen, W.; Richards, W.D.; Dacek, S.; Cholia, S.; Gunter, D.; Skinner, D.; Ceder, G.; et al. Commentary: The Materials Project: A materials genome approach to accelerating materials innovation. APL Mater. 2013, 1, 11002. [Google Scholar] [CrossRef]
- The Materials Project Materials Data on AlN by Materials Project. 2020. Available online: https://materialsproject.org/materials/mp-1700 (accessed on 12 July 2022).
- Hernández-Gutiérrez, C.A.; Casallas-Moreno, Y.L.; Cardona, D.; Kudriavtsev, Y.; Morales-Acevedo, A.; Santana-Rodríguez, G.; López-López, M. Cubic phase InxGa1-xN/GaN quantum wells for their application to tandem Solar Cells. In Proceedings of the 2017 IEEE 44th Photovoltaic Specialist Conference (PVSC), Washington, DC, USA, 25–30 June 2017; pp. 670–672. [Google Scholar]
- Wang, W.; Chu, C.; Che, J.; Hang, S.; Shao, H.; Tian, K.; Zhang, Y.; Zhang, Z.-H. Is a thin p-GaN layer possible for making high-efficiency AlGaN-based deep-ultraviolet light-emitting diodes? Opt. Express 2021, 29, 29651–29660. [Google Scholar] [CrossRef]
- Yu, H.; Chen, Q.; Ren, Z.; Tian, M.; Long, S.; Dai, J.; Chen, C.; Sun, H. Enhanced Performance of an AlGaN-Based Deep-Ultraviolet LED Having Graded Quantum Well Structure. IEEE Photonics J. 2019, 11, 8201006. [Google Scholar] [CrossRef]
- Hu, Y.; Hernández-Gutiérrez, C.A.; Solís-Cisneros, H.I.; Santana, G.; Kudriatsev, Y.; Camas-Anzueto, J.L.; López-López, M. Blue luminescence origin and Mg acceptor saturation in highly doped zinc-blende GaN with Mg. J. Alloys Compd. 2022, 897, 163133. [Google Scholar] [CrossRef]
- Sarkar, B.; Washiyama, S.; Breckenridge, M.H.; Klump, A.; Baker, J.N.; Reddy, P.; Tweedie, J.; Mita, S.; Kirste, R.; Irving, D.L.; et al. N- and P-type Doping in Al-rich AlGaN and AlN. ECS Trans. 2018, 86, 25–30. [Google Scholar] [CrossRef]
- Yuan, L.-D.; Deng, H.-X.; Li, S.-S.; Wei, S.-H.; Luo, J.-W. Unified theory of direct or indirect band-gap nature of conventional semiconductors. Phys. Rev. B 2018, 98, 245203. [Google Scholar] [CrossRef]
- Hu, Y.; Hwang, J.; Lee, Y.; Conlin, P.; Schlom, D.G.; Datta, S.; Cho, K. First principles calculations of intrinsic mobilities in tin-based oxide semiconductors SnO, SnO2, and Ta2SnO6. J. Appl. Phys. 2019, 126, 185701. [Google Scholar] [CrossRef]













| Parameter | GaN | AlN |
|---|---|---|
| Bandgap | 3.20–3.30 eV [31] | 5.3–6.0 eV [31] |
| Electron affinity | 3.92 eV [31] | 2.00 eV [31] |
| Electron mobility | <1000 cm2/(Vs) [This work] | <300 cm2/Vs [This work] |
| Hole mobility | <28 cm2/(Vs) [This work] | <12 cm2/Vs [This work] |
| Dielectric constant (Static) | 10.97 [32,33] | 8.90 [33,34] |
| Effective mass in CB | 0.13 [29] | 0.84 [This work] |
| Effective mass in VB | 1.40 [29] | 2.46 [This work] |
Publisher’s Note: MDPI stays neutral with regard to jurisdictional claims in published maps and institutional affiliations. |
© 2022 by the authors. Licensee MDPI, Basel, Switzerland. This article is an open access article distributed under the terms and conditions of the Creative Commons Attribution (CC BY) license (https://creativecommons.org/licenses/by/4.0/).
Share and Cite
Solís-Cisneros, H.I.; Hu, Y.; Camas-Anzueto, J.L.; Grajales-Coutiño, R.; Anwar, A.-R.; Martínez-Revuelta, R.; Hernández-de-León, H.R.; Hernández-Gutiérrez, C.A. Theoretical and Computational Analysis of a Wurtzite-AlGaN DUV-LED to Mitigate Quantum-Confined Stark Effect with a Zincblende Comparison Considering Mg- and Be-Doping. Nanomaterials 2022, 12, 4347. https://doi.org/10.3390/nano12234347
Solís-Cisneros HI, Hu Y, Camas-Anzueto JL, Grajales-Coutiño R, Anwar A-R, Martínez-Revuelta R, Hernández-de-León HR, Hernández-Gutiérrez CA. Theoretical and Computational Analysis of a Wurtzite-AlGaN DUV-LED to Mitigate Quantum-Confined Stark Effect with a Zincblende Comparison Considering Mg- and Be-Doping. Nanomaterials. 2022; 12(23):4347. https://doi.org/10.3390/nano12234347
Chicago/Turabian StyleSolís-Cisneros, Horacio I., Yaoqiao Hu, Jorge L. Camas-Anzueto, Rubén Grajales-Coutiño, Abdur-Rehman Anwar, Rubén Martínez-Revuelta, Héctor R. Hernández-de-León, and Carlos A. Hernández-Gutiérrez. 2022. "Theoretical and Computational Analysis of a Wurtzite-AlGaN DUV-LED to Mitigate Quantum-Confined Stark Effect with a Zincblende Comparison Considering Mg- and Be-Doping" Nanomaterials 12, no. 23: 4347. https://doi.org/10.3390/nano12234347
APA StyleSolís-Cisneros, H. I., Hu, Y., Camas-Anzueto, J. L., Grajales-Coutiño, R., Anwar, A.-R., Martínez-Revuelta, R., Hernández-de-León, H. R., & Hernández-Gutiérrez, C. A. (2022). Theoretical and Computational Analysis of a Wurtzite-AlGaN DUV-LED to Mitigate Quantum-Confined Stark Effect with a Zincblende Comparison Considering Mg- and Be-Doping. Nanomaterials, 12(23), 4347. https://doi.org/10.3390/nano12234347

