Conductometric ppb-Level CO Sensors Based on In2O3 Nanofibers Co-Modified with Au and Pd Species
Abstract
:1. Introduction
2. Experimental Section
2.1. Preparation of Pure In2O3, PdO-Modified In2O3, Au-Modified In2O3, and Au and PdO-Co-Modified In2O3 Nanofibers
2.2. Characterization
2.3. Fabrication and Measurement of Gas Sensor
3. Results and Discussion
3.1. Structural and Morphological Characteristics
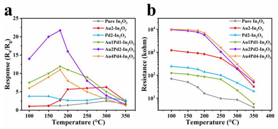
3.2. Sensing Performance
3.3. Sensing Mechanism
4. Conclusions
Author Contributions
Funding
Data Availability Statement
Conflicts of Interest
References
- Sircar, K.; Clower, J.; Shin, M.K.; Bailey, C.; King, M.; Yip, F. Carbon monoxide poisoning deaths in the United States, 1999 to 2012. Am. J. Emerg. Med. 2015, 33, 1140–1145. [Google Scholar] [CrossRef] [PubMed]
- Rose, J.J.; Wang, L.; Xu, Q.Z.; McTiernan, C.F.; Shiva, S.; Tejero, J.; Gladwin, M.T. Carbon Monoxide Poisoning: Pathogenesis, Management, and Future Directions of Therapy. Am. J. Respir. Crit. Care Med. 2017, 195, 596–606. [Google Scholar] [CrossRef]
- Heo, J.; Koung, I.; Park, Y.; Im, Y.; Lee, J. Efficient control research in CO PROX reaction. In Proceedings of the 15th International Conference on Control, Automation and Systems (ICCAS), Busan, Korea, 13–16 October 2015; pp. 261–263. [Google Scholar]
- Tofighi, G.; Degler, D.; Junker, B.; Muller, S.; Lichtenberg, H.; Wang, W.; Weimar, U.; Barsan, N.; Grunwaldt, J.-D. Microfluidically synthesized Au, Pd and AuPd nanoparticles supported on SnO2 for gas sensing applications. Sens. Actuators B Chem. 2019, 292, 48–56. [Google Scholar] [CrossRef]
- Hsu, K.C.; Fang, T.H.; Tang, I.T.; Hsiao, Y.J.; Chen, C.Y. Mechanism and characteristics of Au-functionalized SnO2/In2O3 nanofibers for highly sensitive CO detection. J. Alloys Compd. 2020, 822, 153475. [Google Scholar] [CrossRef]
- Arunkumar, S.; Hou, T.F.; Kim, Y.B.; Choi, B.; Park, S.H.; Jung, S.; Lee, D.W. Au Decorated ZnO hierarchical architectures: Facile synthesis, tunable morphology and enhanced CO detection at room temperature. Sens. Actuators B Chem. 2017, 243, 990–1001. [Google Scholar] [CrossRef]
- Hiroyuki, Y.; Teruyuki, J.; Jun, T.; Koji, M.; Norio, M.; Noboru, Y. Indium oxide-based gas sensor for selective detection of CO. Sens. Actuators B Chem. 1996, 35, 325–332. [Google Scholar]
- Yin, X.T.; Guo, X.M. Sensitivity and selectivity of (Au, Pt, Pd)-loaded and (In, Fe)-doped SnO2 sensors for H2 and CO detection. J. Mater. Sci. -Mater. Electron. 2014, 25, 4960–4966. [Google Scholar] [CrossRef]
- Hung, N.L.; Kim, H.; Hong, S.K.; Kim, D. Enhancement of CO gas sensing properties in ZnO thin films deposited on self-assembled Au nanodots. Sens. Actuators B Chem. 2010, 151, 127–132. [Google Scholar] [CrossRef]
- Wang, P.J.; Yuan, T.B.; Yuan, H.F.; Zheng, X.Y.; Ijaz, H.; Hui, J.F.; Fan, D.; Zhao, Y.; Hu, S. PdO/SnO2 heterostructure for low-temperature detection of CO with fast response and recovery. Rsc Adv. 2019, 9, 22875–22882. [Google Scholar] [CrossRef]
- Luo, N.; Zhang, B.; Zhang, D.; Xu, J.Q. Enhanced CO sensing properties of Pd modified ZnO porous nanosheets. Chin. Chem. Lett. 2020, 31, 2033–2036. [Google Scholar] [CrossRef]
- Zhou, Y.; Wang, Z.Y.; Liu, C.J. Perspective on CO oxidation over Pd-based catalysts. Catal. Sci. Technol. 2015, 5, 69–81. [Google Scholar] [CrossRef]
- Peterson, E.J.; Delariva, A.T.; Lin, S.; Johnson, R.S.; Guo, H.; Miller, J.T.; Kwak, J.H.; Peden, C.H.F.; Kiefer, B.; Allard, L.F.; et al. Low-temperature carbon monoxide oxidation catalysed by regenerable atomically dispersed palladium on alumina. Nat. Commun. 2014, 5, 4885. [Google Scholar] [CrossRef] [PubMed]
- Guo, J.Y.; Zhang, D.Z.; Li, T.T.; Zhang, J.H.; Yu, L.D. Green light-driven acetone gas sensor based on electrospinned CdS nanospheres/Co3O4 nanofibers hybrid for the detection of exhaled diabetes biomarker. J. Colloid Interface Sci. 2022, 606, 261–271. [Google Scholar] [CrossRef] [PubMed]
- Yang, J.; Han, W.; Jiang, B.; Wang, X.; Sun, Y.; Wang, W.; Lou, R.; Ci, H.; Zhang, H.; Lu, G. Electrospinning Derived NiO/NiFe2O4 Fiber-in-Tube Composite for Fast Triethylamine Detection under Different Humidity. ACS Sensors. 2022, 7, 995–1007. [Google Scholar] [CrossRef] [PubMed]
- Wang, X.; Lu, J.Y.; Han, W.J.; Cheng, P.F.; Wang, Y.L.; Sun, J.B.; Ma, J.; Sun, P.; Zhang, H.; Sun, Y.; et al. Carbon modification endows WO3 with anti-humidity property and long-term stability for ultrafast H2S detection. Sens. Actuators B Chem. 2022, 350, 130884. [Google Scholar] [CrossRef]
- Yang, M.; Lu, J.Y.; Wang, X.; Zhang, H.; Chen, F.; Sun, J.B.; Yang, J.; Sun, Y.; Lu, G. Acetone sensors with high stability to humidity changes based on Ru-doped NiO flower-like microspheres. Sens. Actuators B Chem. 2020, 313, 127965. [Google Scholar] [CrossRef]
- Wang, H.T.; Li, Y.Y.; Wang, C.C.; Li, Y.; Bai, J.H.; Liu, Y.Y.; Zhou, L.; Liu, F.; Shimanoe, K.; Lu, G. N-pentanol sensor based on ZnO nanorods functionalized with Au catalysts. Sens. Actuators B Chem. 2021, 339, 129888. [Google Scholar] [CrossRef]
- Yang, T.H.; Huang, L.D.; Harn, Y.W.; Lin, C.C.; Chang, J.K.; Wu, C.I.; Wu, J.-M. High Density Unaggregated Au Nanoparticles on ZnO Nanorod Arrays Function as Efficient and Recyclable Photocatalysts for Environmental Purification. Small 2013, 9, 3169–3182. [Google Scholar] [CrossRef]
- Rai, P.; Yoon, J.W.; Kwak, C.H.; Lee, J.H. Role of Pd nanoparticles in gas sensing behaviour of Pd@In2O3 yolk-shell nanoreactors. J. Mater. Chem. A 2016, 4, 264–269. [Google Scholar] [CrossRef]
- Wang, C.; Zhang, Y.; Sun, X.; Sun, Y.; Liu, F.; Yan, X.; Wang, C.; Sun, P.; Lu, G. Preparation of Pd/PdO loaded WO3 microspheres for H2S detection. Sens. Actuators B Chem. 2020, 321, 128629. [Google Scholar] [CrossRef]
- Guo, L.; Wang, Y.; Shang, Y.; Yang, X.; Zhang, S.; Wang, G.; Wang, Y.; Zhang, B.; Zhang, Z. Preparation of Pd/PdO@ ZnO-ZnO nanorods by using metal organic framework templated catalysts for selective detection of triethylamine. Sens. Actuators B Chem. 2022, 350, 130840. [Google Scholar] [CrossRef]
- Han, B.Q.; Wang, H.R.; Yang, W.Y.; Wang, J.H.; Wei, X.Y. Hierarchical Pt-decorated In2O3 microspheres with highly enhanced isoprene sensing properties. Ceram. Int. 2021, 47, 9477–9485. [Google Scholar] [CrossRef]
- Wan, K.C.; Wang, D.; Wang, F.; Li, H.J.; Xu, J.C.; Wang, X.Y.; Yang, J. Hierarchical In2O3@SnO2 Core-Shell Nanofiber for High Efficiency Formaldehyde Detection. ACS Appl. Mater. Interfaces 2019, 11, 45214–45225. [Google Scholar] [CrossRef]
- Choi, S.W.; Katoch, A.; Sun, G.J.; Kim, S.S. Bimetallic Pd/Pt nanoparticle-functionalized SnO2 nanowires for fast response and recovery to NO2. Sens. Actuators B Chem. 2013, 181, 446–453. [Google Scholar] [CrossRef]
- Wang, X.; Han, W.J.; Yang, J.Q.; Cheng, P.F.; Wang, Y.L.; Feng, C.H.; Wang, C.; Zhang, H.; Sun, Y.; Lu, G. Conductometric ppb-level triethylamine sensor based on macroporous WO3-W18O49 heterostructures functionalized with carbon layers and PdO nanoparticles. Sens. Actuators B Chem. 2022, 361, 131707. [Google Scholar] [CrossRef]
- Lai, H.Y.; Chen, C.H. Highly sensitive room-temperature CO gas sensors: Pt and Pd nanoparticle-decorated In2O3 flower-like nanobundles. J. Mater. Chem. 2012, 22, 13204–13208. [Google Scholar] [CrossRef]
- Yin, X.T.; Guo, X.M. Selectivity and sensitivity of Pd-loaded and Fe-doped SnO2 sensor for CO detection. Sens. Actuators B Chem. 2014, 200, 213–218. [Google Scholar] [CrossRef]
- Chen, K.W.; Liu, J.P.; Hsu, Y.S.; Liu, C.H.; Pai, Y.H.; Chen, C.H. Controlled synthesis of Pt and Co3O4 dual-functionalized In2O3 nanoassemblies for room temperature detection of carbon monoxide. New J. Chem. 2018, 42, 16478–16482. [Google Scholar] [CrossRef]
- Jeong, S.Y.; Moon, Y.K.; Kim, J.K.; Park, S.W.; Jo, Y.K.; Kang, Y.C.; Lee, J.H. A General Solution to Mitigate Water Poisoning of Oxide Chemiresistors: Bilayer Sensors with Tb4O7 Overlayer. Adv. Funct. Mater. 2021, 31, 2007895. [Google Scholar] [CrossRef]
- Chen, Q.; Wang, Y.H.; Wang, M.X.; Ma, S.Y.; Wang, P.Y.; Zhang, G.H.; Chen, W.; Jiao, H.; Liu, L.; Xu, X. Enhanced acetone sensor based on Au functionalized In-doped ZnSnO3 nanofibers synthesized by electrospinning method. J. Colloid Interface Sci. 2019, 543, 285–299. [Google Scholar] [CrossRef]
- Wang, X.; Lu, J.Y.; Han, W.J.; Yang, J.Q.; Jiang, B.; Sun, Y.F.; Zhang, H.; Lu, G. Co-PBA MOF-derived hierarchical hollow Co3O4@NiO microcubes functionalized with Pt for superior H2S sensing. Sens. Actuators B Chem. 2021, 342, 130028. [Google Scholar] [CrossRef]
- Wang, Y.; Meng, X.N.; Cao, J.L. Rapid detection of low concentration CO using Pt-loaded ZnO nanosheets. J. Hazard. Mater. 2020, 381, 120944. [Google Scholar] [CrossRef] [PubMed]
- Sakai, Y.; Kadosaki, M.; Matsubara, I.; Itoh, T. Preparation of total VOC sensor with sensor-response stability for humidity by noble metal addition to SnO2. J. Ceram. Soc. Jpn. 2009, 117, 1297–1301. [Google Scholar] [CrossRef]
- Dong, X.W.; Qin, L.P.; Xu, J.Q.; Pan, Q.Y.; Cheng, Z.X.; Qun, X. Gas sensing properties of Au modified SnO2 micron rods. Curr. Nanosci. 2008, 4, 236–239. [Google Scholar]
- Feng, C.; Li, X.; Ma, J.; Sun, Y.; Wang, C.; Sun, P.; Zheng, J.; Lu, G. Facile synthesis and gas sensing properties of In2O3-WO3 heterojunction nanofibers. Sens. Actuators B Chem. 2015, 209, 622–629. [Google Scholar] [CrossRef]
- Li, F.; Zhang, T.; Gao, X.; Wang, R.; Li, B.H. Coaxial electrospinning heterojunction SnO2/Au-doped In2O3 core-shell nanofibers for acetone gas sensor. Sens. Actuators B Chem. 2017, 252, 822–830. [Google Scholar] [CrossRef]
- Hu, Q.; Huang, B.Y.; Li, Y.; Zhang, S.M.; Zhang, Y.X.; Hua, X.H.; Liu, G.; Li, B.; Zhou, J.; Xie, E.; et al. Methanol gas detection of electrospun CeO2 nanofibers by regulating Ce3+/Ce4+ mole ratio via Pd doping. Sens. Actuators B Chem. 2020, 307, 127638. [Google Scholar] [CrossRef]
- Motsoeneng, R.G.; Kortidis, I.; Rikhotso, R.; Swart, H.C.; Ray, S.S.; Motaung, D.E. Temperature-dependent response to C3H7OH and C2H5OH vapors induced by deposition of Au nanoparticles on SnO2/NiO hollow sphere-based conductometric sensors. Sens. Actuators B Chem. 2020, 316, 128041. [Google Scholar] [CrossRef]
- Liu, J.J.; Zhang, L.Y.; Fan, J.J.; Yu, J.G. Semiconductor Gas Sensor for Triethylamine Detection. Small 2022, 18, 2104984. [Google Scholar] [CrossRef]
- Chinh, N.D.; Haneul, Y.; Hieu, N.M.; Hung, N.M.; Quang, N.D.; Kim, C.; Kim, D. pn-Heterojunction of the SWCNT/ZnO nanocomposite for temperature dependent reaction with hydrogen. J. Colloid Interface Sci. 2021, 584, 582–591. [Google Scholar] [CrossRef]
- Wang, X.; Chen, F.; Yang, M.; Guo, L.L.; Xie, N.; Kou, X.Y.; Song, Y.; Wang, Q.; Sun, Y.; Lu, G. Dispersed WO3 nanoparticles with porous nanostructure for ultrafast toluene sensing. Sens. Actuators B Chem. 2019, 289, 195–206. [Google Scholar] [CrossRef]
- Kim, J.H.; Mirzaei, A.; Kim, H.W.; Kim, S.S. Flexible and low power CO gas sensor with Au-functionalized 2D WS2 nanoflakes. Sens. Actuators B Chem. 2020, 313, 128040. [Google Scholar] [CrossRef]











| Sample | In2O3 | Au2-In2O3 | Pd2-In2O3 | Au1Pd1-In2O3 | Au2Pd2-In2O3 | Au4Pd4-In2O3 |
|---|---|---|---|---|---|---|
| grain sizes (nm) | 16.2 | 15.9 | 12.0 | 13.8 | 10.4 | 10.2 |
| Sample | Lattice Oxygen OL (%) | Defect Oxygen OD (%) | Chemisorbed Oxygen OC (%) | Sum of OD and OC (%) |
|---|---|---|---|---|
| Pure In2O3 | 53.5 | 17.2 | 29.3 | 46.5 |
| Au2-In2O3 | 44.6 | 20.2 | 35.2 | 55.4 |
| Pd2-In2O3 | 47.2 | 19.2 | 33.6 | 52.8 |
| Au2Pd2-In2O3 | 42.1 | 21.2 | 36.7 | 57.9 |
| Materials | Morphology | T/°C and RH (%) | Conc. (ppm) | Response | LOD (ppm) | Res./Rec. Time (s) | Ref. |
|---|---|---|---|---|---|---|---|
| AuPd/SnO2 | Nanoparticles | 300 and 50 | 50 | 6 a | 50 | -/- | [4] |
| Au/SnO2/In2O3 | Nanofibers | 200 and - | 50 | 29 b | 10 | 80/400 | [5] |
| Au/ZnO | Nanostars | 35 and dry | 50 | 15 a | 50 | 8/15 | [6] |
| Pd/In2O3 | Nanobundles | RT | 100 | 12 c | 50 | 50/60 | [27] |
| Pd/Fe/SnO2 | Nanoparticles | 350 and - | 2000 | 22 a | 200 | -/50 | [28] |
| Pt/Co3O4/In2O3 | Nano-branches | RT | 100 | ~14 c | 5 | ~120/~20 | [29] |
| Au/PdO/In2O3 | Nanofibers | 180 and 30 | 100 | 21.7 a | 0.2 | 5/106 | This work |
Publisher’s Note: MDPI stays neutral with regard to jurisdictional claims in published maps and institutional affiliations. |
© 2022 by the authors. Licensee MDPI, Basel, Switzerland. This article is an open access article distributed under the terms and conditions of the Creative Commons Attribution (CC BY) license (https://creativecommons.org/licenses/by/4.0/).
Share and Cite
Han, W.; Yang, J.; Jiang, B.; Wang, X.; Wang, C.; Guo, L.; Sun, Y.; Liu, F.; Sun, P.; Lu, G. Conductometric ppb-Level CO Sensors Based on In2O3 Nanofibers Co-Modified with Au and Pd Species. Nanomaterials 2022, 12, 3267. https://doi.org/10.3390/nano12193267
Han W, Yang J, Jiang B, Wang X, Wang C, Guo L, Sun Y, Liu F, Sun P, Lu G. Conductometric ppb-Level CO Sensors Based on In2O3 Nanofibers Co-Modified with Au and Pd Species. Nanomaterials. 2022; 12(19):3267. https://doi.org/10.3390/nano12193267
Chicago/Turabian StyleHan, Wenjiang, Jiaqi Yang, Bin Jiang, Xi Wang, Chong Wang, Lanlan Guo, Yanfeng Sun, Fangmeng Liu, Peng Sun, and Geyu Lu. 2022. "Conductometric ppb-Level CO Sensors Based on In2O3 Nanofibers Co-Modified with Au and Pd Species" Nanomaterials 12, no. 19: 3267. https://doi.org/10.3390/nano12193267
APA StyleHan, W., Yang, J., Jiang, B., Wang, X., Wang, C., Guo, L., Sun, Y., Liu, F., Sun, P., & Lu, G. (2022). Conductometric ppb-Level CO Sensors Based on In2O3 Nanofibers Co-Modified with Au and Pd Species. Nanomaterials, 12(19), 3267. https://doi.org/10.3390/nano12193267

