Optimization of the Selenization Temperature on the Mn-Substituted Cu2ZnSn(S,Se)4 Thin Films and Its Impact on the Performance of Solar Cells
Abstract
1. Introduction
2. Materials and Methods
2.1. Preparation of CMZTSSe Films
2.2. Device Fabrication
2.3. Characterization
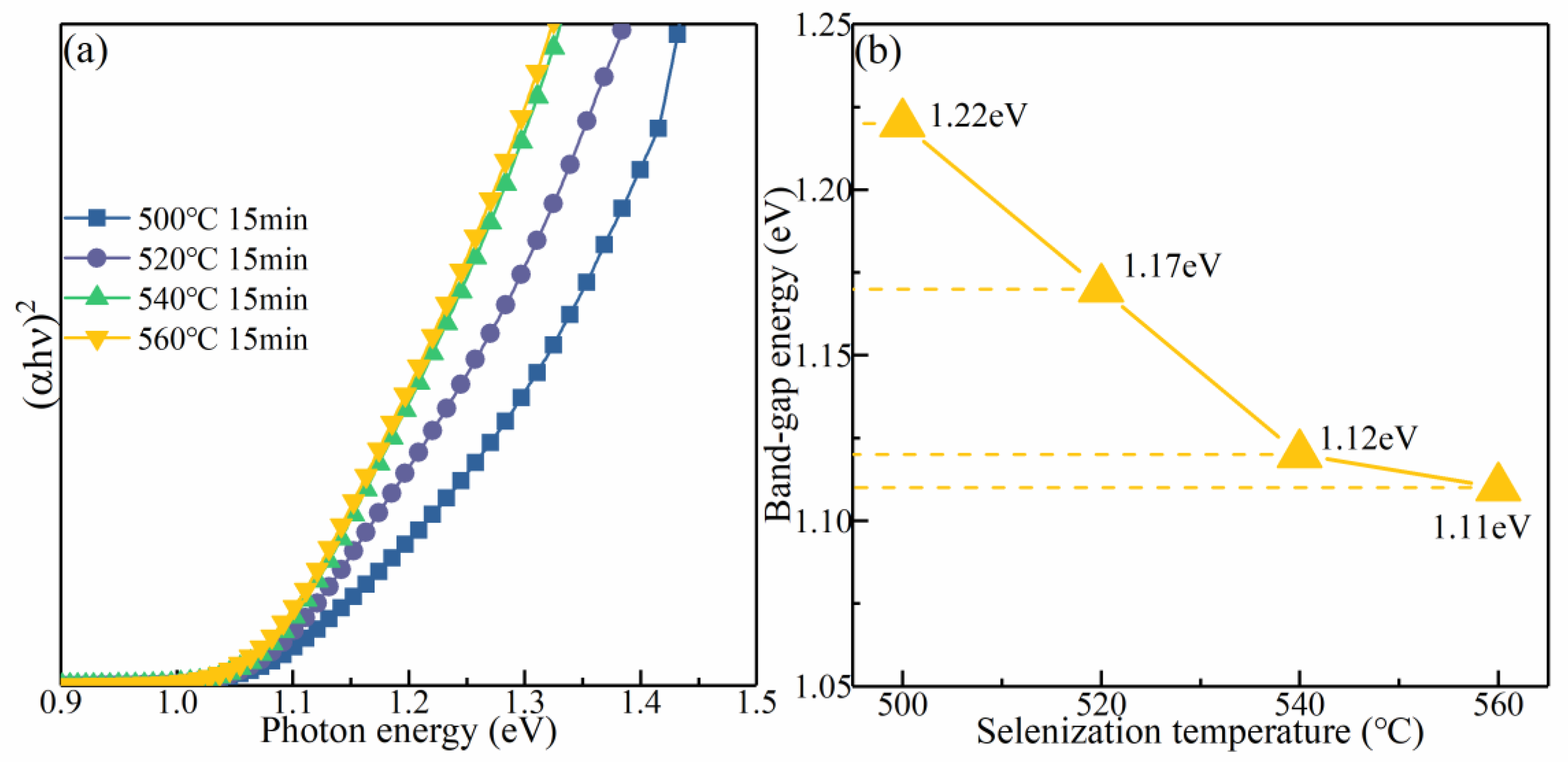
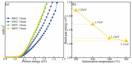
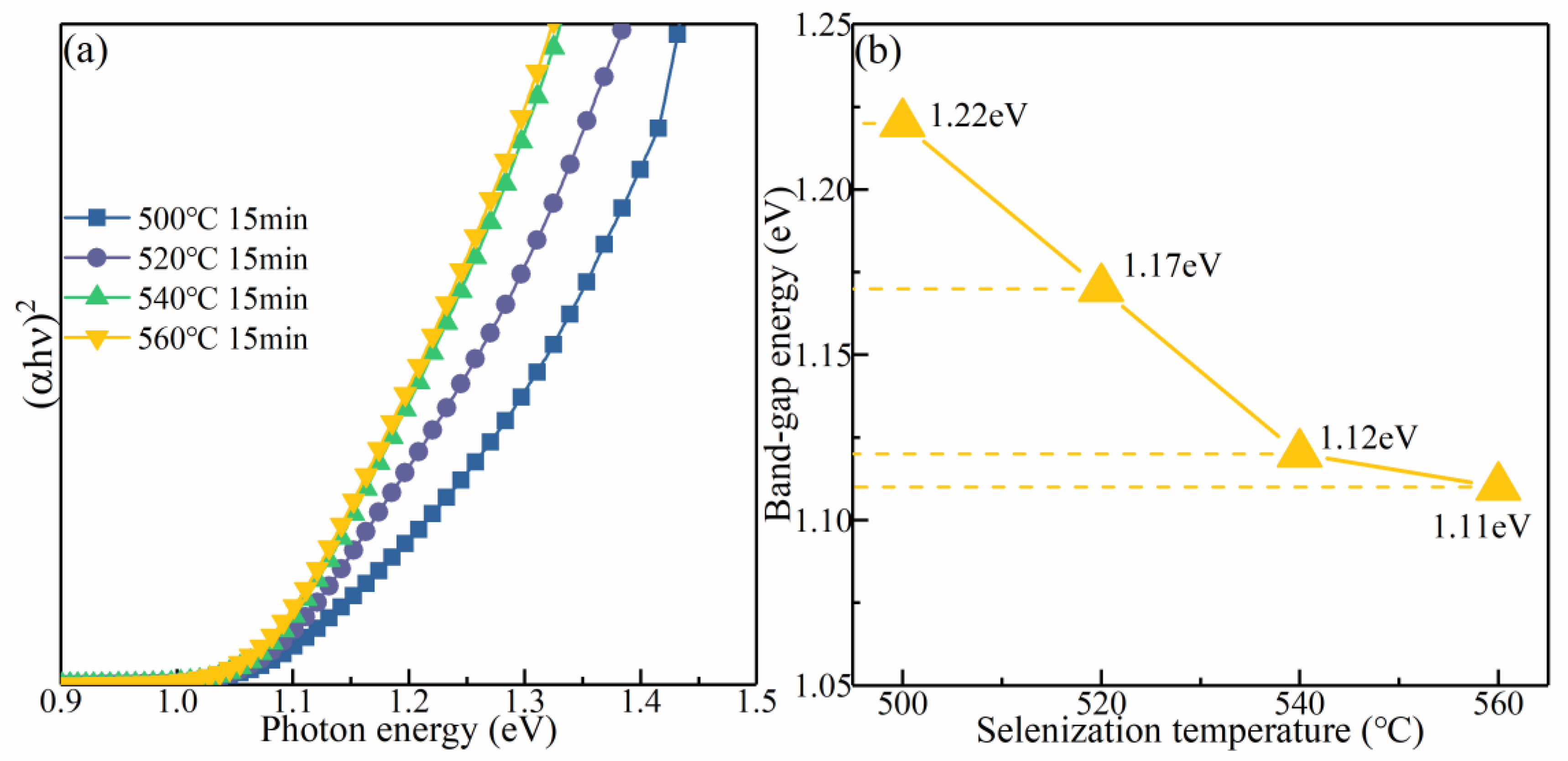
3. Results and Discussion
4. Conclusions
Author Contributions
Funding
Conflicts of Interest
References
- Yu, Q.; Shi, J.J.; Guo, L.B.; Duan, B.W.; Luo, Y.H.; Wu, H.J.; Li, D.M.; Meng, Q.B. Eliminating multi-layer crystallization of Cu2ZnSn(S,Se)4 absorber by controlling back interface reaction. Nano Energy. 2020, 76, 9. [Google Scholar] [CrossRef]
- Su, Z.H.; Liang, G.X.; Fan, P.; Luo, J.T.; Zheng, Z.H.; Xie, Z.G.; Wang, W.; Chen, S.; Hu, J.G.; Wei, Y.D.; et al. Device Postannealing Enabling over 12% Efficient Solution-Processed Cu2ZnSn(S,Se)4 Solar Cells with Cd2+ Substitution. Adv. Mater. 2020, 32, 12. [Google Scholar] [CrossRef] [PubMed]
- Yang, K.J.; Son, D.H.; Sung, S.J.; Sim, J.H.; Kim, Y.I.; Park, S.N.; Jeon, D.H.; Kim, J.; Hwang, D.K.; Jeon, C.W.; et al. A band-gap-graded CZTSSe solar cell with 12.3% efficiency. J. Mater. Chem. A. 2016, 4, 10151–10158. [Google Scholar] [CrossRef]
- Shockley, W.; Queisser, H.J. Detailed balance limit of efficiency of p–n junction solar cells. J. Appl. Phys. 1961, 32, 510–519. [Google Scholar] [CrossRef]
- Mitzi, D.B.; Gunawan, O.; Todorov, T.K.; Barkhouse, D.A.R. Prospects and performance limitations for Cu–Zn–Sn–S–Se photovoltaic technology. Philos. Trans. R. Soc. 2013, 371, 20110432. [Google Scholar] [CrossRef]
- Yang, Y.; Wang, G.; Zhao, W.; Tian, Q.; Huang, L.; Pan, D. Solution-Processed Highly Efficient Cu2ZnSnSe4 Thin Film Solar Cells by Dissolution of Elemental Cu, Zn, Sn, and Se Powders. ACS Appl. Mater. Interfaces 2015, 7, 460–464. [Google Scholar] [CrossRef] [PubMed]
- Miskin, C.; Yang, W.; Hages, C.; Carter, N.; Joglekar, C.; Stach, E.; Agrawal, R. 9.0% Efficient Cu2ZnSn(S,Se)4 Solar Cells from Selenized Nanopartcle. Inks. Prog. Photovolt. 2015, 23, 654–659. [Google Scholar] [CrossRef]
- Woo, K.; Kim, Y.; Yang, W.; Kim, K.; Kim, I.; Oh, Y.; Kim, J.; Moon, J. Band-Gap-Graded Cu2ZnSn(S1−x, Sex)4 Solar Cells Fabricated by an Ethanol-Based, Particulate Precursor Ink Route. Sci. Rep. 2013, 3, 3069. [Google Scholar] [CrossRef]
- Fu, J.; Tian, Q.; Zhou, Z.; Kou, D.; Meng, Y.; Zhou, W.; Wu, S. Improving the performance of solution-processed Cu2ZnSn(S,Se)4 photovoltaic materials by Cd2+ Substitution. Chem. Mater. 2016, 28, 5821–5828. [Google Scholar] [CrossRef]
- Kim, I.; Kim, K.; Oh, Y.; Woo, K.; Cao, G.Z.; Jeong, S.; Moon, J. Bandgap-graded Cu2Zn(Sn1−xGex)S4 thin-film solar cells derived from metal chalcogenide complex ligand capped nanocrystals. Chem. Mater. 2014, 26, 3957–3965. [Google Scholar] [CrossRef]
- Li, W.; Liu, X.L.; Cui, H.T.; Huang, S.J.; Hao, X.J. The role of Ag in (Ag,Cu)2ZnSnS4 thin film for solar cell application. J. Alloy. Compd. 2015, 625, 277–283. [Google Scholar] [CrossRef]
- Yang, Y.C.; Kang, X.J.; Huang, L.J.; Wei, S.; Pan, D.C. A general water-based precursor solution approach to deposit earth abundant Cu2ZnSn(S,Se)4 thin film solar cells. J. Power Sources 2016, 313, 15–20. [Google Scholar] [CrossRef]
- Nagaoka, A.; Scarpulla, M.A.; Yoshino, K. Na-doped Cu2ZnSnS4 single crystal grown by traveling-heater method. J. Cryst. Growth 2016, 453, 119–123. [Google Scholar] [CrossRef]
- Hages, C.J.; Levcenco, S.; Miskin, C.K.; Alsmeier, J.H.; Abou-Ras, D.; Wilks, R.G.; Bar, M.; Unold, T.; Agrawal, R. Improved Performance of Ge-Alloyed CZTGeSSe Thin-Film Solar Cells through Control of Elemental Losses. Prog. Photovolt. 2015, 23, 376–384. [Google Scholar] [CrossRef]
- Lokhande, A.C.; Gurav, K.V.; Jo, E.J.; Lokhande, C.D.; Kim, J.H. Chemical synthesis of Cu2SnS3 (CTS) nanoparticles: A status review. J. Alloy. Compd. 2016, 656, 295–310. [Google Scholar] [CrossRef]
- He, W.J.; Sui, Y.R.; Zeng, F.C.; Wang, Z.W.; Wang, F.Y.; Yao, B.; Yang, L.L. Enhancing the Performance of Aqueous Solution-Processed Cu2ZnSn(S,Se)4 Photovoltaic Materials by Mn2+ Substitution. Nanomaterials 2020, 10, 1250. [Google Scholar] [CrossRef]
- Xin, H.; Katahara, J.K.; Braly, I.L.; Hillhouse, H.W. 8% Efficient Cu2ZnSn(S,Se)4 Solar Cells from Redox Equilibrated Simple Precursors in DMSO. Adv. Energy Mater. 2014, 4, 1301823. [Google Scholar] [CrossRef]
- Duan, H.; Yang, W.; Bob, B.; Hsu, C.; Lei, B.; Yang, Y. The Role of Sulfur in Solution-Processed Cu2ZnSn(S,Se)4 and Its Effect on Defect Properties. Adv. Funct. Mater. 2013, 23, 1466–1471. [Google Scholar] [CrossRef]
- Todorov, T.; Reuter, K.; Mitzi, D. High-Efficiency Solar Cell with Earth-Abundant Liquid-Processed Absorber. Adv. Mater. 2010, 22, E156–E159. [Google Scholar] [CrossRef]
- Wei, Y.W.; Zhuang, D.M.; Zhao, M.; Gong, Q.M.; Sun, R.J.; Ren, G.A.; Wu, Y.X.; Zhang, L.; Lyu, X.Y.; Peng, X.; et al. An investigation on the relationship between open circuit voltage and grain size for CZTSSe thin film solar cells fabricated by selenization of sputtered precursors. J. Alloy. Compd. 2019, 773, 689–697. [Google Scholar] [CrossRef]
- Lokhandea, A.C.; Chalapathya, R.B.V.; Janga, J.S.; Babara, P.T.; Ganga, M.G.; Lokhandeb, C.D.; Kima, J.H. Fabrication of pulsed laser deposited Ge doped CZTSSe thin film based solar cells: Influence of selenization treatment. Sol. Energy Mater. Sol. Cells 2017, 161, 355–367. [Google Scholar] [CrossRef]
- Sardashti, K.; Haight, R.; Gokmen, T.; Wang, W.; Chang, L.Y.; Mitzi, D.B.; Kummel, A.C. Impact of Nanoscale Elemental Distribution in High-Performance Kesterite Solar Cells. Adv. Energy Mater. 2015, 5, 9. [Google Scholar] [CrossRef]
- Jo, E.; Gang, M.G.; Shim, H.; Suryawanshi, M.P.; Ghorpade, U.V.; Kim, J.H. 8% Efficiency Cu2ZnSn(S,Se)(4) (CZTSSe) Thin Film Solar Cells on Flexible and Lightweight Molybdenum Foil Substrates. ACS Appl. Mater. Interfaces 2019, 11, 23118–23124. [Google Scholar] [CrossRef] [PubMed]
- Zhang, Y.B.; Sun, X.D.; Zhang, P.H.; Yuan, X.; Huang, F.Q.; Zhang, W.Q. Structural properties and quasiparticle band structures of Cu-based quaternary semiconductors for photovoltaic applications. J. Appl. Phys. 2012, 111, 063709. [Google Scholar] [CrossRef]
- Chen, S.Y.; Gong, X.G.; Walsh, A.; Wei, S.H. Electronic structure and stability of quaternary chalcogenide semiconductors derived from cation cross-substitution of II-VI and I-III-VI2 compounds. Phys. Rev. B 2009, 79, 165211. [Google Scholar] [CrossRef]
- Liu, K.; Yao, B.; Li, Y.; Ding, Z.; Sun, H.; Jiang, Y.; Wang, G.; Pan, D. A versatile strategy for fabricating various Cu2ZnSnS4 precursor solutions. J. Mater. Chem. C 2017, 5, 3035. [Google Scholar] [CrossRef]
- Zeng, F.C.; Sui, Y.R.; Wu, Y.J.; Jiang, D.Y.; Wang, Z.W.; Wang, F.Y.; Yao, B.; Yang, L.L. Structural, optical and electrical properties of indium doped Cu2ZnSn(S,Se)(4) thin films synthesized by the DC and RF reactive magnetron cosputtering. Ceram. Int. 2021, 47, 18376–18384. [Google Scholar] [CrossRef]
- Calderón, C.; Gordillo, G.; Becerra, R.; Bartolo-Pérez, P. XPS analysis and characterization of thin films Cu2ZnSnS4 grown using a novel solution based route. Mater. Sci. Semicond. Process. 2015, 39, 492–498. [Google Scholar] [CrossRef]
- Tsega, M.; Dejene, F.B.; Kuo, D.H. Morphological evolution and structural properties of Cu2ZnSn(S,Se)4 thin films deposited from single ceramic target by a one-step sputtering process and selenization without H2Se. J. Alloy. Compd. 2015, 642, 140–147. [Google Scholar] [CrossRef]
- Kumar, R.S.; Ramakrishnan, S.; Prabhakaran, S.; Kim, R.; Kumar, D.R.; Kim, D.H.; Yoo, D.J. Structural, electronic, and electrocatalytic evaluation of spinel transition metal sulfide supported reduced graphene oxide. J. Mater. Chem. A 2022, 10, 1999–2011. [Google Scholar] [CrossRef]
- Guan, X.; Ge, X.; Wang, C.; Wang, F.Y.; Liu, X.Y.; Cao, J.; Fan, L.; Yang, L.L. Effects of Mn, Cl co-doping on the structure and photoluminescence properties of novel walnut-shape MAPb0.95Mn0.05I3-xClx films. Ceram. Int. 2019, 45, 468–473. [Google Scholar] [CrossRef]
- Liu, W.C.; Guo, B.L.; Wu, X.S.; Zhang, F.M.; Mak, C.L.; Wong, K.H. Facile hydrothermal synthesis of hydrotropic Cu2ZnSnS4 nanocrystal quantum dots: Band-gap engineering and phonon confinement effect. J. Mater. Chem. A. 2013, 1, 3182–3186. [Google Scholar] [CrossRef]
- Li, J.J.; Huang, Y.C.; Huang, J.L.; Liang, G.X.; Zhang, Y.X.; Rey, G.; Guo, F.; Su, Z.H.; Zhu, H.B.; Cai, L.L.; et al. Defect Control for 12.5% Efficiency Cu2ZnSnSe4 Kesterite Thin-Film Solar Cells by Engineering of Local Chemical Environment. Adv. Mater. 2020, 32, 9. [Google Scholar] [CrossRef] [PubMed]
- Bag, S.; Gunawan, O.; Gokmen, T.; Zhu, Y.; Mitzi, D.B. Hydrazine-Processed Ge-Substituted CZTSe Solar Cells. Chem. Mat. 2012, 24, 4588–4593. [Google Scholar] [CrossRef]
- Liu, W.C.; Li, A.D.; Mak, C.L.; Wong, K.H. Fabrication and electro-optic properties of ferroelectric nanocrystal/polymer composite films. J. Phys. Chem. C 2008, 112, 14202–14208. [Google Scholar] [CrossRef]
- Park, J.; Yoo, H.; Karade, V.; Gour, K.S.; Choi, E.; Kim, M.; Hao, X.J.; Shin, S.J.; Kim, J.; Shim, H.; et al. Investigation of low intensity light performances of kesterite CZTSe, CZTSSe, and CZTS thin film solar cells for indoor applications. J. Mater. Chem. A. 2020, 8, 14538–14544. [Google Scholar] [CrossRef]
- Zhou, H.; Song, T.; Hsu, W.; Luo, S.; Ye, S.; Duan, H.; Hsu, C.; Yang, W.; Yang, Y. Rational Defect Passivation of Cu2ZnSn(S,Se)4 Photovoltaics with Solution-Processed Cu2ZnSnS4:Na Nanocrystals. J. Am. Chem. Soc. 2013, 135, 15998–16001. [Google Scholar] [CrossRef]
- Laemmle, A.; Wuerz, R.; Powalla, M. Efficiency Enhancement of Cu(In,Ga)Se2 Thin-Film Solar Cells by a Post-Deposition Treatment with Potassium Fluoride. Phys. Status. Solidi RRL 2013, 7, 631–634. [Google Scholar] [CrossRef]
- Sun, Y.L.; Qiu, P.F.; Yu, W.; Li, J.J.; Guo, H.L.; Wu, L.; Luo, H.; Meng, R.T.; Zhang, Y.; Liu, S.Z. N-Type Surface Design for p-Type CZTSSe Thin Film to Attain High Efficiency. Adv. Mater. 2021, 33, 11. [Google Scholar] [CrossRef]
- Kumar, G.G.; Balanay, M.P.; Nirmala, R.; Kim, D.H.; Kumar, T.R.; Senthilkumar, N.; Kim, A.R.; Yoo, D.J. The Photovoltaic Performances of PVdF-HFP Electrospun Membranes Employed Quasi-Solid-State Dye Sensitized Solar Cells. J. Nanosci. Nanotechnol. 2016, 16, 581–587. [Google Scholar] [CrossRef]
- He, M.R.; Zhang, X.; Huang, J.L.; Li, J.J.; Yan, C.; Kim, J.; Chen, Y.S.; Yang, L.M.; Cairney, J.M.; Zhang, Y.; et al. Efficiency Cu2ZnSn(S,Se)(4) Solar Cells with Shallow Li-Zn Acceptor Defects Enabled by Solution-Based Li Post-Deposition Treatment. Adv. Energy Mater. 2021, 11, 8. [Google Scholar] [CrossRef]
- Emrani, A.; Vasekar, P.; Westgate, C.R. Effects of sulfurization temperature on CZTS thin film solar cell performances. Sol. Energy. 2013, 98, 335–340. [Google Scholar] [CrossRef]









| Temperature (°C) | Cu (at%) | Mn (at%) | Zn (at%) | Sn (at%) | S (at%) | Se (at%) | Se/(S + Se) | Cu/(Zn + Mn + Sn) | Mn/(Mn + Zn) |
|---|---|---|---|---|---|---|---|---|---|
| 500 | 23.87 | 1.23 | 11.35 | 14.46 | 2.78 | 46.32 | 0.94 | 0.88 | 0.08 |
| 520 | 23.44 | 0.96 | 11.43 | 14.37 | 2.73 | 46.87 | 0.95 | 0.87 | 0.07 |
| 540 | 23.57 | 1.11 | 11.40 | 14.47 | 2.57 | 46.89 | 0.95 | 0.87 | 0.07 |
| 560 | 23.76 | 1.01 | 10.96 | 15.86 | 2.07 | 47.34 | 0.96 | 0.85 | 0.06 |
| Temperature (°C) | p (Ω·cm) | n (cm−3) | μ (cm−2V−1s−1) | Conduction Type |
|---|---|---|---|---|
| 500 | 4.89 × 102 | 2.95 × 1015 | 4.35 | p |
| 520 | 2.89 × 102 | 5.58 × 1015 | 3.99 | p |
| 540 | 3.74 × 101 | 6.97 × 1016 | 1.93 | p |
| 560 | 2.19 × 102 | 7.53 × 1015 | 3.90 | p |
| Temperature (°C) | Active area (cm2) | VOC (mV) | JSC (mA/cm2) | FF (%) | PCE (%) |
|---|---|---|---|---|---|
| 500 | 0.19 cm2 | 173 | 13.82 | 29.20 | 0.70 |
| 520 | 0.19 cm2 | 304 | 21.11 | 31.62 | 2.03 |
| 540 | 0.19 cm2 | 334 | 23.46 | 39.30 | 3.08 |
| 560 | 0.19 cm2 | 315 | 21.67 | 33.40 | 2.24 |
Publisher’s Note: MDPI stays neutral with regard to jurisdictional claims in published maps and institutional affiliations. |
© 2022 by the authors. Licensee MDPI, Basel, Switzerland. This article is an open access article distributed under the terms and conditions of the Creative Commons Attribution (CC BY) license (https://creativecommons.org/licenses/by/4.0/).
Share and Cite
Wang, Z.; Sui, Y.; Ma, M.; Wang, T. Optimization of the Selenization Temperature on the Mn-Substituted Cu2ZnSn(S,Se)4 Thin Films and Its Impact on the Performance of Solar Cells. Nanomaterials 2022, 12, 3994. https://doi.org/10.3390/nano12223994
Wang Z, Sui Y, Ma M, Wang T. Optimization of the Selenization Temperature on the Mn-Substituted Cu2ZnSn(S,Se)4 Thin Films and Its Impact on the Performance of Solar Cells. Nanomaterials. 2022; 12(22):3994. https://doi.org/10.3390/nano12223994
Chicago/Turabian StyleWang, Zhanwu, Yingrui Sui, Meiling Ma, and Tianyue Wang. 2022. "Optimization of the Selenization Temperature on the Mn-Substituted Cu2ZnSn(S,Se)4 Thin Films and Its Impact on the Performance of Solar Cells" Nanomaterials 12, no. 22: 3994. https://doi.org/10.3390/nano12223994
APA StyleWang, Z., Sui, Y., Ma, M., & Wang, T. (2022). Optimization of the Selenization Temperature on the Mn-Substituted Cu2ZnSn(S,Se)4 Thin Films and Its Impact on the Performance of Solar Cells. Nanomaterials, 12(22), 3994. https://doi.org/10.3390/nano12223994
