Guidelines for Fabricating Highly Efficient Perovskite Solar Cells with Cu2O as the Hole Transport Material
Abstract
:1. Introduction
2. Simulation Parameters and Computational Details
| Parameters/Units | TiO2 [46] | MAPbI2Br [47,48,49] | CuSCN [50] | CuI [51,52] | Cu2O [53] | NiO [11] |
|---|---|---|---|---|---|---|
| Thickness/nm | 30 | 400 | 80 | 80 | 80 | 80 |
| Defects/cm3 | 1017 | 1017 | 1017 | 1017 | 1017 | 1017 |
| Band gap/eV | 3.2 | 1.8 | 3.4 | 3.1 | 2.17 | 3.6 |
| Electron affinity/eV | 4.0 | 3.93 | 1.7 | 2.1 | 3.2 | 1.46 |
| Dielectric constant | 100 | 25 | 10 | 6.5 | 6.6 | 11.2 |
| Effective valence band density/cm−3 | 2 × 1020 | 3 × 1018 | 2.5 × 1019 | 2.5 × 1019 | 2.5 × 1019 | 2.5 × 1019 |
| Effective conduction band density/cm−3 | 1021 | 4 × 1018 | 1.5 × 1018 | 1.5 × 1018 | 1.5 × 1018 | 1.5 × 1018 |
| Electron mobility/cm2·V−1·s−1 | 0.006 | 15 | 0.0002 [54] | 1.5 [12] | 0.02 [55] | 1.4 |
| Holemobility/cm2·V−1·s−1 | 0.003 | 15 | 0.2 [54] | 4.8 [12] | 90 [52,55] | 4.9 |
| Donor concentration/cm−3 | 5 × 1019 | 1 × 1018 | 0 | 0 | 0 | 0 |
| Acceptor concentration/cm−3 | 0 | 1 × 1018 | 3 × 1018 | 3 × 1018 | 3 × 1018 | 3 × 1018 |
| Parameters and Units | ETM–Perovskite | HTM–Perovskite |
|---|---|---|
| Dielectric constant | 30 | 6.6 |
| Band gap/eV | 1.8 | 2.17 |
| Electron affinity/eV | 3.93 | 3.2 |
| Thickness/μm | 0.002 | 0.002 |
| Electron and hole mobility/cm2·V−1·s−1 | 50, 50 | 0.5, 0.5 |
| Acceptor concentration/cm−3 | 0 | 2 × 1017 |
| Donor concentration/cm−3 | 2.14 × 1017 | 0 |
| Effective conduction band density/cm−3 | 2.5 × 1020 | 2 × 1017 |
| Effective valence band density/cm−3 | 2.5 × 1020 | 1.1 × 1019 |
| Characteristic energy for donor- and acceptor-like tails/eV | 0.015, 0.015 | 0.01, 0.01 |
| Band tail density of states/cm−3eV−1 | 1 × 1014 | 1 × 1014 |
| Capture cross-section for electrons and holes in donor tail states/cm2 | 1 × 10−15, 1 × 10−17 | 1 × 10−15, 1 × 10−17 |
| Capture cross-section for electrons and holes in acceptor tail states/cm2 | 1 × 10−17, 1 × 10−15 | 1 × 10−17, 1 × 10−15 |
| Switch-over energy/eV | 0.7 | 0.8 |
| Density of mid-gap acceptor- and donor-like state/cm−3eV−1 | 1 × 1016 to 1 × 1019 | 1 × 1017 to 1 × 1019 |
| Capture cross-section of electrons and holes in donor mid-gap states/cm2 | 1 × 10−17, 1 × 10−18 | 1 × 10−16, 1 × 10−17 |
| Capture cross-section of electrons and holes in acceptor mid-gap states/cm2 | 1 × 10−18, 1 × 10−17 | 1 × 10−17, 1 × 10−16 |
3. Results and Discussion
3.1. Identifying the Best HTM
3.2. Electron Affinity of Cu2O and PSC Performance
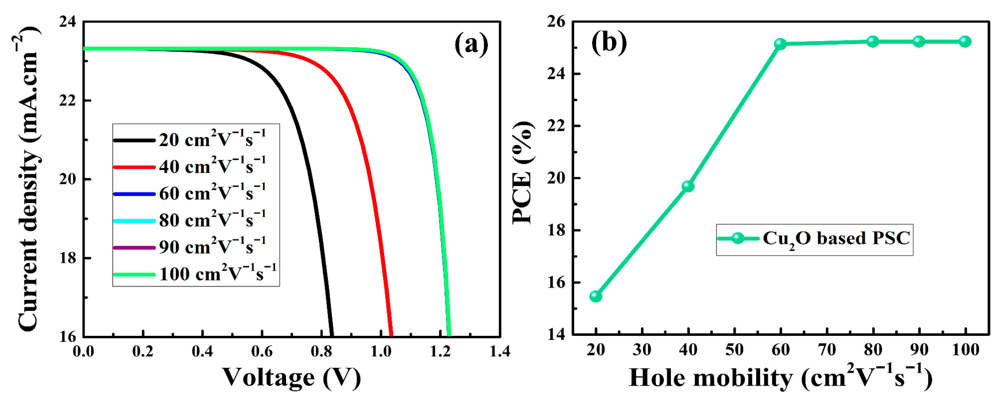
3.3. Hole Mobility of Cu2O and PSC Performance
3.4. Acceptor Density of Cu2O and PSC Performance
3.5. Contact of Back Electrode with Cu2O and PSC Performance
4. Conclusions
Author Contributions
Funding
Data Availability Statement
Acknowledgments
Conflicts of Interest
References
- Park, N. Methodologies for high efficiency perovskite solar cells. Nano Converg. 2016, 3, 15. [Google Scholar] [CrossRef] [PubMed]
- Wei, D.; Ma, F.; Wang, R.; Dou, S.; Cui, P.; Huang, H.; Ji, J.; Jia, E.; Jia, X.; Sajid, S.; et al. Ion-Migration Inhibition by the Cation–π Interaction in Perovskite Materials for Efficient and Stable Perovskite Solar Cells. Adv. Mater. 2018, 30, 1707583. [Google Scholar] [CrossRef] [PubMed]
- Kojima, A.; Teshima, K.; Shirai, Y.; Miyasaka, T. Organometal halide perovskites as visible-light sensitizers for photovoltaic cells. J. Am. Chem. Soc. 2009, 131, 6050–6051. [Google Scholar] [CrossRef] [PubMed]
- Im, J.-H.; Lee, C.-R.; Lee, J.-W.; Park, S.-W.; Park, N.-G. 6.5% efficient perovskite quantum-dot-sensitized solar cell. Nanoscale 2011, 3, 4088–4093. [Google Scholar] [CrossRef]
- Kim, H.; Lee, C.; Im, J.; Lee, K.; Moehl, T.; Marchioro, A.; Moon, S.; Humphry-baker, R.; Yum, J.; Moser, J.E.; et al. Lead Iodide Perovskite Sensitized All-Solid-State Submicron Thin Film Mesoscopic Solar Cell with Efficiency Exceeding 9%. Science 2012, 2, 591. [Google Scholar] [CrossRef]
- Kim, G.-H.; Kim, D.S. Development of perovskite solar cells with >25% conversion efficiency. Joule 2021, 5, 1033–1035. [Google Scholar] [CrossRef]
- Kim, G.; Kim, J.; Lee, G.; Kang, G.; Lee, J.; Park, T. A strategy to design a donor–π–acceptor polymeric hole conductor for an efficient perovskite solar cell. Adv. Energy Mater. 2015, 5, 1500471. [Google Scholar] [CrossRef]
- Brauer, J.C.; Lee, Y.H.; Khaja Nazeeruddin, M.; Banerji, N. Charge Transfer Dynamics from Organometal Halide Perovskite to Polymeric Hole Transport Materials in Hybrid Solar Cells. J. Phys. Chem. Lett. 2015, 6, 3675–3681. [Google Scholar] [CrossRef]
- Sajid, S.; Elseman, A.M.; Huang, H.; Ji, J.; Dou, S.; Jiang, H.; Liu, X.; Wei, D.; Cui, P.; Li, M. Breakthroughs in NiOx-HTMs towards stable, low-cost and efficient perovskite solar cells. Nano Energy 2018, 51, 408–424. [Google Scholar] [CrossRef]
- Sajid, S.; Elseman, A.M.; Wei, D.; Ji, J.; Dou, S.; Huang, H.; Cui, P.; Li, M. NiO@carbon spheres: A promising composite electrode for scalable fabrication of planar perovskite solar cells at low cost. Nano Energy 2019, 55, 470–476. [Google Scholar] [CrossRef]
- Sajid; Elseman, A.M.; Ji, J.; Dou, S.; Huang, H.; Cui, P.; Wei, D.; Li, M. Novel hole transport layer of nickel oxide composite with carbon for high-performance perovskite solar cells. Chin. Phys. B 2018, 27, 17305. [Google Scholar] [CrossRef]
- Sajid, S.; Mourtada, A.; Jun, E.; Shangyi, J.; Dong, D.; Hao, W.; Peng, H. Computational Study of Ternary Devices: Stable, Low-Cost, and Efficient Planar Perovskite Solar Cells. Nano-Micro Lett. 2018, 10, 51. [Google Scholar] [CrossRef] [PubMed]
- Chang, C.-Y.; Chang, Y.-C.; Huang, W.-K.; Liao, W.-C.; Wang, H.; Yeh, C.; Tsai, B.-C.; Huang, Y.-C.; Tsao, C.-S. Achieving high efficiency and improved stability in large-area ITO-free perovskite solar cells with thiol-functionalized self-assembled monolayers. J. Mater. Chem. A 2016, 4, 7903–7913. [Google Scholar] [CrossRef]
- Wu, Y.; Zhu, H.; Yu, B.-B.; Akin, S.; Liu, Y.; Shen, Z.; Pan, L.; Cai, H. Interface Modification to Achieve High-efficiency and Stable Perovskite Solar Cells. Chem. Eng. J. 2022, 433, 134613. [Google Scholar] [CrossRef]
- Shaikh, J.S.; Shaikh, N.S.; Mishra, Y.K.; Kanjanaboos, P.; Shewale, P.M.; Sabale, S.; Praserthdam, S.; Lokhande, C.D. Low-cost Cu-based inorganic hole transporting materials in perovskite solar cells: Recent progress and state-of-art developments. Mater. Today Chem. 2021, 20, 100427. [Google Scholar] [CrossRef]
- Elseman, A.M.; Sharmoukh, W.; Sajid, S.; Cui, P.; Ji, J.; Dou, S.; Wei, D.; Huang, H.; Xi, W.; Chu, L.; et al. Superior Stability and Efficiency Over 20% Perovskite Solar Cells Achieved by a Novel Molecularly Engineered Rutin–AgNPs/Thiophene Copolymer. Adv. Sci. 2018, 5, 1800568. [Google Scholar] [CrossRef]
- Elseman, A.M.; Sajid, S.; Shalan, A.E.; Mohamed, S.A.; Rashad, M.M. Recent progress concerning inorganic holetransport layers for efficient perovskite solar cells. Appl. Phys. A 2019, 125, 476. [Google Scholar] [CrossRef]
- Urbina, A. The balance between efficiency, stability and environmental impacts in perovskite solar cells: A review. J. Phys. Energy 2020, 2, 22001. [Google Scholar] [CrossRef]
- Mali, S.S.; Kim, H.; Kim, H.H.; Shim, S.E.; Hong, C.K. Nanoporous p-type NiOx electrode for pin inverted perovskite solar cell toward air stability. Mater. Today 2018, 21, 483–500. [Google Scholar] [CrossRef]
- Christians, J.A.; Fung, R.C.M.; Kamat, P. V An inorganic hole conductor for organo-lead halide perovskite solar cells. Improved hole conductivity with copper iodide. J. Am. Chem. Soc. 2014, 136, 758–764. [Google Scholar] [CrossRef]
- Kim, B.-S.; Kim, T.-M.; Choi, M.-S.; Shim, H.-S.; Kim, J.-J. Fully vacuum–processed perovskite solar cells with high open circuit voltage using MoO3/NPB as hole extraction layers. Org. Electron. 2015, 17, 102–106. [Google Scholar] [CrossRef]
- Hu, L.; Peng, J.; Wang, W.; Xia, Z.; Yuan, J.; Lu, J.; Huang, X.; Ma, W.; Song, H.; Chen, W. Sequential deposition of CH3NH3PbI3 on planar NiO film for efficient planar perovskite solar cells. Acs Photonics 2014, 1, 547–553. [Google Scholar] [CrossRef]
- Haque, M.A.; Sheikh, A.D.; Guan, X.; Wu, T. Metal oxides as efficient charge transporters in perovskite solar cells. Adv. Energy Mater. 2017, 7, 1602803. [Google Scholar] [CrossRef]
- Lai, W.-C.; Lin, K.-W.; Guo, T.-F.; Chen, P.; Liao, Y.-Y. Perovskite-based solar cells with inorganic inverted hybrid planar heterojunction structure. AIP Adv. 2018, 8, 15109. [Google Scholar] [CrossRef]
- Qin, P.; Tanaka, S.; Ito, S.; Tetreault, N.; Manabe, K.; Nishino, H.; Nazeeruddin, M.K.; Grätzel, M. Inorganic hole conductor-based lead halide perovskite solar cells with 12.4% conversion efficiency. Nat. Commun. 2014, 5, 3834. [Google Scholar] [CrossRef]
- Ansari, F.; Salavati-Niasari, M.; Amiri, O.; Mir, N.; Abdollahi Nejand, B.; Ahmadi, V. Magnetite as inorganic hole transport material for lead halide perovskite-based solar cells with enhanced stability. Ind. Eng. Chem. Res. 2020, 59, 743–750. [Google Scholar] [CrossRef]
- Tirado, J.; Roldán-Carmona, C.; Muñoz-Guerrero, F.A.; Bonilla-Arboleda, G.; Ralaiarisoa, M.; Grancini, G.; Queloz, V.I.E.; Koch, N.; Nazeeruddin, M.K.; Jaramillo, F. Copper sulfide nanoparticles as hole-transporting-material in a fully-inorganic blocking layers nip perovskite solar cells: Application and working insights. Appl. Surf. Sci. 2019, 478, 607–614. [Google Scholar] [CrossRef]
- Akin, S.; Liu, Y.; Dar, M.I.; Zakeeruddin, S.M.; Grätzel, M.; Turan, S.; Sonmezoglu, S. Hydrothermally processed CuCrO2 nanoparticles as an inorganic hole transporting material for low-cost perovskite solar cells with superior stability. J. Mater. Chem. A 2018, 6, 20327–20337. [Google Scholar] [CrossRef]
- Liu, C.; Zhou, X.; Chen, S.; Zhao, X.; Dai, S.; Xu, B. Hydrophobic Cu2O Quantum Dots Enabled by Surfactant Modification as Top Hole-Transport Materials for Efficient Perovskite Solar Cells. Adv. Sci. 2019, 6, 1801169. [Google Scholar] [CrossRef]
- Elseman, A.M.; Selim, M.S.; Luo, L.; Xu, C.Y.; Wang, G.; Jiang, Y.; Liu, D.B.; Liao, L.P.; Hao, Z.; Song, Q.L. Efficient and Stable Planar n-i-p Perovskite Solar Cells with Negligible Hysteresis through Solution-Processed Cu2O Nanocubes as a Low-Cost Hole-Transport Material. ChemSusChem 2019, 12, 3808–3816. [Google Scholar] [CrossRef]
- Würfel, U.; Cuevas, A.; Würfel, P. Charge Carrier Separation in Solar Cells. IEEE J. Photovoltaics 2015, 5, 461–469. [Google Scholar] [CrossRef]
- Karthick, S.; Velumani, S.; Bouclé, J. Experimental and SCAPS simulated formamidinium perovskite solar cells: A comparison of device performance. Sol. Energy 2020, 205, 349–357. [Google Scholar] [CrossRef]
- Kang, A.K.; Zandi, M.H.; Gorji, N.E. Simulation analysis of graphene contacted perovskite solar cells using SCAPS-1D. Opt. Quantum Electron. 2019, 51, 91. [Google Scholar] [CrossRef]
- Bansal, S.; Aryal, P. Evaluation of new materials for electron and hole transport layers in perovskite-based solar cells through SCAPS-1D simulations. In Proceedings of the 2016 IEEE 43rd Photovoltaic Specialists Conference (PVSC), Portland, OR, USA, 5–10 June 2016; pp. 747–750. [Google Scholar] [CrossRef]
- Ahmed, S.; Jannat, F.; Khan, M.A.K.; Alim, M.A. Numerical development of eco-friendly Cs2TiBr6 based perovskite solar cell with all-inorganic charge transport materials via SCAPS-1D. Optik 2021, 225, 165765. [Google Scholar] [CrossRef]
- Burgelman, M.; Nollet, P.; Degrave, S. Modelling polycrystalline semiconductor solar cells. Thin Solid Films 2000, 361–362, 527–532. [Google Scholar] [CrossRef]
- Burgelman, M.; Decock, K.; Khelifi, S.; Abass, A. Advanced electrical simulation of thin film solar cells. Thin Solid Films 2013, 535, 296–301. [Google Scholar] [CrossRef]
- Ma, F.; Zhao, Y.; Li, J.; Zhang, X.; Gu, H.; You, J. Nickel oxide for inverted structure perovskite solar cells. J. Energy Chem. 2021, 52, 393–411. [Google Scholar] [CrossRef]
- Chen, Y.-J.; Li, M.-H.; Huang, J.-C.-A.; Chen, P. Cu/Cu2O nanocomposite films as a p-type modified layer for efficient perovskite solar cells. Sci. Rep. 2018, 8, 7646. [Google Scholar] [CrossRef]
- Wang, H.; Yu, Z.; Lai, J.; Song, X.; Yang, X.; Hagfeldt, A.; Sun, L. One plus one greater than two: High-performance inverted planar perovskite solar cells based on a composite CuI/CuSCN hole-transporting layer. J. Mater. Chem. A 2018, 6, 21435–21444. [Google Scholar] [CrossRef]
- Chen, Q.; Ni, Y.; Dou, X.; Yoshinori, Y. The Effect of Energy Level of Transport Layer on the Performance of Ambient Air Prepared Perovskite Solar Cell: A SCAPS-1D Simulation Study. Crystals 2022, 12, 68. [Google Scholar] [CrossRef]
- Aseena, S.; Abraham, N.; Babu, V.S. Simulation Based Investigation on the Performance of Metal Oxides as Charge Transport Layers in Lead/Tin Perovskite Solar Cells Using SCAPS 1D. ECS J. Solid State Sci. Technol. 2021, 10, 71012. [Google Scholar]
- Bisquert, J.; Janssen, M. From frequency domain to time transient methods for halide perovskite solar cells: The connections of IMPS, IMVS, TPC, and TPV. J. Phys. Chem. Lett. 2021, 12, 7964–7971. [Google Scholar] [CrossRef]
- Shao, S.; Liu, J.; Portale, G.; Fang, H.; Blake, G.R.; ten Brink, G.H.; Koster, L.J.A.; Loi, M.A. Highly reproducible Sn-based hybrid perovskite solar cells with 9% efficiency. Adv. Energy Mater. 2018, 8, 1702019. [Google Scholar] [CrossRef]
- Chouhan, A.S.; Jasti, N.P.; Avasthi, S. Effect of interface defect density on performance of perovskite solar cell: Correlation of simulation and experiment. Mater. Lett. 2018, 221, 150–153. [Google Scholar] [CrossRef]
- Sajid, S.; Huang, H.; Ji, J.; Jiang, H.; Duan, M.; Liu, X.; Liu, B.; Li, M. Quest for robust electron transporting materials towards efficient, hysteresis-free and stable perovskite solar cells. Renew. Sustain. Energy Rev. 2021, 152, 111689. [Google Scholar] [CrossRef]
- Elseman, A.M.; Shalan, A.E.; Sajid, S.; Rashad, M.M.; Hassan, A.M.; Li, M. Copper-Substituted Lead Perovskite Materials Constructed with Different Halides for Working (CH3NH3)2CuX4-Based Perovskite Solar Cells from Experimental and Theoretical View. ACS Appl. Mater. Interfaces 2018, 10, 11699–11707. [Google Scholar] [CrossRef]
- Bui, A.D.; Mozaffari, N.; Truong, T.N.; Duong, T.; Weber, K.J.; White, T.P.; Catchpole, K.R.; Macdonald, D.; Nguyen, H.T. Electrical properties of perovskite solar cells by illumination intensity and temperature-dependent photoluminescence imaging. Prog. Photovolt. Res. Appl. 2021, 30, 1038–1044. [Google Scholar] [CrossRef]
- Yang, M.; Zhang, T.; Schulz, P.; Li, Z.; Li, G.; Kim, D.H.; Guo, N.; Berry, J.J.; Zhu, K.; Zhao, Y. Facile fabrication of large-grain CH3NH3PbI3−xBrx films for high-efficiency solar cells via CH3NH3Br-selective Ostwald ripening. Nat. Commun. 2016, 7, 12305. [Google Scholar] [CrossRef]
- Haider, S.Z.; Anwar, H.; Wang, M. Theoretical Device Engineering for High—Performance Perovskite Solar Cells Theoretical Device Engineering for High-Performance Perovskite Solar Cells Using CuSCN as Hole Transport Material Boost the Efficiency Above 25%. Phys. Status Solidi 2019, 216, 1900102. [Google Scholar] [CrossRef]
- Zulqarnain, S.; Anwar, H.; Manzoor, S.; Ismail, A.G.; Wang, M. A theoretical study for high-performance inverted p-i-n architecture perovskite solar cells with cuprous iodide as hole transport material. Curr. Appl. Phys. 2020, 20, 1080–1089. [Google Scholar] [CrossRef]
- Sekkat, A.; Nguyen, V.H.; Masse de La Huerta, C.A.; Rapenne, L.; Bellet, D.; Kaminski-Cachopo, A.; Chichignoud, G.; Muñoz-Rojas, D. Open-air printing of Cu2O thin films with high hole mobility for semitransparent solar harvesters. Commun. Mater. 2021, 2, 78. [Google Scholar] [CrossRef]
- Gong, J.; Krishnan, S. Simulation of Inverted Perovskite Solar Cells. Energy Sustain. 2018, 51418, V001T12A002. [Google Scholar] [CrossRef]
- Adams, G.R.; Obiozo, V.; Shohag, A.S. Simulation of carriers spatial distribution and transportation in co-mixing composition perovskite for solar cell Simulation of carriers spatial distribution and transportation in co-mixing composition perovskite for solar cell. Mater. Res. Express 2021, 8, 035006. [Google Scholar] [CrossRef]
- Hossain, M.I.; Alharbi, F.H.; Tabet, N. Copper oxide as inorganic hole transport material for lead halide perovskite based solar cells. Sol. Energy 2015, 120, 370–380. [Google Scholar] [CrossRef]
- Lin, L.; Jiang, L.; Li, P.; Fan, B.; Qiu, Y. A modeled perovskite solar cell structure with a Cu2O hole-transporting layer enabling over 20% efficiency by low-cost low-temperature processing. J. Phys. Chem. Solids 2019, 124, 205–211. [Google Scholar] [CrossRef]
- Huang, H.; Liu, X.; Duan, M.; Ji, J.; Jiang, H.; Liu, B.; Sajid, S.; Cui, P.; Wei, D.; Li, Y.; et al. Dual Function of Surface Alkali-Gas Erosion on SnO2 for Efficient and Stable Perovskite Solar Cells. ACS Appl. Energy Mater. 2020, 3, 5039–5049. [Google Scholar] [CrossRef]
- Kim, S.H.; Park, C.H.; Saeed, M.A.; Ko, D.-H.; Lee, J.-H.; Shim, J.W. b-cyclodextrinepolyacryloyl hydrazide-based surface modification for efficient electron-collecting electrodes of indoor organic photovoltaics. J. Mater. Res. Technol. 2022, 16, e1666. [Google Scholar] [CrossRef]
- Ahsan Saeed, M.; Hyeon Kim, S.; Baek, K.; Hyun, J.K.; Youn Lee, S.; Won Shim, J. PEDOT:PSS: CuNW-based transparent composite electrodes for high-performance and flexible organic photovoltaics under indoor lighting. Appl. Surf. Sci. 2021, 567, 150852. [Google Scholar] [CrossRef]
- Kim, S.; Ahsan Saeed, M.; Hyeon Kim, S.; Won Shim, J. Enhanced hole selecting behavior of WO3 interlayers for efficient indoor organic photovoltaics with high fill-factor. Appl. Surf. Sci. 2020, 527, 146840. [Google Scholar] [CrossRef]
- Raoui, Y.; Ez-Zahraouy, H.; Kazim, S.; Ahmad, S. Energy level engineering of charge selective contact and halide perovskite by modulating band offset: Mechanistic insights. J. Energy Chem. 2021, 54, 822–829. [Google Scholar] [CrossRef]
- Yu, Z.; Sun, L. Inorganic Hole-Transporting Materials for Perovskite Solar Cells. Small Methods 2018, 2, 1700280. [Google Scholar] [CrossRef]
- Alnuaimi, A.; Almansouri, I.; Nayfeh, A. Effect of mobility and band structure of hole transport layer in planar heterojunction perovskite solar cells using 2D TCAD simulation. J. Comput. Electron. 2016, 15, 1110–1118. [Google Scholar] [CrossRef]
- Shivesh, K.; Alam, I.; Kushwaha, A.K.; Kumar, M.; Singh, S.V. Investigating the theoretical performance of Cs2TiBr6-based perovskite solar cell with La-doped BaSnO3 and CuSbS2 as the charge transport layers. Int. J. Energy Res. 2022, 46, 6045–6064. [Google Scholar] [CrossRef]
- Liu, F.; Zhu, J.; Wei, J.; Li, Y.; Lv, M.; Yang, S.; Zhang, B.; Yao, J.; Dai, S. Numerical simulation: Toward the design of high-efficiency planar perovskite solar cells. Appl. Phys. Lett. 2014, 104, 253508. [Google Scholar] [CrossRef]
- Cui, P.; Wei, D.; Ji, J.; Huang, H.; Jia, E.; Dou, S.; Wang, T.; Wang, W.; Li, M. Planar p–n homojunction perovskite solar cells with efficiency exceeding 21.3%. Nat. Energy 2019, 4, 150–159. [Google Scholar] [CrossRef]
- Patel, P.K. Device simulation of highly efficient eco-friendly CH3NH3SnI3 perovskite solar cell. Sci. Rep. 2021, 11, 3082. [Google Scholar] [CrossRef]
- Grancini, G.; Roldán-Carmona, C.; Zimmermann, I.; Mosconi, E.; Lee, X.; Martineau, D.; Narbey, S.; Oswald, F.; De Angelis, F.; Graetzel, M. One-Year stable perovskite solar cells by 2D/3D interface engineering. Nat. Commun. 2017, 8, 15684. [Google Scholar] [CrossRef]
- Zhang, H.; Wang, H.; Chen, W.; Jen, A.K. CuGaO2: A promising inorganic hole-transporting material for highly efficient and stable perovskite solar cells. Adv. Mater. 2017, 29, 1604984. [Google Scholar] [CrossRef]







| Parameters | NiO | Cu2O | CuI | CuSCN |
|---|---|---|---|---|
| Voc (V) | 0.720859 | 1.292878 | 1.138577 | 0.956405 |
| Jsc (mA·cm−2) | 23.28859840 | 23.30958402 | 23.33917732 | 23.30569402 |
| FF (%) | 50.8580 | 83.6563 | 72.0141 | 59.9157 |
| PCE (%) | 8.5379 | 25.2110 | 21.8071 | 13.3550 |
Publisher’s Note: MDPI stays neutral with regard to jurisdictional claims in published maps and institutional affiliations. |
© 2022 by the authors. Licensee MDPI, Basel, Switzerland. This article is an open access article distributed under the terms and conditions of the Creative Commons Attribution (CC BY) license (https://creativecommons.org/licenses/by/4.0/).
Share and Cite
Sajid, S.; Alzahmi, S.; Salem, I.B.; Obaidat, I.M. Guidelines for Fabricating Highly Efficient Perovskite Solar Cells with Cu2O as the Hole Transport Material. Nanomaterials 2022, 12, 3315. https://doi.org/10.3390/nano12193315
Sajid S, Alzahmi S, Salem IB, Obaidat IM. Guidelines for Fabricating Highly Efficient Perovskite Solar Cells with Cu2O as the Hole Transport Material. Nanomaterials. 2022; 12(19):3315. https://doi.org/10.3390/nano12193315
Chicago/Turabian StyleSajid, Sajid, Salem Alzahmi, Imen Ben Salem, and Ihab M. Obaidat. 2022. "Guidelines for Fabricating Highly Efficient Perovskite Solar Cells with Cu2O as the Hole Transport Material" Nanomaterials 12, no. 19: 3315. https://doi.org/10.3390/nano12193315
APA StyleSajid, S., Alzahmi, S., Salem, I. B., & Obaidat, I. M. (2022). Guidelines for Fabricating Highly Efficient Perovskite Solar Cells with Cu2O as the Hole Transport Material. Nanomaterials, 12(19), 3315. https://doi.org/10.3390/nano12193315

