Effects of Heavy Ion Irradiation on the Thermoelectric Properties of In2(Te1−xSex)3 Thin Films
Abstract
1. Introduction
2. Materials and Methods
3. Results and Discussion
3.1. Microstructural Analysis
3.2. Morphological Studies
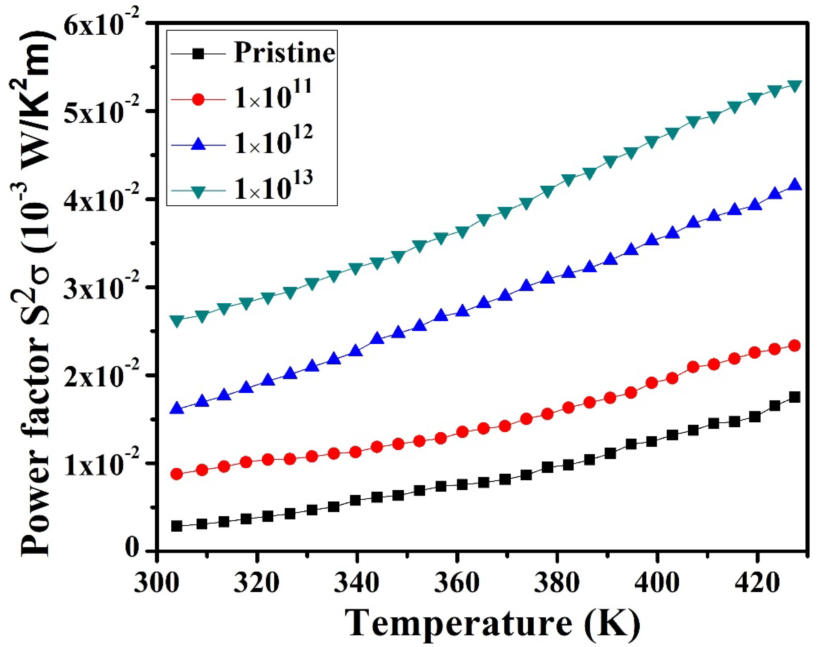
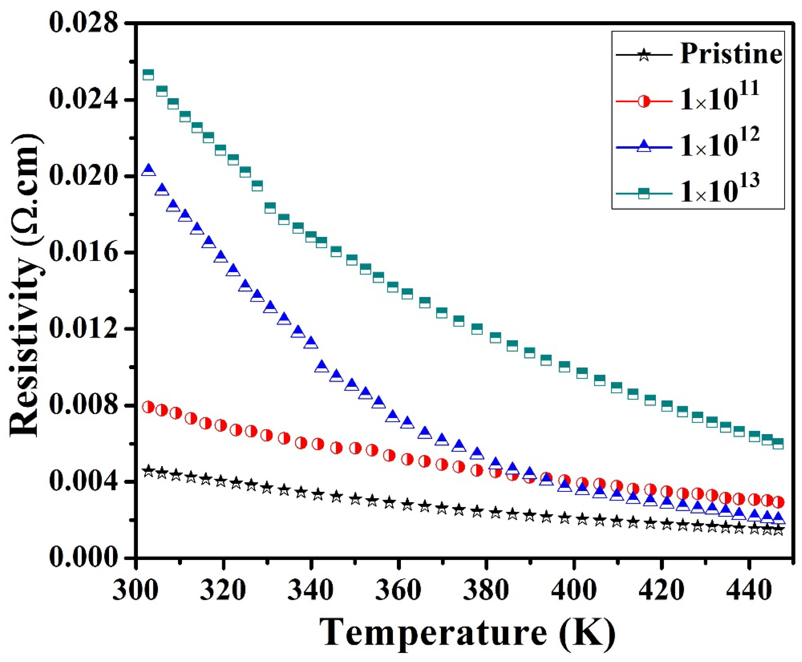
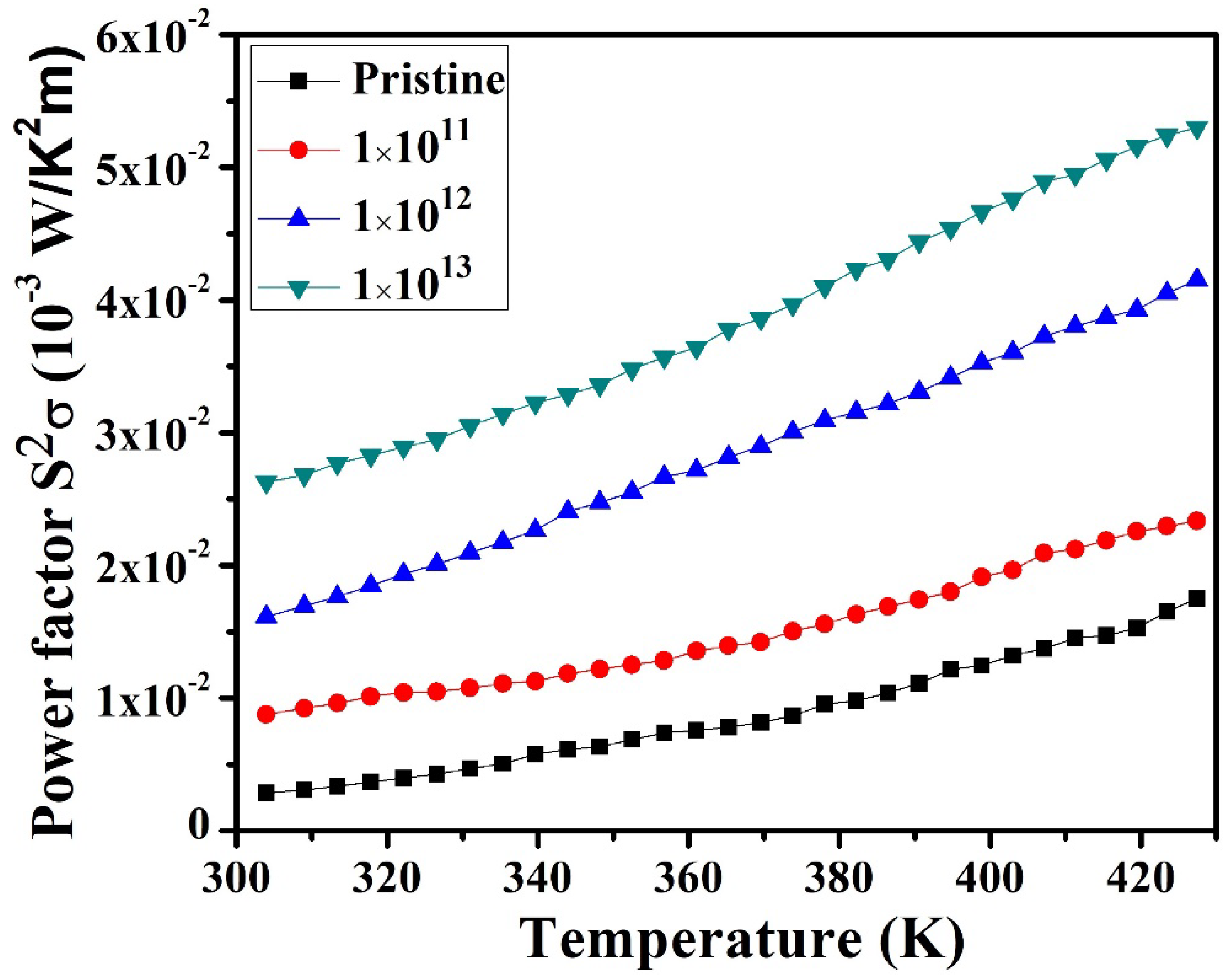
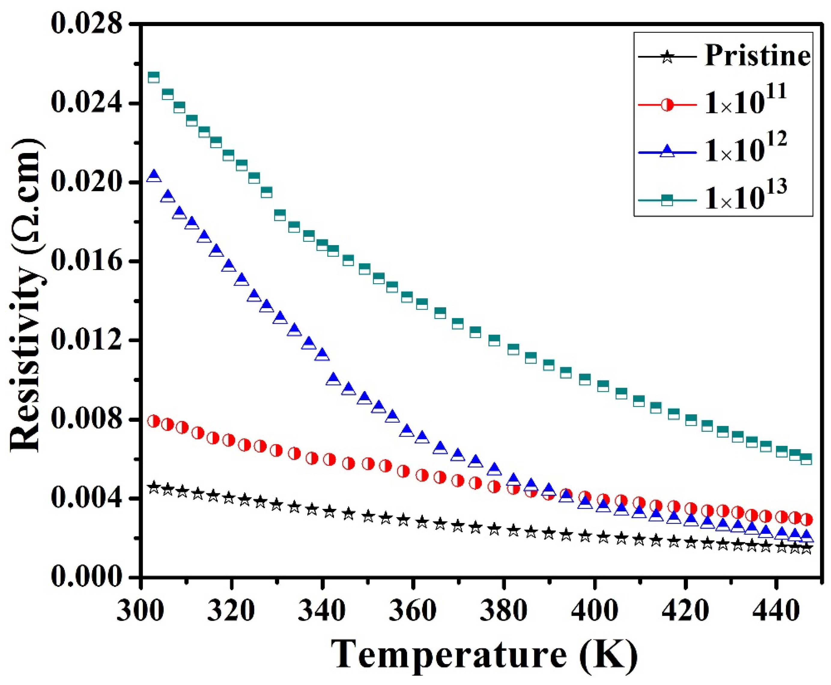
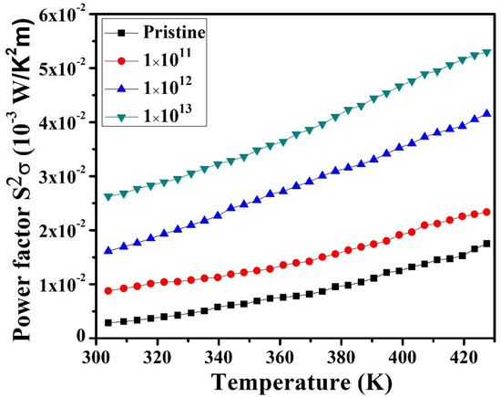
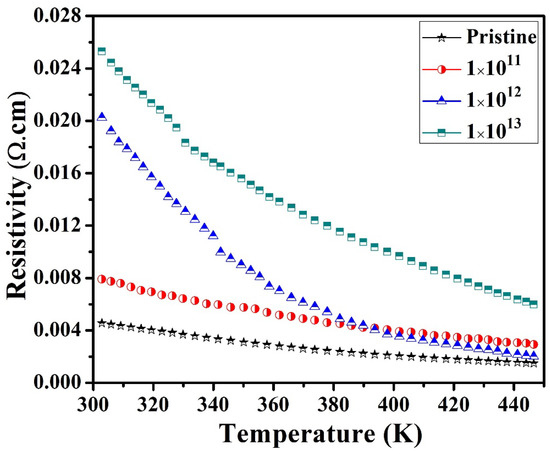
3.3. Measurement of Seebeck Coefficient (S) and Electrical Resistivity
4. Conclusions
Author Contributions
Funding
Data Availability Statement
Acknowledgments
Conflicts of Interest
References
- Alam, H.; Ramakrishna, S. A review on the enhancement of figure of merit from bulk to nano-thermoelectric materials. Nano Ener. 2013, 2, 190–212. [Google Scholar] [CrossRef]
 - Kraemer, D.; Poudel, B.; Feng, H.P.; Caylor, J.C.; Yu, B.; Yan, X.; Ma, Y.; Wang, X.; Wang, D.; Muto, A.; et al. High-performance flat-panel solar thermoelectric generators with high thermal concentration. Nat. Mater. 2011, 10, 532–538. [Google Scholar] [CrossRef]
 - Sun, Z.-W.; Cheng, K.-W.; Lin, S.-W.; Ranganayakulu, V.K.; Chen, Y.-Y.; Chiu, S.-J.; Lee, T.-W.; Wu, A.T. Stoichiometric Effect of Sb2Te3 Thin Film on Thermoelectric Property. ACS Appl. Energy Mater. 2022, 5, 7026–7033. [Google Scholar] [CrossRef]
 - Snyder, G.J.; Toberer, E.S. Complex thermoelectric materials. Nature. Mater. 2008, 7, 105–114. [Google Scholar] [CrossRef] [PubMed]
 - Kim, H.J.; van Quang, N.; Nguyen, T.H.; Kim, S.; Lee, Y.; Lee, I.H.; Cho, S.; Seong, M.; Kim, K.; Chang, Y.J. Tuning of Thermoelectric Properties of MoSe2 Thin Films Under Helium Ion Irradiation. Nanoscale Res. Lett. 2022, 17, 26. [Google Scholar] [CrossRef]
 - Rao, D.; Chowdhury, O.; Pillai, A.I.K.; Pradhan, G.K.; Sahoo, S.; Feser, J.P.; Garbrecht, M.; Saha, B. Multifunctional Irradiation-Induced Defects for Enhancing Thermoelectric Properties of Scandium Nitride Thin Films. ACS Appl. Energy Mater. 2022, 5, 6847–6854. [Google Scholar] [CrossRef]
 - Han, C.; Sun, Q.; Li, Z.; Dou, S.X. Thermoelectric Enhancement of Different Kinds of Metal Chalcogenides. Adv. Energy Mater. 2016, 6, 1600498. [Google Scholar] [CrossRef]
 - Dhama, P.; Kumar, A.; Banerji, P. Combined effects of indium nanoinclusion and Se-deficiency on thermoelectric performance of n-type indium selenide. J. Alloys Compd. 2022, 901, 163653. [Google Scholar] [CrossRef]
 - Masarrat, A.; Bhogra, A.; Meena, R.; Bala, M.; Singh, R.; Barwal, V.; Dong, C.-L.; Chen, C.-L.; Som, T.; Kumar, A.; et al. Effect of Fe ion implantation on the thermoelectric properties and electronic structures of CoSb3 thin films. RSC Adv. 2019, 9, 36113–36122. [Google Scholar] [CrossRef]
 - Bala, M.; Pannu, C.; Gupta, S.; Tripathi, T.S.; Tripathi, S.K.; Asokan, K.; Avasthi, D.K. Phase evolution and electrical properties of Co-Sb alloy fabricated from Co/Sb bilayers by thermal annealing and ion beam mixing. Phys. Chem. Chem. Phys. 2015, 17, 24427–24437. [Google Scholar] [CrossRef]
 - Bhogra, A.; Masarrat, A.; Meena, R.; Hasina, D.; Bala, M.; Dong, C.L.; Chen, C.L.; Som, T.; Kumar, A.; Kandasami, A. Tuning the electrical and thermoelectric properties of n ion implanted SrTiO3 thin films and their conduction Mechanisms. Sci. Rep. 2019, 9, 14486. [Google Scholar] [CrossRef] [PubMed]
 - Newman, P.C. Ordering in AIII 2BVI 3 compounds. J. Phys. Chem. Solids. 1962, 23, 19–23. [Google Scholar] [CrossRef]
 - Desai, R.R.; Lakshminarayana, D.; Patel, P.B.; Patel, P.K.; Panchal, C.J. Growth and structural properties of indium sesquitelluride (In2Te3) thin films. Mater. Chem.Phys. 2005, 94, 308–314. [Google Scholar] [CrossRef]
 - Sreeram, A.N.; Varshneya, A.K.; Swiler, D.R. Microhardness and indentation toughness versus average coordination number in isostructural chalcogenide glass systems. J. Non-Cryst. Solids 1991, 130, 225–235. [Google Scholar] [CrossRef]
 - Volovichev, I.N.; Gurevich, Y.G.; Koshkin, V.M. Micro onics, Reliable rectifiers and photovoltaic converters for high levels of ionizing irradiation. Microelectronics. J. 1998, 29, 535–542. [Google Scholar] [CrossRef]
 - Gupta, A. Swift heavy ion-induced modification of metallic thin films and multilayers. Vacuum 2000, 58, 16–32. [Google Scholar] [CrossRef]
 - Lang, M.; Djurabekova, F.; Medvedev, N.; Toulemonde, M.; Trautmann, C. Fundamental Phenomena and Applications of Swift Heavy Ion Irradiations. In Comprehensive Nuclear Materials, 2nd ed.; Konings, R.J.M., Stoller, R.E., Eds.; Elsevier: Oxford, UK, 2020; pp. 485–516. [Google Scholar]
 - Avasthi, D.K.; Mehta, G.K. Swift Heavy Ions for Materials Engineering and Nanostructuring, 1st ed.; Springer: Berlin, Germany, 2011. [Google Scholar]
 - Chien, C.H.; Lee, P.C.; Tsai, W.H.; Lin, C.H.; Lee, C.H.; Chen, Y.Y. In-Situ Observation of Size and Irradiation Effects on Thermoelectric Properties of Bi-Sb-Te Nanowire in FIB Trimming. Sci. Rep. 2016, 6, 23672. [Google Scholar] [CrossRef]
 - Ma, L.; Dong, C.; Li, W.; Xie, E.; Lan, W. Heavy-ion irradiation assisted modification of p-type transparent CuAlO2 films: Electrical, optical and thermoelectric properties. Vacuum 2021, 193, 110498. [Google Scholar] [CrossRef]
 - Kumar, V.; Gupta, R.; Chauhan, V.; Ram, J.; Singh, P.; Prasad, M.; Mehra, R.; Kumar, R. High-energy 120 MeV Au9+ ion beam-induced modifications and evaluation of craters in surface morphology of SnO2 and TiO2 nanocomposite thin films. Appl. Nanosci. 2019, 9, 1265–1280. [Google Scholar] [CrossRef]
 - Wang, Z.G.; Dufour, C.; Paumier, E.; Toulemonde, M. The Se sensitivity of metals under swift-heavy-ion irradiation: A transient thermal process. J. Phys. Condens. Matter. 1994, 6, 6733–6750. [Google Scholar] [CrossRef]
 - Zara, A.; Indra, S.; Asokan, K.; Lekha, N. Swift Heavy Ion-Induced Reactivity and Surface Modifications in Indium Thin Films. ACS Omega 2022, 7, 31869–31876. [Google Scholar]
 - Pandian, M.; Matheswaran, P.; Gokul, B.; Sathyamoorthy, R.; Meena, R.; Asokan, K. Structural and thermoelectric properties of Se doped In2Te3 thin films. AIP Adv. 2018, 8, 115015. [Google Scholar]
 - Tripathi, T.S.; Bala, M.; Asokan, K. An experimental setup for the simultaneous measurement of thermoelectric power of two samples from 77 K to 500 K. Rev. Sci. Instrum. 2014, 85, 085115. [Google Scholar] [CrossRef] [PubMed]
 - Matheswaran, P.; Sathyamoorthy, R.; Saravanakumar, R.; Velumani, S. AC and dielectric properties of vacuum evaporated InTe bilayer thin films. Mater. Sci. Eng. B 2010, 174, 269–272. [Google Scholar] [CrossRef]
 - Niranjan, R.; Padha, N. Growth of γ-In2Se3 monolayer from multifaceted InxSey thin films via annealing and study of its physical properties. Mater. Chem. Phys. 2021, 257, 123823. [Google Scholar] [CrossRef]
 - Guettari, N.; Amory, C.; Morsli, M.; Bern_ede, J.C.; Khelil, A. InxTey semiconductor thin films obtained by co-evaporation. Thin Solid Films 2003, 431–432, 497–501. [Google Scholar] [CrossRef]
 - Pandian, M.; Matheswaran, P.; Gokul, B.; Sathyamoorthy, R.; Asokan, K. Preparation and Characterization of Indium Chalcogenide Thin Films: A material for phase change memory. Appl. Surf. Sci. 2018, 449, 55–67. [Google Scholar] [CrossRef]
 - Bose, D.N.; De Purkayastha, S. Dielectric and photoconducting properties of Ga2Te3 and In2Te3 crystals. Mat. Res. Bull. 1981, 16, 635–642. [Google Scholar] [CrossRef]
 - Riede, V.; Neumann, H.; Sobotta, H.; Miedema, A.R. Infrared optical properties of InTe InTe. Solid State Commun. 1981, 38, 71–73. [Google Scholar] [CrossRef]
 - Rousina, R.; Shivakumar, G.K. Electron diffraction study of vacuumm deposited In2Te3 thin films. Surf. Coat. Technol. 1989, 38, 353–358. [Google Scholar] [CrossRef]
 - Bringa, E.M.; Johnson, R.E. Coulomb Explosion and Thermal Spikes. Phys. Rev. Lett. 2002, 88, 165501. [Google Scholar] [CrossRef] [PubMed]
 - Panda, R.; Panda, M.; Rath, H.; Dash, B.N.; Asokan, K.; Singh, U.P.; Naik, R.; Mishra, N.C. Structural and morphological modifications of AgInSe2 and Ag2Se composite thin films on 140 MeV Ni ion irradiation. Appl. Surf. Sci. 2019, 479, 997–1005. [Google Scholar] [CrossRef]
 - Zhang, K.; Hu, Z.; Li, F.; Wei, B. Viscous surface flow induced on Ti-based bulk metallic glass by heavy ion irradiation. Appl. Surf. Sci. 2016, 390, 941–945. [Google Scholar] [CrossRef]
 - Wu, H.; Carrete, J.; Zhang, Z.; Qu, Y.; Shen, X.; Wang, Z.; Zhao, L.D.; He, J.Q. Strong Enhancement of Phonon Scattering through Nanoscale Grains in Lead Sulfide Thermoelectrics. NPG Asia Mater. 2014, 6, 108. [Google Scholar] [CrossRef]
 - Poudel, B.; Hao, Q.; Ma, Y.; Lan, Y.; Minnich, A.; Yu, B.; Yan, X.; Wang, D.; Muto, A.; Vashaee, D.; et al. High-thermoelectric performance of nanostructured bismuth antimony telluride bulk alloys. Science 2008, 320, 634–638. [Google Scholar] [CrossRef]
 - Sanyal, I.; Chattopadhyay, K.K.; Chaudhuri, S.; Pal, A.K. Grain boundary scattering in CuInSe2 films. J. Appl. Phys. 1991, 70, 841. [Google Scholar] [CrossRef]
 - Priyadarshini, P.; Das, S.; Naik, R. A review on metal-doped chalcogenide films and their effect on various optoelectronic properties for different applications. RSC Adv. 2022, 12, 9599–9620. [Google Scholar] [CrossRef]
 - Qiu, Q.; Liu, Y.; Xia, K.; Fang, T.; Yu, J.; Zhao, X.; Zhu, T. Grain Boundary Scattering of Charge Transport in n-Type (Hf, Zr)CoSb Half-Heusler Thermoelectric Materials. Adv. Energy Mater. 2019, 9, 1803447. [Google Scholar] [CrossRef]
 - Biswas, S.; Singh, S.; Singh, S.; Chattopadhyay, S.; de Silva, K.K.H.; Yoshimura, M.; Mitra, J.; Kamble, V.B. Selective Enhancement in Phonon Scattering Leads to a High Thermoelectric Figure-of-Merit in Graphene Oxide-Encapsulated ZnO Nanocomposites. ACS Appl. Mater. Interfaces 2021, 13, 23771–23786. [Google Scholar] [CrossRef]
 









| In2(Te0.98Se0.02)3 | ||||
|---|---|---|---|---|
| Ion | Ion Energy (MeV) | Se (eV/Å) | Range (µm) | |
| Se | Sn | |||
| Nickel | 40 | 934 | 5.05 | 8.49 | 
| 60 | 1027 | 3.65 | 10.49 | |
| 80 | 1074 | 2.88 | 12.37 | |
| 100 | 1097 | 2.40 | 14.20 | |
| 120 | 1110 | 2.06 | 16.00 | |
| 150 | 1117 | 1.72 | 18.68 | |
| In2(Te1−xSex)3 (In: 40%, Te: 58%, Se: 2%)  | Measured Elemental Composition (wt.%) | |||||
|---|---|---|---|---|---|---|
| In | Te | Se | Si | C | O | |
| Pristine | 31.50 | 59.40 | 1.90 | 3.01 | 2.85 | 1.34 | 
| 1E11 1E12  | 31.91 | 58.14 | 1.95 | 3.45 | 3.50 | 1.05 | 
| 31.63 | 58.80 | 1.87 | 3.63 | 3.25 | 0.82 | |
| 1E13 | 31.89 | 58.92 | 1.79 | 3.54 | 3.17 | 0.69 | 
| In2(Te0.98Se0.02)3 | Resistivity (Ω-cm)  | Hall Mobility μH (cm3/V.s)  | Carrier Concentration NH (cm−3) | Hall Coefficient RH (cm3/Coul.)  | 
|---|---|---|---|---|
| Pristine | 0.073 | 317.09 | 1.21 × 1017 | −40.18 | 
| 1E11 | 0.125 | 149.78 | 8.35 × 1017 | −35.54 | 
| 1E12 | 0.155 | 54.20 | 17.24 × 1017 | −21.13 | 
| 1E13 | 0.198 | 23.12 | 39.27 × 1017 | −16.23 | 
Publisher’s Note: MDPI stays neutral with regard to jurisdictional claims in published maps and institutional affiliations.  | 
© 2022 by the authors. Licensee MDPI, Basel, Switzerland. This article is an open access article distributed under the terms and conditions of the Creative Commons Attribution (CC BY) license (https://creativecommons.org/licenses/by/4.0/).
Share and Cite
Pandian, M.; Krishnaprasanth, A.; Palanisamy, M.; Bangaru, G.; Meena, R.; Dong, C.-L.; Kandasami, A. Effects of Heavy Ion Irradiation on the Thermoelectric Properties of In2(Te1−xSex)3 Thin Films. Nanomaterials 2022, 12, 3782. https://doi.org/10.3390/nano12213782
Pandian M, Krishnaprasanth A, Palanisamy M, Bangaru G, Meena R, Dong C-L, Kandasami A. Effects of Heavy Ion Irradiation on the Thermoelectric Properties of In2(Te1−xSex)3 Thin Films. Nanomaterials. 2022; 12(21):3782. https://doi.org/10.3390/nano12213782
Chicago/Turabian StylePandian, Mannu, Alageshwaramoorthy Krishnaprasanth, Matheswaran Palanisamy, Gokul Bangaru, Ramcharan Meena, Chung-Li Dong, and Asokan Kandasami. 2022. "Effects of Heavy Ion Irradiation on the Thermoelectric Properties of In2(Te1−xSex)3 Thin Films" Nanomaterials 12, no. 21: 3782. https://doi.org/10.3390/nano12213782
APA StylePandian, M., Krishnaprasanth, A., Palanisamy, M., Bangaru, G., Meena, R., Dong, C.-L., & Kandasami, A. (2022). Effects of Heavy Ion Irradiation on the Thermoelectric Properties of In2(Te1−xSex)3 Thin Films. Nanomaterials, 12(21), 3782. https://doi.org/10.3390/nano12213782
        
