Hierarchical Porous Heteroatoms—Co-Doped Activated Carbon Synthesized from Coconut Shell and Its Application for Supercapacitors
Abstract
1. Introduction
2. Materials and Methods
2.1. Materials
2.2. Preparation of Hierarchical Porous Activated Carbon
2.3. Characterizations
2.4. Electrochemical Properties
3. Results and Discussion
3.1. Characterization of Activated Carbon Materials
3.1.1. Examination of Morphological Properties
3.1.2. Spectroscopic Analysis of Activated Carbon
3.2. Electrical Analysis of Activated Carbon
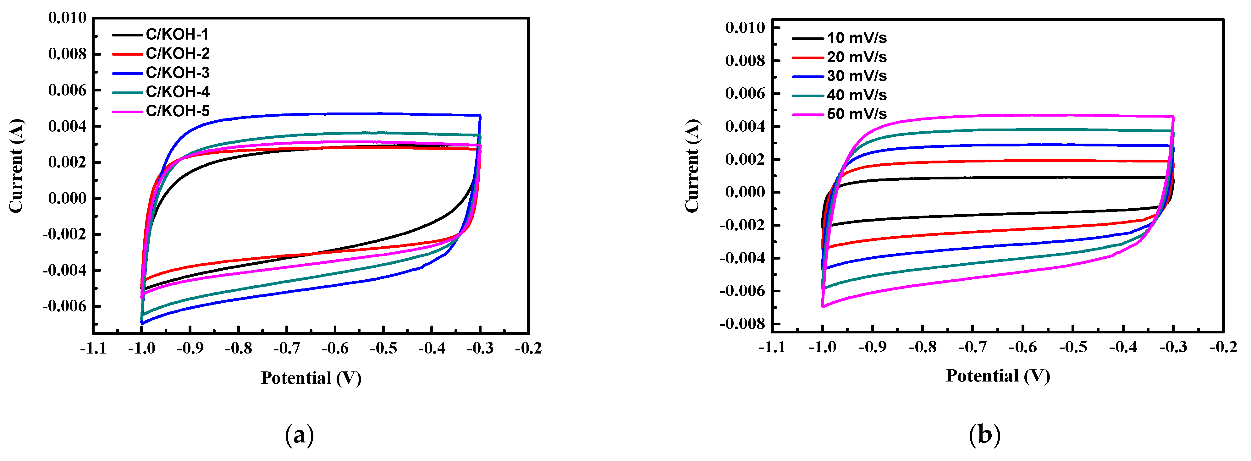
3.2.1. Effect of KOH Weight Ratios
3.2.2. Effect of Ammonium Persulfate as a Dopant Source
3.2.3. Electrical Analysis of Different Activated Carbon Materials
4. Conclusions
Supplementary Materials
Author Contributions
Funding
Institutional Review Board Statement
Informed Consent Statement
Data Availability Statement
Conflicts of Interest
References
- Conway, B.E. Electrochemical Supercapacitors: Scientific Fundamental and Technological Applications; Plenum: New York, NY, USA, 1999. [Google Scholar]
- Wei, L.; Yushin, G. Nanostructured activated carbons from natural precursors for electrical double layer capacitors. Nano Energy 2012, 1, 552–565. [Google Scholar] [CrossRef]
- Peng, C.; Zhang, S.; Jewell, D.; Chen, G.Z. Carbon nanotube and conducting polymer composites for supercapacitors. Prog. Nat. Sci. 2008, 18, 777–788. [Google Scholar] [CrossRef]
- Augustyn, V.; Simon, P.; Dunn, B. Pseudocapacitive oxide materials for high-rate electrochemical energy storage. Energy Environ. Sci. 2014, 7, 1597–1614. [Google Scholar] [CrossRef]
- Sun, Y.; Zhang, W.; Li, D.; Gao, L.; Hou, C.; Zhang, Y.; Liu, Y. Facile synthesis of MnO2/rGO/Ni composite foam with excellent pseudocapacitive behavior for supercapacitors. J. Alloys Compd. 2015, 649, 579–584. [Google Scholar] [CrossRef]
- Huang, M.-J.; Chen, W.-H.; Cheng, C.; Chen, S.-R.; Lin, J.-Y.; Yang, C.-R. Integration of RuO2/conductive fiber composites within carbonized micro-electrode array for supercapacitors. J. Alloys Compd. 2021, 869, 159300. [Google Scholar] [CrossRef]
- Pang, H.; Li, X.; Zhao, Q.; Xue, H.; Lai, W.-Y.; Hu, Z.; Huang, W. One-pot synthesis of heterogeneous Co3O4-nanocube/Co(OH)2-nanosheet hybrids for high-performance flexible asymmetric all-solid-state supercapacitors. Nano Energy 2017, 35, 138–145. [Google Scholar] [CrossRef]
- Chen, H.; Zeng, S.; Chen, M.; Zhang, Y.; Zheng, L.; Li, Q. Oxygen evolution assisted fabrication of highly loaded carbon nanotube/MnO2 hybrid films for high-performance flexible pseudosupercapacitors. Small 2016, 12, 2035–2045. [Google Scholar] [CrossRef]
- Cui, X.; Hu, F.; Wei, W.; Chen, W. Dense and long carbon nanotube arrays decorated with Mn3O4 nanoparticles for electrodes of electrochemical supercapacitors. Carbon 2011, 49, 1225–1234. [Google Scholar] [CrossRef]
- Liu, M.; Wang, X.; Zhu, D.; Li, L.; Duan, H.; Xu, Z.; Wang, Z.; Gan, L. Encapsulation of NiO nanoparticles in mesoporous carbon nanospheres for advanced energy storage. Chem. Eng. J. 2017, 308, 240–247. [Google Scholar] [CrossRef]
- Rani, M.U.; Naresh, V.; Damodar, D.; Muduli, S.; Martha, S.K.; Deshpande, A.S. In-situ formation of mesoporous SnO2@C nanocomposite electrode for supercapacitors. Electrochim. Acta 2021, 365, 137284. [Google Scholar] [CrossRef]
- Seetharaman, A.; Kandasamy, M.; Manivannan, S.; Jothivenkatachalam, K.; Subramani, K.; Pandikumar, A.; Sathish, M.; Soma, V.R.; Sivasubramanian, D.; Chakraborty, B. TiO2/Carbon allotrope nanohybrids for supercapacitor application with theoretical insights from density functional theory. Appl. Surf. Sci. 2021, 563, 150259. [Google Scholar] [CrossRef]
- Liu, M.; Gan, L.; Xiong, W.; Xu, Z.; Zhu, D.; Chen, L. Development of MnO2/porous carbon microspheres with a partially graphitic structure for high performance supercapacitor electrodes. J. Mater. Chem. A 2014, 2, 2555–2562. [Google Scholar] [CrossRef]
- Karaphun, A.; Phrompet, C.; Tuichai, W.; Chanlek, N.; Sriwong, C.; Ruttanapun, C. The influence of annealing on a large specific surface area and enhancing electrochemical properties of reduced graphene oxide to improve the performance of the active electrode of supercapacitor devices. Mater. Sci. Eng. B 2021, 264, 114941. [Google Scholar] [CrossRef]
- Rahimi, M.; Abbaspour-Fard, M.H.; Rohani, A. A multi-data-driven procedure towards a comprehensive understanding of the activated carbon electrodes performance (using for supercapacitor) employing ANN technique. Renew. Energy 2021, 180, 980–992. [Google Scholar] [CrossRef]
- Zhu, S.; Ni, J.; Li, Y. Carbon nanotube-based electrodes for flexible supercapacitors. Nano Res. 2020, 13, 1825–1841. [Google Scholar] [CrossRef]
- Xu, J.; Zhang, R.; Chen, P.; Shen, D.; Ye, X.; Ge, S. Mechanism of formation and electrochemical performance of carbide-derived carbons obtained from different carbides. Carbon 2013, 64, 444–455. [Google Scholar] [CrossRef]
- Halama, A.; Szubzda, B.; Pasciak, G. Carbon aerogels as electrode material for electrical double layer supercapacitors—Synthesis and properties. Electrochim. Acta 2010, 55, 7501–7505. [Google Scholar] [CrossRef]
- Zhai, D.; Li, B.; Du, H.; Gao, G.; Gan, L.; He, Y.; Yang, Q.; Kang, F. The preparation of graphene decorated with manganese dioxide nanoparticles by electrostatic adsorption for use in supercapacitors. Carbon 2012, 50, 5034–5043. [Google Scholar] [CrossRef]
- Li, D.; Chang, G.; Zong, L.; Xue, P.; Wang, Y.; Xia, Y.; Lai, C.; Yang, D. From double-helix structured seaweed to S-doped carbon aerogel with ultra-high surface area for energy storage. Energy Storage Mater. 2019, 17, 22–30. [Google Scholar] [CrossRef]
- Seo, M.K.; Park, S.J. Electrochemical characteristics of activated carbon nanofiber electrodes for supercapacitors. Mater. Sci. Eng. B 2009, 164, 106–111. [Google Scholar] [CrossRef]
- Jain, A.; Ghosh, M.; Krajewski, M.; Kurungot, S.K.; Michalska, M. Biomass-derived activated carbon material from native European deciduous trees as an inexpensive and sustainable energy material for supercapacitor application. J. Energy Storage 2021, 34, 102178. [Google Scholar] [CrossRef]
- Wang, X.; Chen, S.; Li, D.; Sun, S.; Peng, Z.; Komarneni, S.; Yang, D. Direct interfacial growth of MnO2 nanostructure on hierarchically porous carbon for high-performance asymmetric supercapacitors. ACS Sustain. Chem. Eng. 2018, 6, 633–641. [Google Scholar] [CrossRef]
- Zhang, X.; Wang, X.; Su, J.; Wang, X.; Jiang, L.; Wu, H.; Wu, C. The effects of surfactant template concentration on the supercapacitive behaviors of hierarchically porous carbons. J. Power Sources 2012, 199, 402–408. [Google Scholar] [CrossRef]
- Hwang, J.Y.; Li, M.; El-Kady, M.F.; Kaner, R.B. Next-generation activated carbon supercapacitors: A simple step in electrode processing leads to remarkable gains in energy density. Adv. Funct. Mater. 2017, 27, 1605745. [Google Scholar] [CrossRef]
- Yang, W.; Hou, L.; Xu, X.; Li, Z.; Ma, X.; Yang, F.; Li, Y. Carbon nitride template-directed fabrication of nitrogen-rich porous graphene-like carbon for high performance supercapacitors. Carbon 2018, 130, 325–332. [Google Scholar] [CrossRef]
- Wang, D.; Xu, Z.; Lian, Y.; Ban, C.; Zhang, H. Nitrogen self-doped porous carbon with layered structure derived from porcine bladders for high-performance supercapacitors. J. Colloid Interface Sci. 2019, 542, 400–409. [Google Scholar] [CrossRef] [PubMed]
- Li, S.; Han, K.; Li, J.; Li, M.; Lu, C. Preparation and characterization of super activated carbon produced from gulfweed by KOH activation. Microporous Mesoporous Mater. 2017, 243, 291–300. [Google Scholar] [CrossRef]
- Elmouwahidi, A.; Bailón-García, E.; Pérez-Cadenas, A.F.; Maldonado-Hódar, F.J.; Carrasco-Marín, F. Activated carbons from KOH and H3PO4-activation of olive residues and its application as supercapacitor electrodes. Electrochim. Acta 2017, 229, 219–228. [Google Scholar] [CrossRef]
- Guclu, C.; Alper, K.; Erdem, M.; Tekin, K.; Karagoz, S. Activated carbons from co-carbonization of waste truck tires and spent tea leaves. Sustain. Chem. Pharm. 2021, 21, 100410. [Google Scholar] [CrossRef]
- Wei, M.; Marrakchi, F.; Yuan, C.; Cheng, X.; Jiang, D.; Zafar, F.F.; Fu, Y.; Wang, S. Adsorption modeling, thermodynamics, and DFT simulation of tetracycline onto mesoporous and high-surface-area NaOH-activated macroalgae carbon. J. Hazard. Mater. 2022, 425, 127887. [Google Scholar] [CrossRef]
- Liang, J.; Zhao, J.; Li, Y.; Lee, K.-T.; Liu, C.; Lin, H.; Cheng, Q.; Lan, Q.; Wu, L.; Tang, S.; et al. In situ SiO2 etching strategy to prepare rice husk-derived porous carbons for supercapacitor application. J. Taiwan Inst. Chem. Eng. 2017, 81, 383–390. [Google Scholar] [CrossRef]
- Geng, W.; Ma, F.; Wu, G.; Song, S.; Wan, J.; Ma, D. MgO-templated hierarchical porous carbon sheets derived from coal tar pitch for supercapacitors. Electrochim. Acta 2016, 191, 854–863. [Google Scholar] [CrossRef]
- Prakash, M.O.; Raghavendra, G.; Ojha, S.; Panchal, M. Characterization of porous activated carbon prepared from arhar stalks by single step chemical activation method. Mater. Today Proc. 2021, 39, 1476–1481. [Google Scholar] [CrossRef]
- Xia, L.; Huang, H.; Fan, Z.; Hu, D.; Zhang, D.; Khan, A.S.; Usman, M.; Pan, L. Hierarchical macro-/meso-/microporous oxygen-doped carbon derived from sodium alginate: A cost-effective biomass material for binder-free supercapacitors. Mater. Des. 2019, 182, 108048. [Google Scholar] [CrossRef]
- Cui, J.; Xi, Y.; Chen, S.; Li, D.; She, X.; Sun, J.; Han, W.; Yang, D.; Guo, S. Prolifera-green-tide as sustainable source for carbonaceous aerogels with hierarchical pore to achieve multiple energy storage. Adv. Funct. Mater. 2016, 26, 8487–8495. [Google Scholar] [CrossRef]
- Li, D.; Lv, C.; Liu, L.; Xia, Y.; She, X.; Guo, S.; Yang, D. Egg-box structure in cobalt alginate: A new approach to multifunctional hierarchical mesoporous N-doped carbon nanofibers for efficient catalysis and energy storage. ACS Cent. Sci. 2015, 1, 261–269. [Google Scholar] [CrossRef]
- Elizabeth, I.; Singh, B.P.; Trikha, S.; Gopukumar, S. Bio-derived hierarchically macro-meso-micro porous carbon anode for lithium/sodium ion batteries. J. Power Sources 2016, 329, 412–421. [Google Scholar] [CrossRef]
- Zhang, Y.; Jiang, H.; Wang, Q.; Zheng, J.; Meng, C. Kelp-derived three-dimensional hierarchical porous N, O-doped carbon for flexible solid-state symmetrical supercapacitors with excellent performance. Appl. Surf. Sci. 2018, 477, 876–885. [Google Scholar] [CrossRef]
- Yu, J.; Gao, L.; Li, X.; Wu, C.; Gao, L.; Li, C. Porous carbons produced by the pyrolysis of green onion leaves and their capacitive behavior. New Carbon Mater. 2016, 31, 475–484. [Google Scholar] [CrossRef]
- Charoensook, K.; Huang, C.-L.; Tai, H.-C.; Krishna Lanjapalli, V.V.; Chiang, L.-M.; Hosseini, S.; Lin, Y.-T.; Li, Y.-Y. Preparation of porous nitrogen-doped activated carbon derived from rice straw for high-performance supercapacitor application. J. Taiwan Inst. Chem. Eng. 2021, 120, 246–256. [Google Scholar] [CrossRef]
- Wang, X.; Dai, S. Ionic Liquids as Versatile precursors for functionalized porous carbon and carbon-oxide composite materials by confined carbonization. Angew. Chem. Int. Ed. 2010, 49, 6664–6668. [Google Scholar] [CrossRef] [PubMed]
- Kong, S.; Xiang, X.; Jin, B.; Guo, X.; Wang, H.; Zhang, G.; Huang, H.; Cheng, K. B, O and N codoped biomass-derived hierarchical porous carbon for high-performance electrochemical energy storage. Nanomaterials 2022, 12, 1720. [Google Scholar] [CrossRef] [PubMed]
- Phiri, J.; Dou, J.; Vuorinen, T.; Gane, P.A.C.; Maloney, T.C. Highly porous willow wood-derived activated carbon for high-performance supercapacitor electrodes. ACS Omega 2019, 4, 18108–18117. [Google Scholar] [CrossRef] [PubMed]
- Quach, N.K.N.; Yang, W.D.; Chung, Z.J.; Tran, H.L.; Liu, R. Investigation of the characteristic properties of glacial acetic acid-catalyzed carbon xerogels and their electrochemical performance for use as electrode materials. Adv. Mater. Sci. Eng. 2017, 2017, 5851841. [Google Scholar] [CrossRef]
- Zhang, Y.L.; Sun, C.; Tang, Z.S. High specific capacitance and high energy density supercapacitor electrodes enabled by porous carbon with multilevel pores and self-doped heteroatoms derived from Chinese date. Diam. Relat. Mater. 2019, 97, 107455. [Google Scholar] [CrossRef]
- Zhang, W.L.; Xu, J.H.; Hou, D.X.; Yin, J.; Liu, D.B.; Lin, H.B. Hierarchical porous carbon prepared from biomass through a facile method for supercapacitor applications. J. Colloid Interface Sci. 2018, 350, 338–344. [Google Scholar] [CrossRef] [PubMed]
- Yun, Y.S.; Park, M.H.; Hong, S.J.; Lee, M.E.; Park, Y.W.; Jin, H.-J. Hierarchically porous carbon nanosheets from waste coffee grounds for supercapacitors. ACS Appl. Mater. Interfaces 2015, 7, 3684–3690. [Google Scholar] [CrossRef] [PubMed]
- Fu, G.; Li, Q.; Ye, J.; Han, J.; Wang, J.; Zhai, L.; Zhu, Y. Hierarchical porous carbon with high nitrogen content derived from plant waste (pomelo peel) for supercapacitor. J. Mater. Sci. Mater. Electron. 2018, 29, 7707–7717. [Google Scholar] [CrossRef]
- Xie, K.; Hu, Y.; Afonaa-Mensah, S.; Yuan, C.; Cao, B.; Wang, S.; Wang, Q. Study on preparation of nitrogen-doped hierarchically porous and high-performance carbon materials from seaweed biomass. J. Renew. Mater. 2022, 10, 541–560. [Google Scholar] [CrossRef]
- Keppetipola, N.M.; Dissanayake, M.; Dissanayake, P.; Karunarathne, B.; Dourges, M.A.; Talaga, D.; Servant, L.; Olivier, C.; Toupance, T.; Uchida, S.; et al. Graphite-type activated carbon from coconut shell: A natural source for eco-friendly non-volatile storage devices. RSC Adv. 2021, 11, 2854–2865. [Google Scholar] [CrossRef] [PubMed]
- Deng, M.; Wang, J.; Zhang, Q. Effect of freezing pretreatment on the performance of activated carbon from coconut shell for supercapacitor application. Mater. Lett. 2022, 306, 130934. [Google Scholar] [CrossRef]
- Li, J.; Zhang, Z.; Wang, Z.; Cao, Q.; Guo, F.; Cao, Q. Low temperature graphitization and electrochemical properties of porous carbon catalyzed with bimetal Ni-Mo. Diam. Relat. Mater. 2022, 123, 108862. [Google Scholar] [CrossRef]
- Lee, K.-C.; Lim, M.S.W.; Hong, Z.-Y.; Chong, S.; Tiong, T.J.; Pan, G.-T.; Huang, C.-M. Coconut shell-derived activated carbon for high-performance solid-state supercapacitors. Energies 2021, 14, 4556. [Google Scholar] [CrossRef]
- Jain, A.; Aravindan, V.; Jayaraman, S.; Kumar, P.S.; Balasubramanian, R.; Ramakrishna, S.; Madhavi, S.; Srinivasan, M.P. Activated carbons derived from coconut shells as high energy density cathode material for Li-ion capacitors. Sci. Rep. 2013, 3, 3002. [Google Scholar] [CrossRef] [PubMed]
- Mi, J.; Wang, X.-R.; Fan, R.-J.; Qu, W.-H.; Li, W.-C. Coconut-shell-based porous carbons with a tunable micro/mesopore ratio for high-performance supercapacitors. Energy Fuels 2012, 26, 5321–5329. [Google Scholar] [CrossRef]
- Yin, L.; Chen, Y.; Li, D.; Zhao, X.; Hou, B.; Cao, B. 3-Dimensional hierarchical porous activated carbon derived from coconut fibers with high-rate performance for symmetric supercapacitors. Mater. Des. 2016, 111, 44–50. [Google Scholar] [CrossRef]
- Sevilla, M.; Carro-Rodríguez, J.; Díez, N.; Fuertes, A.B. Straightforward synthesis of sulfur/N,S-codoped carbon cathodes for lithium-sulfur batteries. Sci. Rep. 2020, 10, 4866. [Google Scholar] [CrossRef] [PubMed]
- Shan, Y.-Q.; Xu, Z.-X.; Duan, P.-G.; Fan, H.-L.; Hu, X.; Luque, R. Nitrogen- and sulfur-doped carbon obtained from direct hydrothermal carbonization of cellulose and ammonium sulfate for supercapacitor applications. ACS Sustain. Chem. Eng. 2020, 8, 15809–15814. [Google Scholar] [CrossRef]
- Elmouwahidi, A.; Bailón-García, E.; Romero-Cano, L.A.; Zárate-Guzmán, A.I.; Pérez-Cadenas, A.F.; Carrasco-Marín, F. Influence of surface chemistry on the electrochemical performance of biomass-derived carbon electrodes for its use as supercapacitors. Materials 2019, 12, 2458. [Google Scholar] [CrossRef]
- Yang, W.; Li, Y.; Feng, Y. High electrochemical performance from oxygen functional groups containing porous activated carbon electrode of supercapacitors. Materials 2018, 11, 2455. [Google Scholar] [CrossRef]
- Wu, S.; Wei, D.; Yin, Y.; Li, Q.; Wang, H.; Chen, W.; Jiang, Y.; Tao, X. N, S co-doped activated carbon with porous architecture derived from partial poly (2, 2′-dithiodianiline) for supercapacitors. J. Energy Storage 2021, 33, 102043. [Google Scholar] [CrossRef]
- Sun, L.; Zhou, H.; Li, L.; Yao, Y.; Qu, H.; Zhang, C.; Liu, S.; Zhou, Y. Double soft-template synthesis of nitrogen/sulfur-codoped hierarchically porous carbon materials derived from protic ionic liquid for supercapacitor. ACS Appl. Mater. Interfaces 2017, 9, 26088–26095. [Google Scholar] [CrossRef]
- Chhetri, K.; Kim, T.; Acharya, D.; Muthurasu, A.; Dahal, B.; Bhattarai, R.M.; Lohani, P.C.; Pathak, I.; Ji, S.; Ko, T.H.; et al. Hollow carbon nanofibers with inside-outside decoration of bi-metallic MOF derived Ni-Fe phosphides as electrode materials for asymmetric supercapacitors. Chem. Eng. J. 2022, 450, 138363. [Google Scholar] [CrossRef]
- Acharya, D.; Pathak, I.; Dahal, B.; Lohani, P.C.; Bhattarai, R.M.; Muthurasu, A.; Kim, T.; Ko, T.H.; Chhetri, K.; Kim, H.Y. Immoderate nanoarchitectures of bimetallic MOF derived Ni–Fe–O/NPC on porous carbon nanofibers as freestanding electrode for asymmetric supercapacitors. Carbon 2023, 201, 12–23. [Google Scholar] [CrossRef]
- Yuan, H.; Pan, H.; Meng, X.; Zhu, C.; Liu, S.; Chen, Z.; Ma, J.; Zhu, S. Assembly of MnO/CNC/rGO fibers from colloidal liquid crystal for flexible supercapacitors via a continuous one-process method. Nanotechnology 2019, 30, 465702. [Google Scholar] [CrossRef] [PubMed]
- Su, D.; Pan, L.; Fu, X.; Ma, H. Facile synthesis of CNC–MnO2 hybrid as a supercapacitor electrode. Appl. Surf. Sci. 2015, 324, 349–354. [Google Scholar] [CrossRef]
- Durairaj, A.; Maruthapandi, M.; Saravanan, A.; Luong, J.H.; Gedanken, A. Cellulose Nanocrystals (CNC)-Based Functional Materials for Supercapacitor Applications. Nanomaterials 2022, 12, 1828. [Google Scholar] [CrossRef] [PubMed]
- Sevilla, M.; Díez, N.; Fuertes, A.B. More sustainable chemical activation strategies for the production of porous carbons. ChemSusChem 2021, 14, 94–117. [Google Scholar] [CrossRef] [PubMed]
- Huling, S.G.; Ko, S.; Park, S.; Kan, E. Persulfate oxidation of MTBE- and chloroform-spent granular activated carbon. J. Hazard. Mater. 2011, 192, 1484–1490. [Google Scholar] [CrossRef] [PubMed]
- Bhattarai, R.M.; Chhetri, K.; Natarajan, S.; Saud, S.; Kim, S.J.; Mok, Y.S. Activated carbon derived from cherry flower biowaste with a self-doped heteroatom and large specific surface area for supercapacitor and sodium-ion battery applications. Chemosphere 2022, 303, 135290. [Google Scholar] [CrossRef]
- Yang, Z.; Ju, X.; Liao, H.; Meng, Z.; Ning, H.; Li, Y.; Chen, Z.; Long, J. Preparation of activated carbon doped with graphene oxide porous materials and their high gas adsorption performance. ACS Omega 2021, 6, 19799–19810. [Google Scholar] [CrossRef] [PubMed]
- Wang, Y.; Bai, X.; Wang, W.; Lu, Y.; Zhang, F.; Zhai, B.; Wang, X.; Song, Y. Ball milling-assisted synthesis and electrochemical performance of porous carbon with controlled morphology and graphitization degree for supercapacitors. J. Energy Storage 2021, 38, 102496. [Google Scholar] [CrossRef]
- Yang, W.-D.; Li, Y.-R.; Lee, Y.-C. Synthesis of r-GO/TiO2 Composites via the UV-assisted photocatalytic reduction of graphene oxide. Appl. Surf. Sci. 2016, 380, 249–256. [Google Scholar] [CrossRef]
- Zou, K.; Cai, P.; Wang, B.; Liu, C.; Li, J.; Qiu, T.; Zou, G.; Hou, H.; Ji, X. Insights into enhanced capacitive behavior of carbon cathode for lithium ion capacitors: The coupling of pore size and graphitization engineering. Nano-Micro Lett. 2020, 12, 121. [Google Scholar] [CrossRef]
- Liu, Y.; Chang, Z.; Yao, L.; Yan, S.; Lin, J.; Chen, J.; Lian, J.; Lin, H.; Han, S. Nitrogen/sulfur dual-doped sponge-like porous carbon materials derived from pomelo peel synthesized at comparatively low temperatures for superior-performance supercapacitors. J. Electroanal. Chem. 2019, 847, 113111. [Google Scholar] [CrossRef]
- Li, Y.; Wang, G.; Wei, T.; Fan, Z.; Yan, P. Nitrogen and sulfur Co-doped porous carbon nanosheets derived from willow catkin for supercapacitors. Nano Energy 2016, 19, 165–175. [Google Scholar] [CrossRef]
- Sun, W.; Zhang, Y.; Yang, F. A high-performance symmetric supercapacitor from porous activated carbon under compression. Energy Technol. 2021, 9, 2100068. [Google Scholar] [CrossRef]
- Ye, Z.; Wang, F.; Jia, C.; Mu, K.; Yu, M.; Lv, Y.; Shao, Z. Nitrogen and oxygen-codoped carbon nanospheres for excellent specific capacitance and cyclic stability supercapacitor electrodes. Chem. Eng. J. 2017, 330, 1166–1173. [Google Scholar] [CrossRef]
- Du, L.; Yang, P.; Yu, X.; Liu, P.; Song, J.; Mai, W. Flexible supercapacitors based on carbon nanotube/MnO2 nanotube hybrid porous films for wearable electronic devices. J. Mater. Chem. A 2014, 2, 17561–17567. [Google Scholar] [CrossRef]
- Hung, S.-C.; Chou, S.-R.; Dong, C.-D.; Tsai, K.-C.; Yang, W.-D. Enhanced activity of hierarchical nanostructural birnessite-MnO2-based materials deposited onto nickel foam for efficient supercapacitor electrodes. Nanomaterials 2020, 10, 1933. [Google Scholar] [CrossRef]
- Yang, L.; He, X.; Wei, Y.; Bi, H.; Wei, F.; Li, H.; Yuan, C.; Qiu, J. Interconnected N/P co-doped carbon nanocage as high capacitance electrode material for energy storage devices. Nano Res. 2022, 15, 4068–4075. [Google Scholar] [CrossRef]













| Activated Carbon (AC) | Raw Materials | Calcined Temp. (°C) | Sample Name | ||
|---|---|---|---|---|---|
| Coconut Shell KOH (NH4)2S2O8 (Weight Ratio) | |||||
| Undoped | 1 | 0 | 0 | 700 | C/KOH-0 |
| 1 | 1 | 0 | 700 | C/KOH-1 | |
| 1 | 2 | 0 | 700 | C/KOH-2 | |
| 1 | 3 | 0 | 700 | C/KOH-3 | |
| 1 | 4 | 0 | 700 | C/KOH-4 | |
| 1 | 5 | 0 | 700 | C/KOH-5 | |
| Doped | 1 | 3 | 1 | 700 | C/KOH/S-3:1 |
| 1 | 3 | 2 | 700 | C/KOH/S-3:2 | |
| 1 | 3 | 3 | 700 | C/KOH/S-3:3 | |
| 1 | 3 | 4 | 700 | C/KOH/S-3:4 | |
| 1 | 3 | 5 | 700 | C/KOH/S-3:5 | |
| 1 | 3 | 3 | 400 | C/KOH/S-3:3-400 | |
| 1 | 3 | 3 | 500 | C/KOH/S-3:3-500 | |
| 1 | 3 | 3 | 600 | C/KOH/S-3:3-600 | |
| 1 | 3 | 3 | 700 | C/KOH/S-3:3-700 | |
| Activated Carbon (AC) | Sample Name | Surface Area (m2·g−1) | Micropore Area (m2·g−1) | Micropore Area fraction (%) |
|---|---|---|---|---|
| Undoped AC | C/KOH-0 | 377.7 | 335.1 | 88.7 |
| C/KOH-1 | 658.8 | 581.1 | 88.2 | |
| C/KOH-2 | 810.1 | 713.6 | 88.0 | |
| C/KOH-3 | 1601.8 | 1157.9 | 72.3 | |
| C/KOH-4 | 2177.7 | 942.6 | 43.3 | |
| C/KOH-5 | 2730.7 | 320.9 | 11.8 | |
| Doped AC | C/KOH/S-3:1 | 1587.4 | 1011.3 | 63.7 |
| C/KOH/S-3:2 | 1516.5 | 526.6 | 34.7 | |
| C/KOH/S-3:3 | 1412.8 | 284.5 | 20.2 | |
| C/KOH/S-3:4 | 1326.4 | 174.5 | 13.2 | |
| C/KOH/S-3:5 | 1240.4 | 168.2 | 13.5 |
| Sample Name | C (at.%) | N (at.%) | O (at.%) | S (at.%) |
|---|---|---|---|---|
| C/KOH-3 | 87.50 | 0.20 | 12.20 | 0.10 |
| C/KOH/S-3:1 | 84.46 | 4.09 | 9.29 | 2.16 |
| C/KOH/S-3:2 | 83.82 | 4.15 | 9.18 | 2.85 |
| C/KOH/S-3:3 | 85.58 | 3.88 | 6.78 | 3.76 |
| C/KOH/S-3:4 | 85.39 | 4.02 | 5.68 | 4.91 |
| C/KOH/S-3:5 | 84.77 | 2.93 | 5.66 | 5.64 |
| C/KOH/S-3:3-400 | 72.07 | 3.15 | 9.29 | 15.49 |
| C/KOH/S-3:3-500 | 71.31 | 4.08 | 16.18 | 8.43 |
| C/KOH/S-3:3-600 | 79.20 | 4.78 | 11.23 | 4.80 |
| C/KOH/S-3:3-700 | 84.58 | 3.88 | 6.78 | 4.76 |
Publisher’s Note: MDPI stays neutral with regard to jurisdictional claims in published maps and institutional affiliations. |
© 2022 by the authors. Licensee MDPI, Basel, Switzerland. This article is an open access article distributed under the terms and conditions of the Creative Commons Attribution (CC BY) license (https://creativecommons.org/licenses/by/4.0/).
Share and Cite
Liu, R.; Wang, J.-X.; Yang, W.-D. Hierarchical Porous Heteroatoms—Co-Doped Activated Carbon Synthesized from Coconut Shell and Its Application for Supercapacitors. Nanomaterials 2022, 12, 3504. https://doi.org/10.3390/nano12193504
Liu R, Wang J-X, Yang W-D. Hierarchical Porous Heteroatoms—Co-Doped Activated Carbon Synthesized from Coconut Shell and Its Application for Supercapacitors. Nanomaterials. 2022; 12(19):3504. https://doi.org/10.3390/nano12193504
Chicago/Turabian StyleLiu, Rui, Jing-Xuan Wang, and Wein-Duo Yang. 2022. "Hierarchical Porous Heteroatoms—Co-Doped Activated Carbon Synthesized from Coconut Shell and Its Application for Supercapacitors" Nanomaterials 12, no. 19: 3504. https://doi.org/10.3390/nano12193504
APA StyleLiu, R., Wang, J.-X., & Yang, W.-D. (2022). Hierarchical Porous Heteroatoms—Co-Doped Activated Carbon Synthesized from Coconut Shell and Its Application for Supercapacitors. Nanomaterials, 12(19), 3504. https://doi.org/10.3390/nano12193504
