The Use of Pyrolytic Char Derived from Waste Tires in the Removal of Malachite Green from Dyeing Wastewater
Abstract
1. Introduction
2. Materials and Methods
2.1. Materials
2.2. Preparation of Pyrolytic Char
2.3. Adsorbent Characterization
2.4. Adsorption Procedure
3. Results and Discussions
3.1. Physicochemical Characteristics
3.1.1. Functional Groups Analysis
3.1.2. N2 Adsorption-Desorption Test
3.2. Effect of Parameters on Adsorption Performance
3.2.1. Effect of Contact Time
3.2.2. Effect of Initial MG Concentration
3.2.3. Effect of pH
3.3. Adsorption Kinetics
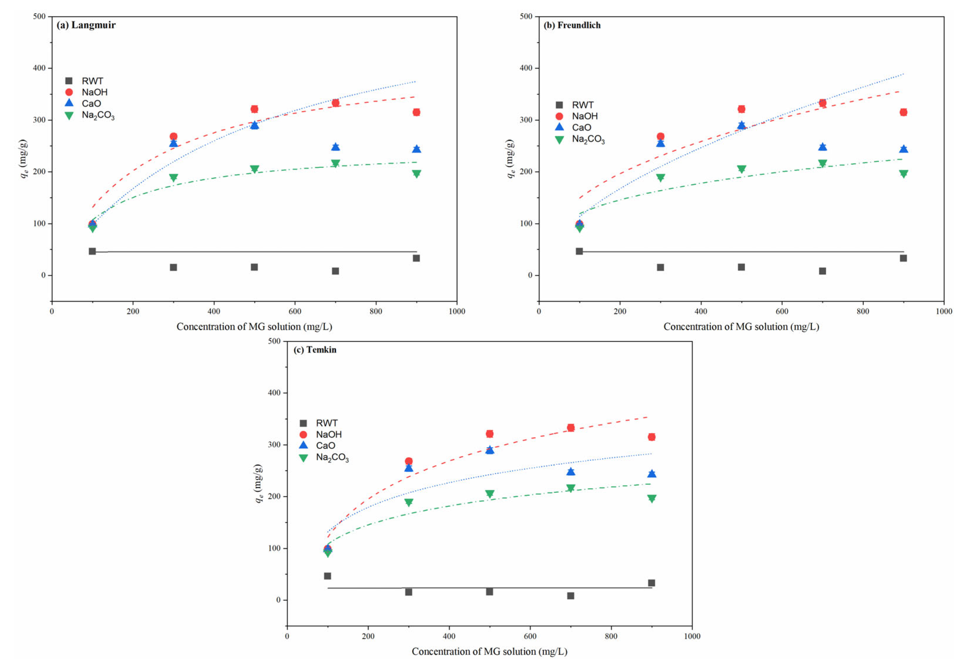
3.4. Adsorption Isotherms
3.5. Comparison with Other Adsorbents
4. Conclusions
Author Contributions
Funding
Data Availability Statement
Conflicts of Interest
References
- Gupta, K.; Gupta, D.; Khatri, O.P. Graphene-like porous carbon nanostructure from Bengal gram bean husk and its application for fast and efficient adsorption of organic dyes. Appl. Surf. Sci. 2019, 476, 647–657. [Google Scholar] [CrossRef]
- Liu, S.; Kang, L.; Jun, S.C. Challenges and Strategies toward Cathode Materials for Rechargeable Potassium-Ion Batteries. Adv. Mater. 2021, 33, 2004689. [Google Scholar] [CrossRef] [PubMed]
- Gerçel, Ö.; Özcan, A.; Özcan, A.S.; Gerçel, H.F. Preparation of activated carbon from a renewable bio-plant of Euphorbia rigida by H2SO4 activation and its adsorption behavior in aqueous solutions. Appl. Surf. Sci. 2007, 253, 4843–4852. [Google Scholar] [CrossRef]
- Lin, K.; Pan, J.; Chen, Y.; Cheng, R.; Xu, X. Study the adsorption of phenol from aqueous solution on hydroxyapatite nanopowders. J. Hazard. Mater. 2009, 161, 231–240. [Google Scholar] [CrossRef] [PubMed]
- Baek, M.H.; Ijagbemi, C.O.; Se-Jin, O.; Kim, D.S. Removal of Malachite Green from aqueous solution using degreased coffee bean. J. Hazard. Mater. 2010, 176, 820–828. [Google Scholar] [CrossRef]
- Mittal, A. Adsorption kinetics of removal of a toxic dye, Malachite Green, from wastewater by using hen feathers. J. Hazard. Mater. 2006, 133, 196–202. [Google Scholar] [CrossRef]
- Tewari, K.; Singhal, G.; Arya, R.K. Adsorption removal of malachite green dye from aqueous solution. Rev. Chem. Eng. 2018, 34, 427–453. [Google Scholar] [CrossRef]
- Eltaweil, A.S.; Ali Mohamed, H.; Abd El-Monaem, E.M.; El-Subruiti, G.M. Mesoporous magnetic biochar composite for enhanced adsorption of malachite green dye: Characterization, adsorption kinetics, thermodynamics and isotherms. Adv. Powder Technol. 2020, 31, 1253–1263. [Google Scholar] [CrossRef]
- Cui, X.; Gai, D.D.; Zhu, B.A.; Wu, T.; Zhang, J.; Zhao, P.T. Study on the formation mechanism of hydrothermal prefabricated activated carbon and its adsorption capacity for malachite green. Colloid. Polym. Sci. 2022, 300, 973–988. [Google Scholar] [CrossRef]
- Pan, X.; Zuo, G.; Su, T.; Cheng, S.; Gu, Y.; Qi, X.; Dong, W. Polycarboxylic magnetic polydopamine sub-microspheres for effective adsorption of malachite green. Colloids Surf. A 2019, 560, 106–113. [Google Scholar] [CrossRef]
- Gupta, V.K.; Gupta, B.; Rastogi, A.; Agarwal, S.; Nayak, A. Pesticides removal from waste water by activated carbon prepared from waste rubber tire. Water Res. 2011, 45, 4047–4055. [Google Scholar] [CrossRef]
- Djilani, C.; Zaghdoudi, R.; Djazi, F.; Bouchekima, B.; Lallam, A.; Modarressi, A.; Rogalski, M. Adsorption of dyes on activated carbon prepared from apricot stones and commercial activated carbon. J. Taiwan Inst. Chem. Eng. 2015, 53, 112–121. [Google Scholar] [CrossRef]
- Chen, G.; Farooq, M.Z.; Sun, B.; Lin, F.; Yan, B.; Rajput, G.; Chawla, M. Pollutants formation, distribution, and reaction mechanism during WT pyrolysis: A review. J. Anal. Appl. Pyrolysis 2021, 157, 105218. [Google Scholar] [CrossRef]
- Grzywacz, P.; Czerski, G.; Gańczarczyk, W. Effect of Pyrolysis Atmosphere on the Gasification of Waste Tire Char. Energies 2022, 15, 34. [Google Scholar] [CrossRef]
- Bi, R.; Zhang, Y.; Jiang, X.; Yang, H.; Yan, K.; Han, M.; Li, W.; Zhong, H.; Tan, X.; Xia, L.; et al. Simulation and techno-economical analysis on the pyrolysis process of waste tire. Energy 2022, 260, 125039. [Google Scholar] [CrossRef]
- Thomas, B.S.; Gupta, R.C.; Panicker, V.J. Recycling of waste tire rubber as aggregate in concrete: Durability-related performance. J. Clean. Prod. 2016, 112, 504–513. [Google Scholar] [CrossRef]
- Farooq, M.Z.; Zeeshan, M.; Iqbal, S.; Ahmed, N.; Shah, S.A.Y. Influence of waste tire addition on wheat straw pyrolysis yield and oil quality. Energy 2018, 144, 200–206. [Google Scholar] [CrossRef]
- Ariyadejwanich, P.; Tanthapanichakoon, W.; Nakagawa, K.; Mukai, S.R.; Tamon, H. Preparation and characterization of mesoporous activated carbon from waste tires. Carbon 2003, 41, 157–164. [Google Scholar] [CrossRef]
- Saputra, R.; Walvekar, R.; Khalid, M.; Mubarak, N.M.; Sillanpää, M. Current progress in waste tire rubber devulcanization. Chemosphere 2021, 265, 129033. [Google Scholar] [CrossRef]
- Nieto-Márquez, A.; Atanes, E.; Morena, J.; Fernández-Martínez, F.; Valverde, J.L. Upgrading waste tires by chemical activation for the capture of SO2. Fuel Process. Technol. 2016, 144, 274–281. [Google Scholar] [CrossRef]
- Tanthapanichakoon, W.; Ariyadejwanich, P.; Japthong, P.; Nakagawa, K.; Mukai, S.R.; Tamon, H. Adsorption–desorption characteristics of phenol and reactive dyes from aqueous solution on mesoporous activated carbon prepared from waste tires. Water Res. 2005, 39, 1347–1353. [Google Scholar] [CrossRef] [PubMed]
- Skodras, G.; Diamantopoulou, I.; Zabaniotou, A.; Stavropoulos, G.; Sakellaropoulos, G.P. Enhanced mercury adsorption in activated carbons from biomass materials and waste tires. Fuel Process. Technol. 2007, 88, 749–758. [Google Scholar] [CrossRef]
- Li, L.; Liu, Y.; Wang, J.; Liu, S.; Zhu, T. Adsorption characteristics of activated carbon derived from scrap tires for malachite green: Influence of small organics. Trans. Tianjin Univ. 2013, 19, 425–429. [Google Scholar] [CrossRef]
- Bhatti, I.A.; Ahmad, N.; Iqbal, N.; Zahid, M.; Iqbal, M. Chromium adsorption using waste tire and conditions optimization by response surface methodology. J. Environ. Chem. Eng. 2017, 5, 2740–2751. [Google Scholar] [CrossRef]
- Zhang, Y.Z.; Cheng, Q.; Wang, D.D.; Xia, D.; Zheng, X.D.; Li, Z.Y.; Hwang, J.Y. Preparation of Pyrolytic Carbon from Waste Tires for Methylene Blue Adsorption. JOM 2019, 71, 3658–3666. [Google Scholar] [CrossRef]
- Kassahun, E.; Mekuria, S.; Beyan, S.M. Specific Surface Area Enhancement of Waste Tire-Based Activated Carbon by Demineralization Technique and Adsorption of Methylene Blue. Int. J. Chem. Eng. 2022, 2022, 8198551. [Google Scholar] [CrossRef]
- Duduku, K.; Anisuzzaman, S.M.; Bono; Teo, B.K.; Rao, V.V.B. Carbon dioxide capture using waste tire based adsorbent. IOP Conf. Ser. Mater. Sci. Eng. 2019, 606, 012006. [Google Scholar] [CrossRef]
- Murillo, R.; Navarro, M.V.; García, T.; López, J.M.; Callén, M.S.; Aylón, E.; Mastral, A.M. Production and Application of Activated Carbons Made from Waste Tire. Ind. Eng. Chem. Res. 2005, 44, 7228–7233. [Google Scholar] [CrossRef]
- Betancur, M.; Martínez, J.D.; Murillo, R. Production of activated carbon by waste tire thermochemical degradation with CO2. J. Hazard. Mater. 2009, 168, 882–887. [Google Scholar] [CrossRef]
- Jusoh, N.W.C.; Choo, T.Y.; Masudi, A.; Ali, R.R. Waste Tire Carbon Adsorbent for Active Removal of Paracetamol in Aqueous Solution. J. Phys. Conf. Ser. 2020, 1447, 012050. [Google Scholar] [CrossRef]
- Lin, Y.-R.; Teng, H. Mesoporous carbons from waste tire char and their application in wastewater discoloration. Microporous Mesoporous Mater. 2002, 54, 167–174. [Google Scholar] [CrossRef]
- Özbaşa, E.E.; Balçıkb, B.; Ozcana, H.K. Preparation of activated carbon from waste tires, and its use for dye removal. Desalination Water Treat. 2019, 172, 78–85. [Google Scholar] [CrossRef]
- Rui, J.; Deng, N.; Zhao, Y.; Tao, C.; Zhou, J.; Zhao, Z.; Huang, X. Activation of persulfate via Mn doped Mg/Al layered double hydroxide for effective degradation of organics: Insights from chemical and structural variability of catalyst. Chemosphere 2022, 302, 134849. [Google Scholar] [CrossRef]
- Chen, Q.; Xu, F.; Zong, P.; Song, F.; Wang, B.; Tian, Y.; Wu, F.; Zhao, X.; Qiao, Y. Influence of CaO on the thermal kinetics and formation mechanism of high value-added products during waste tire pyrolysis. J. Hazard. Mater. 2022, 436, 129220. [Google Scholar] [CrossRef]
- Demirbas, A.; Al-Sasi, B.O.; Nizami, A.-S. Conversion of waste tires to liquid products via sodium carbonate catalytic pyrolysis. Energy Sources Part A 2016, 38, 2487–2493. [Google Scholar] [CrossRef]
- Qu, B.; Li, A.; Qu, Y.; Wang, T.; Zhang, Y.; Wang, X.; Gao, Y.; Fu, W.; Ji, G. Kinetic analysis of waste tire pyrolysis with metal oxide and zeolitic catalysts. J. Anal. Appl. Pyrolysis 2020, 152, 104949. [Google Scholar] [CrossRef]
- Rijo, B.; Dias, A.P.S.; Wojnicki, Ł. Catalyzed pyrolysis of scrap tires rubber. J. Environ. Chem. Eng. 2022, 10, 107037. [Google Scholar] [CrossRef]
- Ahmad, A.A.; Ahmad, M.A.; Yahaya, N.K.E.M.; Karim, J. Adsorption of malachite green by activated carbon derived from gasified Hevea brasiliensis root. Arab. J. Chem. 2021, 14, 103104. [Google Scholar] [CrossRef]
- Harvey, O.R.; Herbert, B.E.; Rhue, R.D.; Kuo, L.J. Metal interactions at the biochar-water interface: Energetics and structure-sorption relationships elucidated by flow adsorption microcalorimetry. Environ. Sci. Technol. 2011, 45, 5550–5556. [Google Scholar] [CrossRef]
- Liu, N.; Zhang, Y.T.; Xu, C.; Liu, P.; Lv, J.; Liu, Y.Y.; Wang, Q.Y. Removal mechanisms of aqueous Cr(VI) using apple wood biochar: A spectroscopic study. J. Hazard. Mater. 2020, 384, 121371. [Google Scholar] [CrossRef]
- Zaheer, Z.; Al-Asfar, A.; Aazam, E.S. Adsorption of methyl red on biogenic Ag@Fe nanocomposite adsorbent: Isotherms, kinetics and mechanisms. J. Mol. Liq. 2019, 283, 287–298. [Google Scholar] [CrossRef]
- Sogancioglu, M.; Yel, E.; Ahmetli, G. Behaviour of waste polypropylene pyrolysis char-based epoxy composite materials. Environ. Sci. Pollut. Res. 2020, 27, 3871–3884. [Google Scholar] [CrossRef] [PubMed]
- Wang, Q.; Duan, C.J.; Xu, C.Y.; Geng, Z.C. Efficient removal of Cd(II) by phosphate-modified biochars derived from apple tree branches: Processes, mechanisms, and application. Sci. Total Environ. 2022, 819, 152876. [Google Scholar] [CrossRef] [PubMed]
- Ma, Q.; Yu, Y.; Sindoro, M.; Fane, A.G.; Wang, R.; Zhang, H. Carbon-based functional materials derived from waste for water remediation and energy storage. Adv. Mater. 2017, 29, 1605361. [Google Scholar] [CrossRef] [PubMed]
- Juan, Y.; Ke-Qiang, Q. Preparation of Activated Carbon by Chemical Activation under Vacuum. Environ. Sci. Technol. 2009, 43, 3385–3390. [Google Scholar] [CrossRef]
- Gupta, V.K.; Nayak, A.; Agarwal, S.; Tyagi, I. Potential of activated carbon from waste rubber tire for the adsorption of phenolics: Effect of pre-treatment conditions. J. Colloid Interface Sci. 2014, 417, 420–430. [Google Scholar] [CrossRef]
- Zhao, Y.; Deng, N.; Fan, Z.; Hu, Z.-T.; Fan, L.; Zhou, J.; Huang, X. On-site H2O2 electro-generation process combined with ultraviolet: A promising approach for odorous compounds purification in drinking water system. Chem. Eng. J. 2022, 430, 132829. [Google Scholar] [CrossRef]
- Ai, L.; Zhang, C.; Chen, Z. Removal of methylene blue from aqueous solution by a solvothermal-synthesized graphene/magnetite composite. J. Hazard. Mater. 2011, 192, 1515–1524. [Google Scholar] [CrossRef]
- Shahrokhi-Shahraki, R.; Benally, C.; El-Din, M.G.; Park, J. High efficiency removal of heavy metals using tire-derived activated carbon vs commercial activated carbon: Insights into the adsorption mechanisms. Chemosphere 2020, 264, 128455. [Google Scholar] [CrossRef]
- Troca-Torrado, C.; Alexandre-Franco, M.; Fernandez-Gonzalez, C.; Alfaro-Dominguez, M.; Gomez-Serrano, V. Development of adsorbents from used tire rubber Their use in the adsorption of organic and inorganic solutes in aqueous solution. Fuel Process. Technol. 2011, 92, 206–212. [Google Scholar] [CrossRef]
- Smith, Y.R.; Bhattacharyya, D.; Willhard, T.; Misra, M. Adsorption of aqueous rare earth elements using carbon black derived from recycled tires. Chem. Eng. J. 2016, 296, 102–111. [Google Scholar] [CrossRef]
- Phasuphan, W.; Praphairaksit, N.; Imyim, A. Removal of ibuprofen, diclofenac, and naproxen from water using chitosan-modified waste tire crumb rubber. J. Mol. Liq. 2019, 294, 111554. [Google Scholar] [CrossRef]
- Zhang, J.; Zhao, Y.; Wu, S.; Jia, G.; Cui, X.; Zhao, P.; Li, Y.J.P.S. Enhanced adsorption of malachite green on hydroxyl functionalized coal: Behaviors and mechanisms. Process Saf. Environ. Prot. 2022, 163, 48–57. [Google Scholar] [CrossRef]
- Auta, M.; Hameed, B.H. Modified mesoporous clay adsorbent for adsorption isotherm and kinetics of methylene blue. Chem. Eng. J. 2012, 198–199, 219–227. [Google Scholar] [CrossRef]
- Langergren, S.; Svenska, B.A.K. Zur theorie der sogenannten adsorption geloster stoffe. Veternskapsakad Handl. 1898, 24, 1–39. [Google Scholar]
- Ho, Y.S.; McKay, G. Pseudo-second order model for sorption processes. Process Biochem. 1999, 34, 451–465. [Google Scholar] [CrossRef]
- Muinde, V.M.; Onyari, J.M.; Wamalwa, B.; Wabomba, J.N. Adsorption of malachite green dye from aqueous solutions using mesoporous chitosan–zinc oxide composite material. Environ. Chem. Ecotoxicol. 2020, 2, 115–125. [Google Scholar] [CrossRef]
- Igwegbe, C.A.; Ighalo, J.O.; Onyechi, K.K.; Onukwuli, O.D. Adsorption of Congo red and malachite green using H3PO4 and NaCl-modified activated carbon from rubber (Hevea brasiliensis) seed shells. Sustain. Water Resour. Manag. 2021, 7, 63. [Google Scholar] [CrossRef]











| Ultimate Analysis | St,d | |||
|---|---|---|---|---|
| C | H | O a | N | |
| 63.859 | 5.305 | 5.019 | 1.181 | 1.299 |
| Samples | C-C | C-O | O-C=O | |||
|---|---|---|---|---|---|---|
| B.E. (eV) | Concentration | B.E. (eV) | Concentration | B.E. (eV) | Concentration | |
| RWT-PC | 284.43 | 73.53% | 285.07 | 22.06% | 289.32 | 4.41% |
| NaOH-PC | 284.43 | 65.79% | 285.43 | 24.34% | 289.77 | 9.87% |
| Na2CO3-PC | 284.38 | 55.56% | 285.01 | 36.11% | 288.11 | 8.33% |
| CaO-PC | 284.48 | 68.49% | 285.39 | 22.60% | 289.82 | 8.90% |
| Sample | BET Surface (m2/g) | Total Pore Volume (cm3/g) | Average Pore Diameter (nm) |
|---|---|---|---|
| RWT-PC | 29.73 | 0.24 | 29.43 |
| NaOH-PC | 74.44 | 0.52 | 27.71 |
| Na2CO3-PC | 64.95 | 0.47 | 28.96 |
| CaO-PC | 67.31 | 0.62 | 36.95 |
| Kinetic Models | Parameters | Pyrolytic Chars | |||
|---|---|---|---|---|---|
| RWT-PC | NaOH-PC | CaO-PC | Na2CO3-PC | ||
| qe,exp (mg/g) | 631.7 | 858.5 | 937.8 | 831.7 | |
| PFO | qe,cal (mg/g) | 480.0 | 692.0 | 763.5 | 642.0 |
| k1(min−1) | 0.0533 | 0.0765 | 0.0583 | 0.0518 | |
| R2 (nonlinear) | 0.645 | 0.754 | 0.837 | 0.736 | |
| RMSE | 22.045 | 20.1 | 22.705 | 24.332 | |
| PSO | qe,cal (mg/g) | 508.7 | 717.6 | 802.6 | 677.6 |
| k2×104 (g/mg·min) | 1.322 | 1.667 | 0.965 | 1.008 | |
| R2 (nonlinear) | 0.779 | 0.884 | 0.914 | 0.866 | |
| RMSE | 20.303 | 15.352 | 18.934 | 20.197 | |
| ID | Ki,1 (mg/g min0.5) | 118.2 | 207.3 | 111.5 | 164.3 |
| RMSE | 34.916 | 37.680 | 22.499 | 41.084 | |
| C1 | 38.65 | 61.61 | 0.11 | 48.31 | |
| R2 (linear) | 0.867 | 0.934 | 0.891 | 0.881 | |
| Ki,2 (mg/g min0.5) | 242.4 | 532.2 | 499.1 | 377.9 | |
| RMSE | 11.141 | 21.600 | 31.951 | 36.909 | |
| C2 | 11.46 | 7.59 | 12.92 | 13.12 | |
| R2 (linear) | 0.981 | 0.861 | 0.891 | 0.864 | |
| Ki,3 (mg/g min0.5) | 390.5 | 589.9 | 658.4 | 468.3 | |
| RMSE | 36.203 | 25.743 | 27.843 | 28.915 | |
| C3 | 4.37 | 4.53 | 4.73 | 6.22 | |
| R2 (linear) | 0.884 | 0.942 | 0.938 | 0.960 | |
| Isotherms | Parameters | PCs | |||
|---|---|---|---|---|---|
| RWT-PC | NaOH-PC | CaO-PC | Na2CO3-PC | ||
| Langmuir | qL (mg/g) | 45.633 | 432.573 | 579.272 | 251.013 |
| KL (L/mg) | 0.65450 | 0.00438 | 0.00204 | 0.00748 | |
| R2 | / | 0.918 | 0.758 | 0.896 | |
| Freundlich | KF (mg/g(L/mg)1/n ) | 45.386 | 24.061 | 8.633 | 31.748 |
| n | 2.26 | 2.52 | 1.79 | 3.47 | |
| R2 | / | 0.745 | 0.703 | 0.671 | |
| Temkin | b | / | 0.03161 | 0.06817 | 0.07789 |
| KT(L/mg) | / | 105.968 | 68.697 | 52.896 | |
| R2 | / | 0.899 | 0.544 | 0.770 | |
| Raw Material | Activator | Adsorption Capacity (mg/g) | Kinetics | Isotherms | Reference |
|---|---|---|---|---|---|
| Luffa aegyptica peel | NaOH | 78.79 | PSO | Langmuir | [16] |
| Rice husk | NaOH | 373.02 | PSO | / | [17] |
| Pinus roxburghii cone | Acetic acid | 250 | / | Langmuir | [18] |
| Chinese Fan Palm Seed | / | 21.4 | / | Langmuir | [43] |
| Nutraceutical industrial fenugreek seed spent | / | 130 | PSO | Langmuir | [44] |
| Rubber seed shells | H3PO4 | 58.48 | PSO | Freundlich | [45] |
| Rubber seed shells | NaCl | 56.82 | PSO | Freundlich | [45] |
| Waste tires | / | 631.7 | PSO | Langmuir | This study |
| Waste tires | NaOH | 858.5 | PSO | Langmuir | This study |
| Waste tires | CaO | 937.8 | PSO | Langmuir | This study |
| Waste tires | Na2CO3 | 831.7 | PSO | Langmuir | This study |
Publisher’s Note: MDPI stays neutral with regard to jurisdictional claims in published maps and institutional affiliations. |
© 2022 by the authors. Licensee MDPI, Basel, Switzerland. This article is an open access article distributed under the terms and conditions of the Creative Commons Attribution (CC BY) license (https://creativecommons.org/licenses/by/4.0/).
Share and Cite
Ji, D.; Gai, D.; Xu, Y.; Huang, Z.; Zhao, P. The Use of Pyrolytic Char Derived from Waste Tires in the Removal of Malachite Green from Dyeing Wastewater. Nanomaterials 2022, 12, 4325. https://doi.org/10.3390/nano12234325
Ji D, Gai D, Xu Y, Huang Z, Zhao P. The Use of Pyrolytic Char Derived from Waste Tires in the Removal of Malachite Green from Dyeing Wastewater. Nanomaterials. 2022; 12(23):4325. https://doi.org/10.3390/nano12234325
Chicago/Turabian StyleJi, Dongliang, Didi Gai, Yikun Xu, Zhaoqin Huang, and Peitao Zhao. 2022. "The Use of Pyrolytic Char Derived from Waste Tires in the Removal of Malachite Green from Dyeing Wastewater" Nanomaterials 12, no. 23: 4325. https://doi.org/10.3390/nano12234325
APA StyleJi, D., Gai, D., Xu, Y., Huang, Z., & Zhao, P. (2022). The Use of Pyrolytic Char Derived from Waste Tires in the Removal of Malachite Green from Dyeing Wastewater. Nanomaterials, 12(23), 4325. https://doi.org/10.3390/nano12234325

