Dual-Wavelength Forward-Enhanced Directional Scattering and Second Harmonic Enhancement in Open-Hole Silicon Nanoblock
Abstract
1. Introduction
2. Materials and Methods
3. Results and Discussion
3.1. Dual-Wavelength Forward-Enhanced Directional Scattering Effect
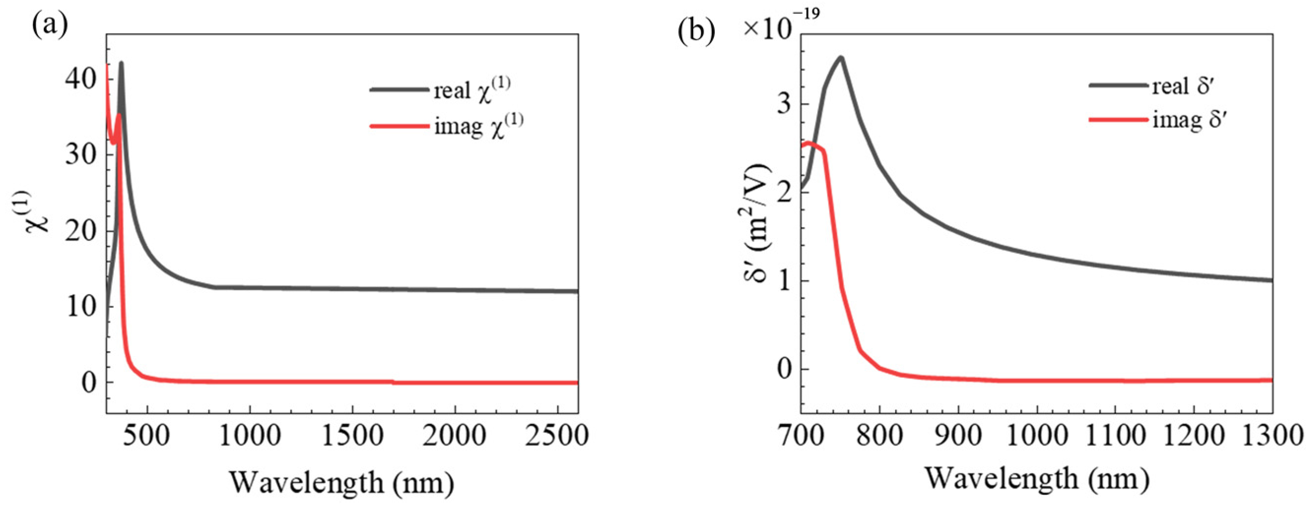
3.2. Dual-Wavelength Second Harmonic Enhancement
4. Conclusions
Author Contributions
Funding
Institutional Review Board Statement
Informed Consent Statement
Data Availability Statement
Acknowledgments
Conflicts of Interest
References
- Youngblood, N.; Chen, C.; Koester, S.J.; Li, M. Waveguide-integrated black phosphorus photodetector with high responsivity and low dark current. Nat. Photonics 2015, 9, 247–252. [Google Scholar] [CrossRef]
- Gan, X.; Shiue, R.J.; Gao, Y.; Meric, I.; Heinz, T.F.; Shepard, K.; Englund, D. Chip-integrated ultrafast graphene photodetector with high responsivity. Nat. Photonics 2013, 7, 883–887. [Google Scholar] [CrossRef]
- Shcherbakov, M.R.; Vabishchevich, P.P.; Shorokhov, A.S.; Chong, K.E.; Choi, D.Y.; Staude, I.; Kivshar, Y.S. Ultrafast all-optical switching with magnetic resonances in nonlinear dielectric nanostructures. Nano Lett. 2015, 15, 6985–6990. [Google Scholar] [CrossRef] [PubMed]
- Kwiat, P.G.; Mattle, K.; Weinfurter, H.; Zeilinger, A.; Sergienko, A.V.; Shih, Y. New high-intensity source of polarization-entangled photon pairs. Phy. Rev. Lett. 1995, 75, 4337. [Google Scholar] [CrossRef] [PubMed]
- Barz, S.; Cronenberg, G.; Zeilinger, A.; Walther, P. Heralded generation of entangled photon pairs. Nat. Photonics 2010, 4, 553–556. [Google Scholar] [CrossRef]
- Priolo, F.; Gregorkiewicz, T.; Galli, M.; Krauss, T.F. Silicon nanostructures for photonics and photovoltaics. Nat. Nanotechnol. 2014, 9, 19–32. [Google Scholar] [CrossRef]
- Staude, I.; Schilling, J. Metamaterial-inspired silicon nanophotonics. Nat. Photonics 2017, 11, 274–284. [Google Scholar] [CrossRef]
- Jiang, Y.; Wilson, P.T.; Downer, M.C.; White, C.W.; Withrow, S.P. Second-harmonic generation from silicon nanocrystals embedded in SiO2. Appl. Phys. Lett. 2001, 78, 766–768. [Google Scholar] [CrossRef]
- Li, R.; Zhou, X.; Panmai, M.; Xiang, J.; Liu, H.; Ouyang, M.; Wei, Z. Broadband zero backward scattering by all-dielectric core-shell nanoparticles. Opt. Express 2018, 26, 28891–28901. [Google Scholar] [CrossRef]
- Xu, J.; Fan, H.; Dai, Q.; Liu, H.; Lan, S. Toroidal dipole response in the individual silicon hollow cylinder under radially polarized beam excitation. J. Phys. D Appl. Phys. 2021, 54, 215102. [Google Scholar] [CrossRef]
- Xue, F.; Fan, H.; Dai, Q.; Liu, H.; Lan, S. Broadband unidirectional scattering in the transverse direction and angular radiation realized by using a silicon hollow nanodisk under a radially polarized beam. J. Phys. D Appl. Phys. 2021, 55, 095111. [Google Scholar] [CrossRef]
- Staude, I.; Miroshnichenko, A.E.; Decker, M.; Fofan, N.T.; Liu, S.; Gonzales, E.; Kivshar, Y. Tailoring directional scattering through magnetic and electric resonances in subwavelength silicon nanodisks. ACS Nano 2013, 7, 7824–7832. [Google Scholar] [CrossRef]
- Fu, Y.H.; Kuznetsov, A.I.; Miroshnichenko, A.E.; Yu, Y.F.; Luk’yuanchuk, B. Directional visible light scattering by silicon nanoparticles. Nat. Commun. 2013, 4, 1527. [Google Scholar] [CrossRef] [PubMed]
- Kuznetsov, A.I.; Miroshnichenko, A.E.; Fu, Y.H.; Zhang, J.; Luk’yanchuk, B. Magnetic light. Sci. Rep. 2012, 2, 492. [Google Scholar] [CrossRef] [PubMed]
- Tsuchimoto, Y.; Yano, T.A.; Hayashi, T.; Hara, M. Fano resonant all-dielectric core/shell nanoparticles with ultrahigh scattering directionality in the visible region. Opt. Express 2016, 24, 14451–14462. [Google Scholar] [CrossRef]
- Koshelev, K.; Kivshar, Y. Dielectric resonant metaphotonics. ACS Photonics 2020, 8, 102–112. [Google Scholar] [CrossRef]
- Sun, Y.; Mu, H.; Liu, C.; Qiao, J.; Sun, T.; Chu, P.K. Enhancement of unidirectional forward scattering and suppression of backward scattering in hollow silicon nanoblocks. Appl. Opt. 2021, 60, 8737–8743. [Google Scholar] [CrossRef]
- Evlyukhin, A.B.; Reinhardt, C.; Evlyukhin, E.; Chichkov, B.N. Multipole analysis of light scattering by arbitrary-shaped nanoparticles on a plane surface. J. Opt. Soc. Am. B 2013, 30, 2589–2598. [Google Scholar] [CrossRef]
- Panmai, M.; Xiang, J.; Sun, Z.; Sun, Z.; Peng, Y.; Liu, H.; Liu, H.; Lan, S. All-silicon-based nano-antennas for wavelength and polarization demultiplexing. Opt. Express 2018, 26, 12344–12362. [Google Scholar] [CrossRef]
- Kerker, M.; Wang, D.S.; Giles, C.L. Electromagnetic scattering by magnetic spheres. J. Opt. Soc. Am. B 1983, 73, 765–767. [Google Scholar] [CrossRef]
- Alaee, R.; Filter, R.; Lehr, D.; Lederer, F.; Rockstuhl, C. A generalized Kerker condition for highly directive nanoantennas. Opt. Lett. 2015, 40, 2645–2648. [Google Scholar] [CrossRef] [PubMed]
- Liu, W.; Kivshar, Y.S. Generalized Kerker effects in nanophotonics and meta-optics. Opt. Express 2018, 26, 13085–13105. [Google Scholar] [CrossRef] [PubMed]
- Sun, S.; Wang, D.; Feng, Z.; Tan, W. Highly efficient unidirectional forward scattering induced by resonant interference in a metal–dielectric heterodimer. Nanoscale 2020, 12, 22289–22297. [Google Scholar] [CrossRef] [PubMed]
- Terekhov, P.D.; Shamkhi, H.K.; Gurvitz, E.A.; Baryshnikova, K.V.; Evlyukhin, A.B.; Shalin, A.S.; Karabchevsky, A. Broadband forward scattering from dielectric cubic nanoantenna in lossless media. Opt. Express 2019, 27, 10924–10935. [Google Scholar] [CrossRef] [PubMed]
- Chen, S.; Meng, L.Y.; Shan, H.Y.; Li, J.F.; Qian, L.; Williams, C.T.; Yang, Z.L.; Tian, Z.Q. How to light special hot spots in multiparticle-film configurations. ACS Nano 2016, 10, 581–587. [Google Scholar] [CrossRef]
- Zhang, D.; Xiang, J.; Liu, H.; Deng, F.; Liu, H.; Ouyang, M.; Dai, Q. Magnetic Fano resonance of heterodimer nanostructure by azimuthally polarized excitation. Opt. Express 2017, 25, 26704–26713. [Google Scholar] [CrossRef]
- Chen, Y.; Chen, S.; Shih, T.M.; Wang, J.; Yang, W.; Qian, L.; Yang, Z. Broadband unidirectional scattering in visible ranges and controllable hot-spot spatial transfer via a single nanoparticle. Appl. Surf. Sci. 2020, 528, 146489. [Google Scholar] [CrossRef]
- Carletti, L.; Locatelli, A.; Stepanenko, O.; Leo, G.; De Angelis, C. Enhanced second-harmonic generation from magnetic resonance in AlGaAs nanoantennas. Opt. Express 2015, 23, 26544–26550. [Google Scholar] [CrossRef]
- Smirnova, D.; Kivshar, Y.S. Multipolar nonlinear nanophotonics. Optica 2016, 3, 1241–1255. [Google Scholar] [CrossRef]
- Shcherbakov, M.R.; Neshev, D.N.; Hopkins, B.; Shorokhov, A.S.; Staude, I.; Melik-Gaykazyan, E.V.; Kivshar, Y.S. Enhanced third-harmonic generation in silicon nanoparticles driven by magnetic response. Nano Lett. 2014, 14, 6488–6492. [Google Scholar] [CrossRef]
- Smirnova, D.A.; Khanikaev, A.B.; Smirnov, L.A.; Kivshar, Y.S. Multipolar third-harmonic generation driven by optically induced magnetic resonances. ACS Photonics 2016, 3, 1468–1476. [Google Scholar] [CrossRef]
- Cazzanelli, M.; Schilling, J. Second order optical nonlinearity in silicon by symmetry breaking. Appl. Phys. Rev. 2016, 3, 011104. [Google Scholar] [CrossRef]
- Smirnova, D.; Smirnov, A.I.; Kivshar, Y.S. Multipolar second-harmonic generation by Mie-resonant dielectric nanoparticles. Phy. Rev. A 2018, 97, 013807. [Google Scholar] [CrossRef]
- Xu, L.; Rahmani, M.; Ma, Y.; Smirnova, D.A.; Kamali, K.Z.; Deng, F.; Miroshnichenko, A.E. Enhanced light–matter interactions in dielectric nanostructures via machine-learning approach. Adv. Photonics 2020, 2, 026003. [Google Scholar] [CrossRef]
- Palik, E.D.; Ghosh, G. Handbook of optical constants of solids (New York: Academic). J. Mod. Opt. 1985, 39, 189. [Google Scholar] [CrossRef]
- Tuz, V.R.; Khardikov, V.V.; Kivshar, Y.S. All-dielectric resonant metasurfaces with a strong toroidal response. ACS Photonics 2018, 5, 1871–1876. [Google Scholar] [CrossRef]
- Zhang, S.; Jiang, R.; Xie, Y.M. Colloidal moderate-refractive-index Cu2O nanospheres as visible-region nanoantennas with electromagnetic resonance and directional light-scattering properties. Adv. Mater. 2015, 27, 7432–7439. [Google Scholar] [CrossRef]
- Huang, L.; Yu, Y.; Cao, L. General modal properties of optical resonances in subwavelength nonspherical dielectric structures. Nano Lett. 2013, 13, 3559–3565. [Google Scholar] [CrossRef]
- Yang, Y.; Miroshnichenko, A.E.; Kostinski, S.V.; Odit, M.; Kapitanova, P.; Qiu, M.; Kivshar, Y.S. Multimode directionality in all-dielectric metasurfaces. Phys. Rev. B 2017, 95, 165426. [Google Scholar] [CrossRef]
- Gao, J.; McMillan, J.F.; Wu, M.C.; Zheng, J.; Assefa, S.; Wong, C.W. Demonstration of an air-slot mode-gap confined photonic crystal slab nanocavity with ultrasmall mode volumes. Appl. Phys. Lett. 2010, 96, 051123. [Google Scholar] [CrossRef]
- Yang, Z.J.; Zhao, Q.; Deng, Y.H.; Zhang, D.; He, J. Efficient second harmonic generation in gold–silicon core–shell nanostructures. Opt. Express 2018, 26, 5835–5844. [Google Scholar] [CrossRef] [PubMed]
- Makarov, S.V.; Petrov, M.I.; Zywietz, U.; Milichko, V.; Zuev, D.; Lopanitsyna, N.; Kivshar, Y.S. Efficient second-harmonic generation in nanocrystalline silicon nanoparticles. Nano Lett. 2017, 17, 3047–3053. [Google Scholar] [CrossRef] [PubMed]
- Jafari, N.A.; Bahari, A. Optimization of second harmonic generation in Au/Si core-shell nanoparticles. Photonics Nanostruct. Fundam. Appl. 2021, 47, 100972. [Google Scholar] [CrossRef]
- Capretti, A.; Forestiere, C.; Dal Negro, L.; Miano, G. Full-wave analytical solution of second-harmonic generation in metal nanospheres. Plasmonics 2014, 9, 151–166. [Google Scholar] [CrossRef]
- Timbrell, D.; You, J.W.; Kivshar, Y.S.; Panoiu, N.C. A comparative analysis of surface and bulk contributions to second-harmonic generation in centrosymmetric nanoparticles. Sci. Rep. 2018, 8, 3586. [Google Scholar] [CrossRef]
- Zeng, T.; Guo, L.; Xu, L.; Han, T. Enhanced second-harmonic generation from L-shaped AIGaAs nanoantennas. J. Opt. Soc. Am. B 2020, 37, 868–875. [Google Scholar] [CrossRef]
- Zhang, S.; Li, G.C.; Chen, Y.; Zhu, X.; Liu, S.D.; Lei, D.Y.; Duan, H. Pronounced Fano resonance in single gold split nanodisks with 15 nm split gaps for intensive second harmonic generation. ACS Nano 2016, 10, 11105–11114. [Google Scholar] [CrossRef]
- Dadap, J.I.; Shan, J.; Heinz, T.F. Theory of optical second-harmonic generation from a sphere of centrosymmetric material: Small-particle limit. J. Opt. Soc. Am. B 2004, 21, 1328–1347. [Google Scholar] [CrossRef]






Publisher’s Note: MDPI stays neutral with regard to jurisdictional claims in published maps and institutional affiliations. |
© 2022 by the authors. Licensee MDPI, Basel, Switzerland. This article is an open access article distributed under the terms and conditions of the Creative Commons Attribution (CC BY) license (https://creativecommons.org/licenses/by/4.0/).
Share and Cite
Wang, X.; Zheng, Y.; Ouyang, M.; Fan, H.; Dai, Q.; Liu, H. Dual-Wavelength Forward-Enhanced Directional Scattering and Second Harmonic Enhancement in Open-Hole Silicon Nanoblock. Nanomaterials 2022, 12, 4259. https://doi.org/10.3390/nano12234259
Wang X, Zheng Y, Ouyang M, Fan H, Dai Q, Liu H. Dual-Wavelength Forward-Enhanced Directional Scattering and Second Harmonic Enhancement in Open-Hole Silicon Nanoblock. Nanomaterials. 2022; 12(23):4259. https://doi.org/10.3390/nano12234259
Chicago/Turabian StyleWang, Xinghua, Yunbao Zheng, Min Ouyang, Haihua Fan, Qiaofeng Dai, and Haiying Liu. 2022. "Dual-Wavelength Forward-Enhanced Directional Scattering and Second Harmonic Enhancement in Open-Hole Silicon Nanoblock" Nanomaterials 12, no. 23: 4259. https://doi.org/10.3390/nano12234259
APA StyleWang, X., Zheng, Y., Ouyang, M., Fan, H., Dai, Q., & Liu, H. (2022). Dual-Wavelength Forward-Enhanced Directional Scattering and Second Harmonic Enhancement in Open-Hole Silicon Nanoblock. Nanomaterials, 12(23), 4259. https://doi.org/10.3390/nano12234259

