Fabrication of Nanopore in MoS2-Graphene vdW Heterostructure by Ion Beam Irradiation and the Mechanical Performance
Abstract
:1. Introduction
2. Simulation Models
3. Results and Discussion
3.1. Dynamic Formation Process of Nanopore
3.2. Influence of Ion Irradiation Energy and Dose
3.3. Influence of the Stacking Order
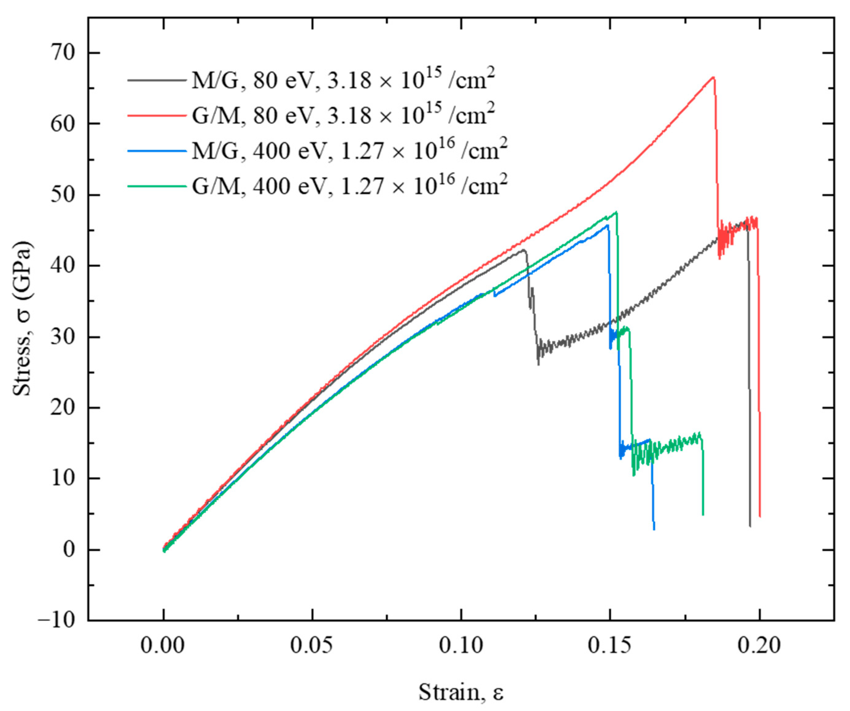
3.4. Mechanical Properties of the As-Obtained Heterostructure Nanopore
4. Conclusions
- (1)
- The nanopore is fabricated by the sputtering of the atoms during ion irradiation. The process is characterized by initial formation of irregular defects. A nanopore with rough edges and dangling molecular chains is then generated, followed by the formation of a good-quality nanopore in the heterostructure.
- (2)
- The optimal ion parameter pair for generating a good-quality nanopore in a G/M heterostructure is 200 eV, 1.27 × 1016 /cm2, while it is 300 eV, 1.27 × 1016 /cm2 for an M/G heterostructure. The difference is induced by the different irradiation tolerances of the graphene and MoS2 layers. For the case of an M/G heterostructure, and with careful control of the irradiation parameters, it is possible to create a nanopore in the MoS2 layer only, while keeping the graphene layer undamaged.
- (3)
- The as-generated nanopore would result in stress concentration around the nanopore in the heterostructure during a stretching process, which leads to the initiation of a crack at a small tensile strain at the nanopore edge. The increase of nanopore size intensifies the stress intensity factor, further reducing the mechanical strength. However, an increase of ion energy and ion dose have limited effect on the mechanical properties of the nanopore structure. By switching the stacking order, the damage sequence of the heterostructure nanopore can be controlled.
Author Contributions
Funding
Institutional Review Board Statement
Informed Consent Statement
Data Availability Statement
Acknowledgments
Conflicts of Interest
References
- Kasianowicz, J.J.; Brandin, D.; Branton, D.W. Deamer. Characterization of individual polynucleotide molecules using a membrane channel. Proc. Natl. Acad. Sci. USA 1996, 93, 13770–13773. [Google Scholar] [CrossRef] [PubMed] [Green Version]
- Burgess, D.J. Expanding applications for nanopore sequencing. Nat. Rev. Genet. 2020, 21, 67. [Google Scholar] [CrossRef] [PubMed]
- Chen, Q.; Liu, Z. Fabrication and applications of solid-state nanopores. Sensors 2019, 19, 1886. [Google Scholar] [CrossRef] [PubMed] [Green Version]
- Wu, X.; Mu, F.; Zhao, H. Synthesis and potential applications of nanoporous graphene: A review. Proc. Nat. Res. Soc. 2018, 2, 1–13. [Google Scholar] [CrossRef]
- Wu, X. Influence of Particle Beam Irradiation on the Structure and Properties of Graphene; Springer Theses; Springer: Singapore, 2017. [Google Scholar]
- Wang, Y.; Yang, Q.; Wang, Z. The evolution of nanopore sequencing. Front. Genet. 2014, 5, 449. [Google Scholar] [CrossRef] [PubMed] [Green Version]
- Arjmandi-Tash, H.; Belyaeva, L.A.; Schneider, G.F. Single molecule detection with graphene and other two-dimensional materials: Nanopores and beyond. Chem. Soc. Rev. 2016, 45, 476–493. [Google Scholar] [CrossRef] [PubMed] [Green Version]
- Wang, Z.; Lv, T.; Shi, Z.; Yang, S.; Gu, Z. Two-dimensional materials as solid-state nanopores for chemical sensing. Dalton. Trans. 2021, 50, 13608–13619. [Google Scholar] [CrossRef] [PubMed]
- Cohen-Tanugi, D.; Grossman, J.C. Water Desalination across Nanoporous Graphene. Nano Lett. 2012, 12, 3602–3608. [Google Scholar] [CrossRef]
- Sint, K.; Wang, B.; Král, P. Selective Ion Passage through Functionalized Graphene Nanopores. J. Am. Chem. Soc. 2008, 130, 16448–16449. [Google Scholar] [CrossRef]
- Yuan, Z.; Rajan, A.G.; He, G.; Misra, R.P.; Strano, M.S.; Blankschtein, D. Predicting Gas Separation through Graphene Nanopore Ensembles with Realistic Pore Size Distributions. ACS Nano 2021, 15, 1727–1740. [Google Scholar] [CrossRef]
- Yuan, W.; Chen, J.; Shi, G. Nanoporous graphene materials. Mater. Today 2014, 17, 77–85. [Google Scholar] [CrossRef]
- Wang, L.; Boutilier, M.S.H.; Kidambi, P.R.; Jang, D.; Hadjiconstantinou, N.G.; Karnik, R. Fundamental transport mechanisms, fabrication and potential applications of nanoporous atomically thin membranes. Nat. Nanotechnol. 2017, 12, 509–522. [Google Scholar] [CrossRef]
- Prozorovska, L.; Kidambi, P.R. State-of-the-Art and Future Prospects for Atomically Thin Membranes from 2D Materials. Adv. Mater. 2018, 30, 1801179. [Google Scholar] [CrossRef] [PubMed]
- Su, S.; Wang, X.; Xue, J. Nanopores in two-dimensional materials: Accurate fabrication. Mater. Horiz. 2021, 8, 1390. [Google Scholar] [CrossRef]
- Macha, M.; Marion, S.; Nandigana, V.V.R.; Radenovic, A. 2D materials as an emerging platform for nanopore-based power generation. Nat. Rev. Mater. 2019, 4, 588–605. [Google Scholar] [CrossRef]
- Kuan, A.T.; Lu, B.; Xie, P.; Szalay, T.; Golovchenko, J.A. Electrical pulse fabrication of graphene nanopores in electrolyte solution. Appl. Phys. Lett. 2015, 106, 203109. [Google Scholar] [CrossRef] [PubMed] [Green Version]
- Schneider, G.F.; Xu, Q.; Hage, S.; Luik, S.; Spoor, J.N.H.; Malladi, S.; Zandbergen, H.; Dekker, C. Tailoring the hydrophobicity of graphene for its use as nanopores for DNA translocation. Nat. Commun. 2013, 4, 2619. [Google Scholar] [CrossRef]
- Wu, X.; Zhao, H.; Yan, D.; Pei, J. Doping of graphene using ion beam irradiation and the atomic mechanism. Comput. Mater. Sci. 2017, 129, 184–193. [Google Scholar] [CrossRef]
- Bai, Z.; Zhang, L.; Li, H.; Liu, L. Creating Nanopores in Graphene by Ion Beam Irradiation: Geometry, Quality, and Efficiency. ACS Appl. Mater. Interfaces 2016, 8, 24803–24809. [Google Scholar] [CrossRef]
- Fu, Y.; Su, S.; Zhang, N.; Wang, Y.; Guo, X.; Xue, J. Dehydration-Determined Ion Selectivity of Graphene Subnanopores. ACS Appl. Mater. Interfaces 2020, 12, 24281–24288. [Google Scholar] [CrossRef] [PubMed]
- Wu, X.; Zhao, H.; Pei, J. Fabrication of nanopore in graphene by electron and ion beam irradiation: Influence of graphene thickness and substrate. Comput. Mater. Sci. 2015, 102, 258–266. [Google Scholar] [CrossRef]
- Steinbock, L.J.; Radenovic, A. The emergence of nanopores in next-generation sequencing. Nanotechnology 2015, 26, 074003. [Google Scholar] [CrossRef] [Green Version]
- Saharia, J.; Nuwan, Y.M.; Bandara, D.Y.; Lee, J.S.; Wang, Q.; Kim, M.J.; Kim, M.J. Fabrication of hexagonal boron nitride based 2D nanopore sensor for the assessment of electro-chemical responsiveness of human serum transferrin protein. Eletrophoresis 2020, 41, 630–637. [Google Scholar] [CrossRef]
- Geim, A.K.; Grigorieva, I.V. Van der Waals heterostructures. Nature 2013, 499, 419–425. [Google Scholar] [CrossRef]
- Luan, B.; Zhou, R. Spontaneous Transport of Single-Stranded DNA through Graphene-MoS2 Heterostructure Nanopores. ACS Nano 2018, 12, 3886–3891. [Google Scholar] [CrossRef] [PubMed]
- Liu, Y.; Deng, Y.; Yang, Y.; Qu, Y.; Zhang, C.; Li, Y.Q.; Zhao, M.; Li, W. Spontaneous DNA translocation through a van der Waals heterostructure nanopore for single-molecule detection. Nanoscale Adv. 2021, 3, 5941. [Google Scholar] [CrossRef]
- Luan, B.; Zhou, R. Single-File Protein Translocations through Graphene-MoS2 Heterostructure Nanopores. J. Phys. Chem. Lett. 2018, 9, 3409–3415. [Google Scholar] [CrossRef] [PubMed]
- Plimpton, S. Fast parallel algorithms for short-range molecular dynamcis. J. Comput. Phys. 1995, 117, 1–19. [Google Scholar] [CrossRef] [Green Version]
- Wu, X.; Zhu, X. Molecular dynamics simulations of ion beam irradiation on graphene/MoS2 heterostructure. Sci. Rep. 2021, 11, 21113. [Google Scholar] [CrossRef]
- Wu, X.; Zhu, X.; Lei, B. Impact of ion beam irradiation on two-dimensional MoS2: A molecular dynamics simulation study. J. Phys. Condens. Matter 2021, 34, 055402. [Google Scholar] [CrossRef]
- Ghorbani-Asl, M.; Kretschmer, S.; Spearot, D.E.; Krasheninnikov, A.V. Two-dimensional MoS2 under ion irradiation: From controlled defect production to electronic structure engineering. 2D Mater. 2017, 4, 025078. [Google Scholar] [CrossRef]
- Aragó, C.; Plaza, J.L.; Marqués, M.I.; Gonzalo, J.A. Low energy argon ion irradiation surface effects on triglycine sulfate. Appl. Surf. Sci. 2013, 280, 858–861. [Google Scholar] [CrossRef]
- Smith, R.A.P.; Smith, G.C.; Weightman, P. Effects of low energy argon ion irradiation on the carbon 1s photoelectron line of highly oriented pyrolytic graphite. J. Electron. Spectrosc. 2006, 152, 152–157. [Google Scholar] [CrossRef]
- Zeigler, J.; Biersack, J.; Littmark, U. The Stopping and Range of Ions in Solids. In Treatise on Heavy-Ion Science; Springer: Boston, MA, USA, 1985; pp. 93–129. [Google Scholar]
- Liang, T.; Phillpot, S.R.; Sinnott, S.B. Parametrization of a reactive many-body potential for Mo–S systems. Phys. Rev. B 2009, 79, 245110. [Google Scholar] [CrossRef]
- Stuart, S.J.; Tutein, A.B.; Harrison, J.A. A reactive potential for hydrocarbons with intermolecular interactions. J. Chem. Phys. 2000, 112, 6472–6486. [Google Scholar] [CrossRef] [Green Version]
- Lennard-Jones, J.E. Cohesion. Proc. Phys. Soc. 1931, 43, 461. [Google Scholar] [CrossRef]
- Wu, S.; Wang, J.; Xie, H.; Guo, Z. Interfacial Thermal Conductance across Graphene/MoS2 van der Waals Heterostructures. Energies 2020, 13, 5851. [Google Scholar] [CrossRef]
- Vazirisereshk, M.R.; Ye, H.; Ye, Z.; Otero-de-la-Roza, A.; Zhao, M.; Gao, Z.; Johnson, A.T.C.; Johnson, E.R.; Carpick, R.W.; Martini, A. Origin of Nanoscale Friction Contrast between Supported Graphene, MoS2, and a Graphene/MoS2 Heterostructure. Nano Lett. 2019, 19, 5496–5505. [Google Scholar] [CrossRef] [PubMed]
- Berendsen, H.J.C.; van Postma, J.; van Gunsteren, W.F.; DiNola, A. Molecular-Dynamics with Coupling to An External Bath. J. Chem. Phys. 1984, 81, 3684. [Google Scholar] [CrossRef] [Green Version]
- Morin, A.; Lucot, D.; Ouerghi, A.; Patriarche, G.; Bourhis, E.; Madouri, A.; Ulysse, C.; Pelta, J.; Auvray, L.; Jede, R.; et al. FIB carving of nanopores into suspended graphene films. Microelectron. Eng. 2012, 97, 311–316. [Google Scholar] [CrossRef]
- Wu, X.; Zhao, H.; Murakawa, H.; Tsukamoto, M. Molecular dynamics simulation of graphene sheets joining under ion beam irradiation. Carbon 2014, 66, 31–38. [Google Scholar] [CrossRef]
- Stukowski, A. Visualization and analysis of atomistic simulation data with OVITO—The Open Visualization Tool Modelling Simul. Mater. Sci. Eng. 2010, 18, 015012. [Google Scholar]
- Humphrey, W.; Dalke, A.; Schulten, K. VMD—Visual Molecular Dynamics. J. Molec. Graph. 1996, 14, 33–38. [Google Scholar] [CrossRef]
- Bellido, E.P.; Seminario, J.M. Molecular Dynamics Simulations of Ion-Bombarded Graphene. J. Phys. Chem. C 2012, 116, 4044–4049. [Google Scholar] [CrossRef]
- Lu, B.; Hoogerheide, D.P.; Zhao, Q.; Zhang, H.; Tang, Z.; Yu, D.; Golovchenko, J.A. Pressure-Controlled Motion of Single Polymers through Solid-State Nanopores. Nano Lett. 2013, 13, 3048–3052. [Google Scholar] [CrossRef] [PubMed] [Green Version]
- Liu, Y.; Chen, X. Mechanical properties of nanoporous graphene membrane. J. Appl. Phys. 2014, 115, 034303. [Google Scholar] [CrossRef]














Publisher’s Note: MDPI stays neutral with regard to jurisdictional claims in published maps and institutional affiliations. |
© 2022 by the authors. Licensee MDPI, Basel, Switzerland. This article is an open access article distributed under the terms and conditions of the Creative Commons Attribution (CC BY) license (https://creativecommons.org/licenses/by/4.0/).
Share and Cite
Wu, X.; Yang, R.; Chen, X.; Liu, W. Fabrication of Nanopore in MoS2-Graphene vdW Heterostructure by Ion Beam Irradiation and the Mechanical Performance. Nanomaterials 2022, 12, 196. https://doi.org/10.3390/nano12020196
Wu X, Yang R, Chen X, Liu W. Fabrication of Nanopore in MoS2-Graphene vdW Heterostructure by Ion Beam Irradiation and the Mechanical Performance. Nanomaterials. 2022; 12(2):196. https://doi.org/10.3390/nano12020196
Chicago/Turabian StyleWu, Xin, Ruxue Yang, Xiyue Chen, and Wei Liu. 2022. "Fabrication of Nanopore in MoS2-Graphene vdW Heterostructure by Ion Beam Irradiation and the Mechanical Performance" Nanomaterials 12, no. 2: 196. https://doi.org/10.3390/nano12020196
APA StyleWu, X., Yang, R., Chen, X., & Liu, W. (2022). Fabrication of Nanopore in MoS2-Graphene vdW Heterostructure by Ion Beam Irradiation and the Mechanical Performance. Nanomaterials, 12(2), 196. https://doi.org/10.3390/nano12020196

