Strengthening Mechanism for the Mechanical Properties of Cement-Based Materials after Internal Nano-SiO2 Production
Abstract
1. Introduction
2. Raw Materials and Test Methods
2.1. Raw Materials
2.2. Mix Design and Preparation of Specimens
2.2.1. Preparation of NSPS
2.2.2. Calculation of Available SiO2 Solid Content in the Precursor Solution
2.2.3. Preparation of Cement-Based Specimens through Internal Nano-SiO2 Production
2.2.4. Microstructural Analysis
2.3. Research Content
2.3.1. Effects of the Alkalinity of the Precursor Solution on the Compressive Strength of Cement-Based Materials
2.3.2. Effects of Available SiO2 Solid Content in the Precursor Solution on the Compressive Strength of Cement-Based Materials
2.3.3. Microstructural Analysis of Cement-Based Materials after Internal Nano-SiO2 Production
3. Experimental Results and Analysis
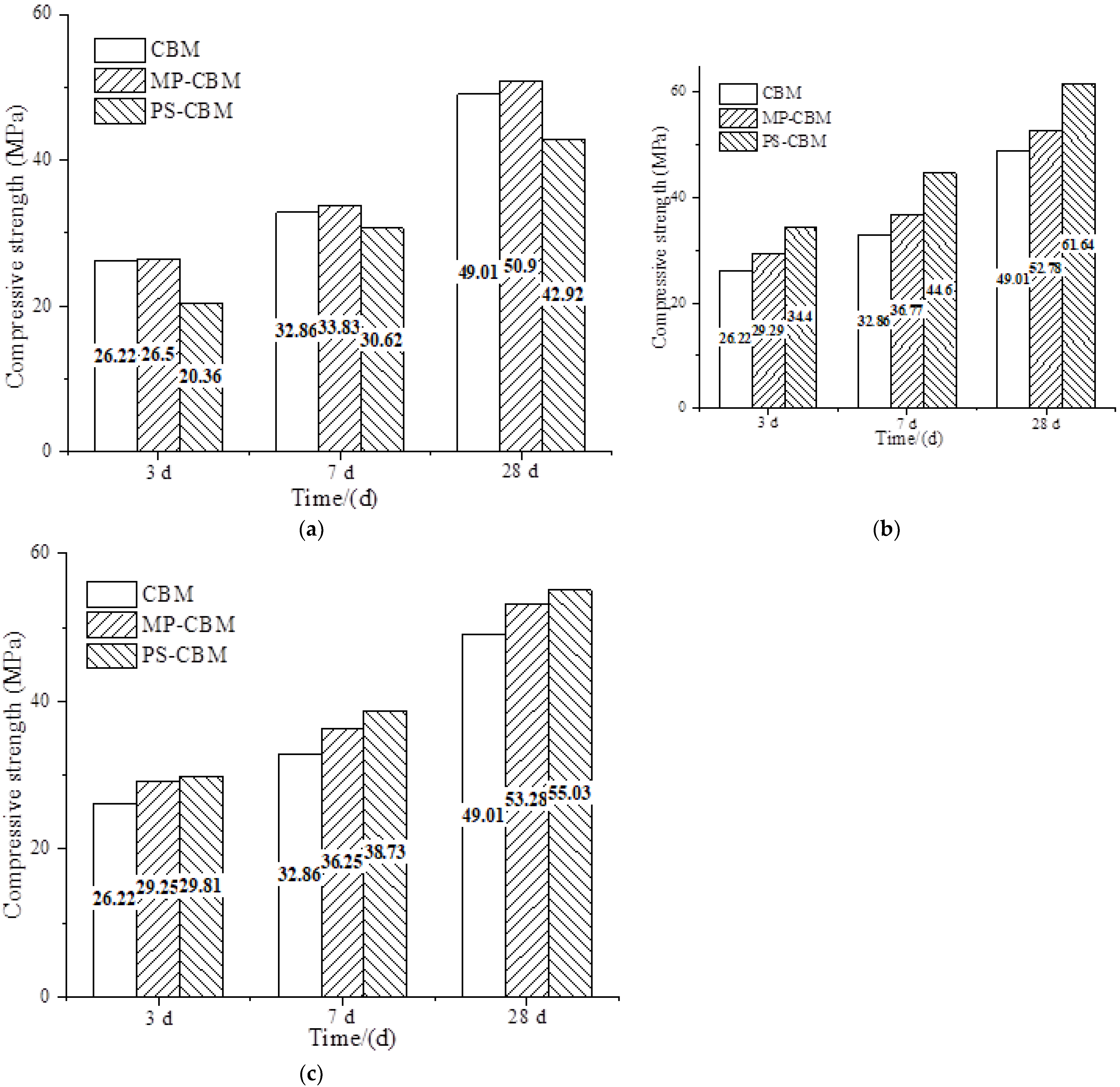
3.1. Effects of the Alkalinity of the Precursor Solution on the Compressive Strength of Cement-Based Materials
3.2. Effects of the Available SiO2 Solid Content in the Precursor Solution on the Compressive Strength of Cement-Based Materials
4. Microstructural Analysis of Cement-Based Materials after Nano-SiO2 Internal Production
4.1. Pure Cement-Based Materials
4.2. Cement-Based Materials with Nano-SiO2 Powder
4.3. Cement-Based Materials with Internal Nano-SiO2 Production
4.4. Energy Spectrum Test Results
5. Reaction Mechanism Analysis of Cement-Based Materials with Nano-SiO2 Internal Production
5.1. Reaction Mechanism of CBM
5.2. Reaction Mechanism of MP-CBM
5.3. Reaction Mechanism of PS-CBM
5.4. Microstructural Model of PS-CBM
5.5. Microstructural Model of Precipitated Nano-SiO2 Particles
6. Conclusions
Author Contributions
Funding
Institutional Review Board Statement
Informed Consent Statement
Data Availability Statement
Conflicts of Interest
References
- Yue, Y.; Zhou, Y.; Xing, F.; Gong, G.; Hu, B.; Guo, M. An industrial applicable method to improve the properties of recycled aggregate concrete by incorporating nano-silica and micro-CaCO3. J. Clean. Prod. 2020, 259, 120920. [Google Scholar] [CrossRef]
- Kumar, S.; Sirajudeen; Sivaranjani; Vani; Ali, N.; Begum, S.; Rahman, Z. Characterization, properties and microstructure studies of cement mortar incorporating nano-SiO2. Mater. Today Proc. 2021, 37, 425–430. [Google Scholar] [CrossRef]
- Hou, P.; Guo, Z.; Li, Q.; Zhang, X.; Liu, J.; Yang, S.; Cheng, X.; Kumar, R.; Srinivasaraonaik, B.; Singh, L. Comparison study on the sulfate attack resistivity of cement-based materials modified with nanoSiO2 and normal SCMs: Pore structure and phase composition. Constr. Build. Mater. 2019, 228, 116764. [Google Scholar] [CrossRef]
- Haruehansapong, S.; Pulngern, T.; Chucheepsakul, S. Effect of the particle size of nanosilica on the compressive strength and the optimum replacement content of cement mortar containing nano-SiO2. Constr. Build. Mater. 2014, 50, 471–477. [Google Scholar] [CrossRef]
- Hou, P.; Qian, J.; Cheng, X.; Shah, S.P. Effects of the pozzolanic reactivity of nanoSiO2 on cement-based materials. Cem. Concr. Compos. 2015, 55, 250–258. [Google Scholar] [CrossRef]
- Shih, J.-Y.; Chang, T.-P.; Hsiao, T.-C. Effect of nanosilica on characterization of Portland cement composite. Mater. Sci. Eng. A 2006, 424, 266–274. [Google Scholar] [CrossRef]
- Xiao, H.; Liu, R.; Zhang, F.; Liu, M.; Li, H. Role of nano-SiO2 in improving the microstructure and impermeability of concrete with different aggregate gradations. Constr. Build. Mater. 2018, 188, 537–545. [Google Scholar] [CrossRef]
- López-Carrasquillo, V.; Hwang, S. Comparative assessment of pervious concrete mixtures containing fly ash and nanomaterials for compressive strength, physical durability, permeability, water quality performance and production cost. Constr. Build. Mater. 2017, 139, 148–158. [Google Scholar] [CrossRef]
- Zhang, P.; Zhao, Y.-N.; Liu, C.-H.; Wang, P.; Zhang, T.-H. Combined effect of nano-SiO2 particles and steel fibers on flexural properties of concrete composite containing fly ash. Sci. Eng. Compos. Mater. 2014, 21, 597–605. [Google Scholar] [CrossRef]
- Gu, Y.; Wei, Z.; Ran, Q.; Shu, X.; Lv, K.; Liu, J. Characterizing cement paste containing SRA modified nanoSiO2 and evaluating its strength development and shrinkage behavior. Cem. Concr. Compos. 2017, 75, 30–37. [Google Scholar] [CrossRef]
- Al Ghabban, A.; Al Zubaidi, A.B.; Jafar, M.; Fakhri, Z. Effect of Nano SiO2 and Nano CaCO3 on The Mechanical Properties, Durability and flowability of Concrete. IOP Conf. Ser. Mater. Sci. Eng. 2018, 454, 12016. [Google Scholar] [CrossRef]
- Chen, H.; Feng, P.; Du, Y.; Jiang, J.; Sun, W. The effect of superhydrophobic nano-silica particles on the transport and mechanical properties of hardened cement pastes. Constr. Build. Mater. 2018, 182, 620–628. [Google Scholar] [CrossRef]
- Güneyisi, E.; Gesoglu, M.; Al-Goody, A.; Ipek, S. Fresh and rheological behavior of nano-silica and fly ash blended self-compacting concrete. Constr. Build. Mater. 2015, 95, 29–44. [Google Scholar] [CrossRef]
- Li, T.; Xiao, J.; Zhu, C. Hydration process modeling of ITZ between new and old cement paste. Constr. Build. Mater. 2016, 109, 120–127. [Google Scholar] [CrossRef]
- Mei, J.; Tan, H.; Li, H.; Ma, B.; Liu, X.; Jiang, W.; Li, X. Effect of sodium sulfate and nano-SiO2 on hydration and microstructure of cementitious materials containing high volume fly ash under steam curing. Constr. Build. Mater. 2018, 163, 812–825. [Google Scholar] [CrossRef]
- Liu, J.; Li, Q.; Xu, S. Influence of nanoparticles on fluidity and mechanical properties of cement mortar. Constr. Build. Mater. 2015, 101, 892–901. [Google Scholar] [CrossRef]
- Gesoglu, M.; Guneyisi, E.; Asaad, D.S. Properties of low binder ultra-high performance cementitious composites: Comparison of nanosilica and microsilica. Constr. Build. Mater. 2016, 102, 706–713. [Google Scholar] [CrossRef]
- Su, Y. Influence of Nanoparticles on Properties of Cement-Based Materials; Zhejiang University of Technology: Hangzhou, China, 2013. (In Chinese) [Google Scholar]
- Zhang, J.; Ji, Y.; Ma, Z.; Xu, Z.; Zhang, Z.; Xu, S. The Stabilization Mechanism of Nano-SiO2 Precursor Solution. Materials 2022, 15, 7207. [Google Scholar] [CrossRef]
- Shaikh, F.; Chavda, V.; Minhaj, N.; Arel, H.S. Effect of mixing methods of nano silica on properties of recycled aggregate concrete. Struct. Concr. 2018, 19, 387–399. [Google Scholar] [CrossRef]
- GB/T 17671-2021; Test Method of Cement Mortar Strength (ISO Method). China Building Materials Federation: Beijing, China, 2022.
- Xu, J.; Corr, D.J.; Shah, S.P. Nanomechanical investigation of the effects of nanoSiO2 on C–S–H gel/cement grain interfaces. Cem. Concr. Compos. 2015, 61, 7–17. [Google Scholar] [CrossRef]
- Liu, L.; Ji, Y.; Zhang, L.; Xu, Z.; Gao, F.; Zhou, Y. Impact of sodium silicate solution chemistry on product formation and jelly hardening of alkali-activated GGBS mortars. Mag. Concr. Res. 2022, 74, 42–53. [Google Scholar] [CrossRef]
- Zhang, G.-Z.; Cho, H.-K.; Wang, X.-Y. Effect of Nano-Silica on the Autogenous Shrinkage, Strength, and Hydration Heat of Ultra-High Strength Concrete. Appl. Sci. 2020, 10, 5202. [Google Scholar] [CrossRef]
- Meng, T.; Wei, H.; Ying, K.; Wang, M. Analysis of the Effect of Nano-SiO2 and Waterproofing Agent on the Water Transportation Process in Mortar Using NMR. Appl. Sci. 2020, 10, 7867. [Google Scholar] [CrossRef]
- Hou, P.; Kawashima, S.; Kong, D.; Corr, D.J.; Qian, J.; Shah, S.P. Modification effects of colloidal nanoSiO2 on cement hydration and its gel property. Compos. Part B Eng. 2013, 45, 440–448. [Google Scholar] [CrossRef]
- Feng, P.; Chang, H.; Liu, X.; Ye, S.; Shu, X.; Ran, Q. The significance of dispersion of nano-SiO2 on early age hydration of cement pastes. Mater. Des. 2020, 186, 108320. [Google Scholar] [CrossRef]
- Yu, R.; Spiesz, P.; Brouwers, H.J.H. Effect of nano-silica on the hydration and microstructure development of Ultra-High Performance Concrete (UHPC) with a low binder amount. Constr. Build. Mater. 2014, 65, 140–150. [Google Scholar] [CrossRef]
- Hou, P.; Cheng, X.; Qian, J.; Shah, S.P. Effects and mechanisms of surface treatment of hardened cement-based materials with colloidal nanoSiO2 and its precursor. Constr. Build. Mater. 2014, 53, 66–73. [Google Scholar] [CrossRef]
- Gao, K.; Lin, K.-L.; Wang, D.; Hwang, C.-L.; Shiu, H.-S.; Chang, Y.-M.; Cheng, T.-W. Effects SiO2/Na2O molar ratio on mechanical properties and the microstructure of nano-SiO2 metakaolin-based geopolymers. Constr. Build. Mater. 2014, 53, 503–510. [Google Scholar] [CrossRef]
- Gu, Y.; Ran, Q.; Shu, X.; Yu, C.; Chang, H.; Liu, J. Synthesis of nanoSiO2@PCE core-shell nanoparticles and its effect on cement hydration at early age. Constr. Build. Mater. 2016, 114, 673–680. [Google Scholar] [CrossRef]
- He, W.; Liao, G. Effects of nano-C-S-H seed crystal on early-age hydration process of Portland cement. Full Nanotub. Carbon Nanostructures 2022, 30, 365–372. [Google Scholar] [CrossRef]









| Ingredient | SiO2 | Al2O3 | Fe2O3 | CaO | MgO | Na2O | f-CaO | Loss |
| Content/% | 21.85 | 5.62 | 2.99 | 61.55 | 2.64 | 0.44 | 0.92 | 2.53 |
| Main Ingredients | Modulus | Baume (°) | Moisture Content (%) | Density (g/cm3) | Melting Point (°C) | Boiling Point (°C) | Vapor Pressure (kPa) |
|---|---|---|---|---|---|---|---|
| Na2SiO3 | 3.15 | 38 | 63 | 2.33 | 1410 | 2355 | 18 |
| Chemical Element | CaO | S | ||||||
| Content (%) | 71.60 | 26.52 | 0.72 | 0.22 | 0.14 | 0.15 | 0.04 | 0.38 |
| Molecular Formula | Density (kg/L) | Substance Concentration (mol/L) | Viscosity (m. Pa.s) | Specific Heat Capacity (kJ/(kg·℃)) | Saturated Vapor Pressure (kPa) | Boiling Point (℃) | Melting Point (℃) |
|---|---|---|---|---|---|---|---|
| CH3COOH | 1.05 | 17.14 | 1.22 | 2.08 | 1.52 | 117.9 | 16.6 |
| Surface | Whiteness | Average Grain Diameter (nm) | Specific Area (m2/g) | Density (g/cm3) | Loss on Drying (%) | Melting Point (℃) | Element Content (%) |
|---|---|---|---|---|---|---|---|
| White powder | 94.7 | ≤20 | 600 | 2.6 | 5.1 | 1610 | SiO2 ≥ 99.9 |
| Number | Nano-SiO2 Precursor Solution | Cement/g | Water/g | Sand/g | |||
|---|---|---|---|---|---|---|---|
| Acetic Acid/g | Sodium silicate/g | pH | SiO2 Solid Content/g | ||||
| J0 | / | / | / | 0 | 450 | 225 | 1350 |
| J1 | 40 | 1.70 | 4 | 0.11 | 450 | 184.12 | 1350 |
| J2 | 40 | 11.11 | 6 | 0.74 | 450 | 177.07 | 1350 |
| J3 | 40 | 12.33 | 8 | 0.82 | 450 | 176.15 | 1350 |
| Number | SiO2 Solid Content/g | pH | Water/g | Cement/g | Sand/g |
|---|---|---|---|---|---|
| S0 | / | / | 225 | 450 | 1350 |
| S1 | 0.74 | 6 | 177.07 | 450 | 1350 |
| S2 | 1.10 | 6 | 153.10 | 450 | 1350 |
| S3 | 1.47 | 6 | 129.14 | 450 | 1350 |
| S4 | 1.84 | 6 | 105.17 | 450 | 1350 |
| Number | SiO2 Solid Content/g | pH | Nano-SiO2 Powder/g | Water/g | Cement/g |
|---|---|---|---|---|---|
| W0 | / | / | / | 225 | 450 |
| W1 | / | / | 0.74 | 225 | 450 |
| W2 | 0.74 | 6 | / | 177.07 | 450 |
Publisher’s Note: MDPI stays neutral with regard to jurisdictional claims in published maps and institutional affiliations. |
© 2022 by the authors. Licensee MDPI, Basel, Switzerland. This article is an open access article distributed under the terms and conditions of the Creative Commons Attribution (CC BY) license (https://creativecommons.org/licenses/by/4.0/).
Share and Cite
Zhang, J.; Ji, Y.; Ma, Z.; Cheng, J.; Xu, S.; Xu, Z.; Zhang, Z. Strengthening Mechanism for the Mechanical Properties of Cement-Based Materials after Internal Nano-SiO2 Production. Nanomaterials 2022, 12, 4047. https://doi.org/10.3390/nano12224047
Zhang J, Ji Y, Ma Z, Cheng J, Xu S, Xu Z, Zhang Z. Strengthening Mechanism for the Mechanical Properties of Cement-Based Materials after Internal Nano-SiO2 Production. Nanomaterials. 2022; 12(22):4047. https://doi.org/10.3390/nano12224047
Chicago/Turabian StyleZhang, Jie, Yongsheng Ji, Zhanguo Ma, Jianwei Cheng, Shengnan Xu, Zhishan Xu, and Zhongzhe Zhang. 2022. "Strengthening Mechanism for the Mechanical Properties of Cement-Based Materials after Internal Nano-SiO2 Production" Nanomaterials 12, no. 22: 4047. https://doi.org/10.3390/nano12224047
APA StyleZhang, J., Ji, Y., Ma, Z., Cheng, J., Xu, S., Xu, Z., & Zhang, Z. (2022). Strengthening Mechanism for the Mechanical Properties of Cement-Based Materials after Internal Nano-SiO2 Production. Nanomaterials, 12(22), 4047. https://doi.org/10.3390/nano12224047

