Effect of Hybrid Nanofluids Concentration and Swirling Flow on Jet Impingement Cooling
Abstract
:1. Introduction
2. Materials and Methods
2.1. Hybrid Nanofluid Preparation
2.2. Characterization of Hybrid Nanofluid
2.2.1. Scanning Electron Microscope (SEM)
2.2.2. Energy Dispersive X-ray Analysis (EDX)
2.3. Experimental Setup and Procedure
2.4. Data Processing and Error Analysis
3. Results and Discussion
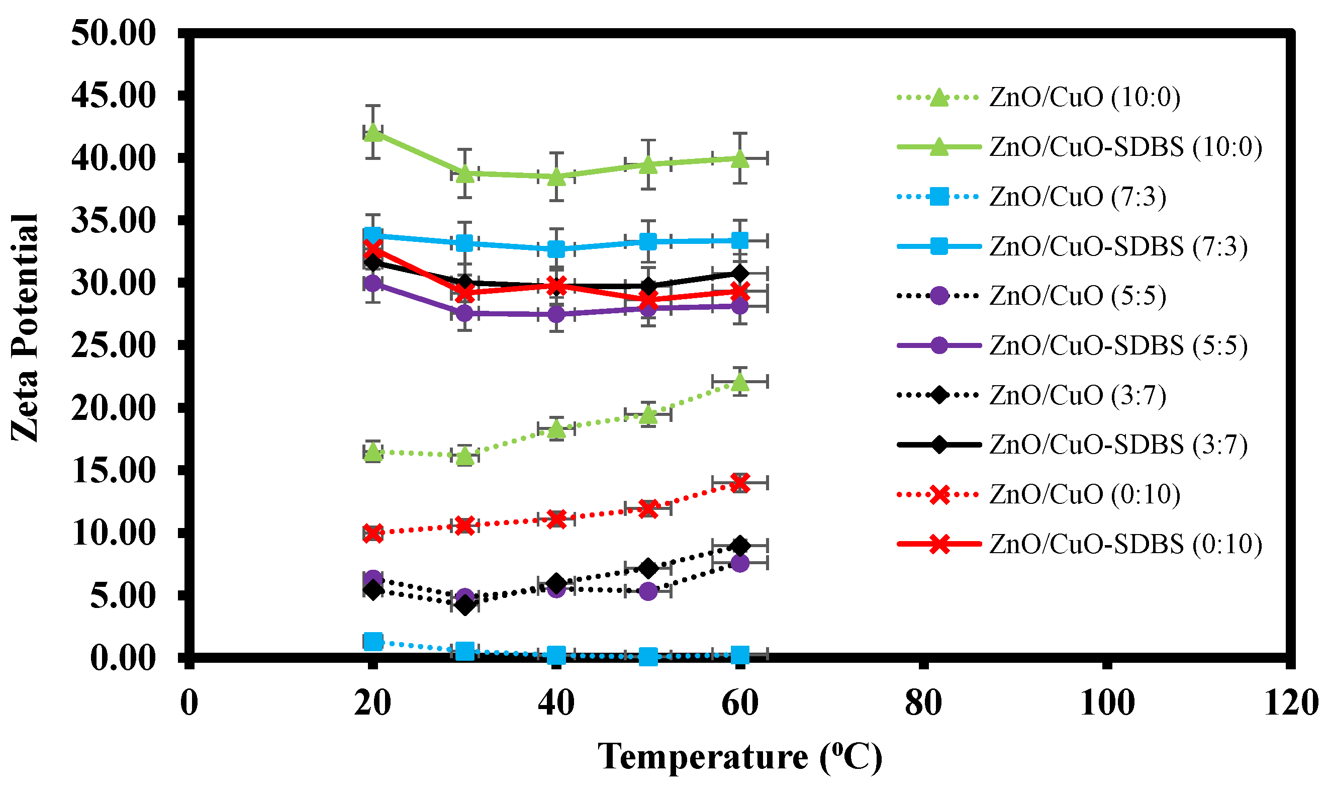
3.1. Stability of Hybrid Nanofluids
3.2. Thermal Conductivity and Viscosity of Hybrid Nanofluids
3.3. Experimental Results and Analysis
3.3.1. Validation Test of Experimental Approach
3.3.2. Thermal Performance of Jet Impingement
3.3.3. Effect of Mass Fraction
3.3.4. Effect of Various H/D Values
4. Conclusions and Recommendations
4.1. Conclusions
4.2. Recommendations for Future Work
- Hybrid nanofluid preparation method
- Jet impingement configuration
- Selection of hybrid nanoparticles
Author Contributions
Funding
Institutional Review Board Statement
Informed Consent Statement
Data Availability Statement
Conflicts of Interest
References
- Maxwell, J.C. A Treatise on Electricity and Magnetism; Cambridge University Press: Cambridge, UK, 2010; Volume 1. [Google Scholar]
- Masuda, H.; Ebata, A.; Teramae, K.; Hishinuma, N. Alteration of Thermal Conductivity and Viscosity of Liquid by Dispersing Ultra-Fine Particles. Dispersion of Al2O3, SiO2 and TiO2 Ultra-Fine Particles. Netsu Bussei 1993, 7, 227–233. [Google Scholar] [CrossRef]
- Choi, S.U.S. Enhancing thermal conductivity of fluids with nanoparticles. Am. Soc. Mech. Eng. Fluids Eng. Div. FED 1995, 231, 99–105. [Google Scholar]
- Babar, H.; Ali, H.M. Towards hybrid nanofluids: Preparation, thermophysical properties, applications, and challenges. J. Mol. Liq. 2019, 281, 598–633. [Google Scholar] [CrossRef]
- Rehman, M.M.; Qu, Z.G.; Fu, R.P.; Xu, H.T. Numerical study on free-surface jet impingement cooling with nanoencapsulated phase-change material slurry and nanofluid. Int. J. Heat Mass Transf. 2017, 109, 312–325. [Google Scholar] [CrossRef]
- Feng, X.; Cousineau, E.; Bennion, K.; Moreno, G.; Kekelia, B.; Narumanchi, S. Experimental and numerical study of heat transfer characteristics of single-phase free-surface fan jet impingement with automatic transmission fluid. Int. J. Heat Mass Transf. 2021, 166, 120731. [Google Scholar] [CrossRef]
- Sundar, L.S.; Sharma, K.V.; Singh, M.K.; Sousa, A.C.M. Hybrid nanofluids preparation, thermal properties, heat transfer and friction factor—A review. Renew. Sustain. Energy Rev. 2017, 68, 185–198. [Google Scholar] [CrossRef]
- Wohld, J.; Beck, J.; Inman, K.; Palmer, M.; Cummings, M.; Fulmer, R.; Vafaei, S. Hybrid Nanofluid Thermal Conductivity and Optimization Original Approach and Background. Nanomaterials 2022, 12, 2847. [Google Scholar] [CrossRef]
- Selimefendigil, F.; Öztop, H.F. Mixed convection of nanofluids in a three dimensional cavity with two adiabatic inner rotating cylinders. Int. J. Heat Mass Transf. 2018, 117, 331–343. [Google Scholar] [CrossRef]
- Zhang, Y.; Xu, X. Predicting the thermal conductivity enhancement of nanofluids using computational intelligence. Phys. Lett. A 2020, 384, 126500. [Google Scholar] [CrossRef]
- Zhang, Y.; Xu, X. Machine learning specific heat capacities of nanofluids containing CuO and Al2O3. AIChE J. 2021, 67, e17289. [Google Scholar] [CrossRef]
- Siddiqui, F.R.; Tso, C.Y.; Fu, S.C.; Qiu, H.H.; Chao, C.Y.H. Evaporation and wetting behavior of silver-graphene hybrid nanofluid droplet on its porous residue surface for various mixing ratios. Int. J. Heat Mass Transf. 2020, 153, 119618. [Google Scholar] [CrossRef]
- Sun, B.; Zhang, Y.; Yang, D.; Li, H. Experimental study on heat transfer characteristics of hybrid nanofluid impinging jets. Appl. Therm. Eng. 2019, 151, 556–566. [Google Scholar] [CrossRef]
- Hayat, T.; Nadeem, S. Heat transfer enhancement with Ag–CuO/water hybrid nanofluid. Results Phys. 2017, 7, 2317–2324. [Google Scholar] [CrossRef]
- Esfe, M.H.; Alirezaie, A.; Rejvani, M. An applicable study on the thermal conductivity of SWCNT-MgO hybrid nanofluid and price-performance analysis for energy management. Appl. Therm. Eng. 2017, 111, 1202–1210. [Google Scholar] [CrossRef]
- Leong, K.Y.; Razali, I.; Ahmad, K.Z.K.; Ong, H.C.; Ghazali, M.J.; Rahman, M.R.A. Thermal conductivity of an ethylene glycol/water-based nanofluid with copper-titanium dioxide nanoparticles: An experimental approach. Int. Commun. Heat Mass Transf. 2018, 90, 23–28. [Google Scholar] [CrossRef]
- Madhesh, D.; Kalaiselvam, S. Experimental study on heat transfer and rheological characteristics of hybrid nanofluids for cooling applications. J. Exp. Nanosci. 2015, 10, 1194–1213. [Google Scholar] [CrossRef]
- Zainal, N.A.; Nazar, R.; Naganthran, K.; Pop, I. Stability Analysis of Unsteady Hybrid Nanofluid Flow over the Falkner-Skan Wedge. Nanomaterials 2022, 12, 1771. [Google Scholar] [CrossRef]
- Modak, M.; Chougule, S.S.; Sahu, S.K. An Experimental Investigation on Heat Transfer Characteristics of Hot Surface by Using CuO-Water Nanofluids in Circular Jet Impingement Cooling. J. Heat Transfer. 2018, 140, 1–10. [Google Scholar] [CrossRef]
- Narayanan, V.; Seyed-Yagoobi, J.; Page, R.H. An experimental study of fluid mechanics and heat transfer in an impinging slot jet flow. Int. J. Heat Mass Transf. 2004, 47, 1827–1845. [Google Scholar] [CrossRef]
- Choo, K.; Friedrich, B.K.; Glaspell, A.W.; Schilling, K.A. The influence of nozzle-to-plate spacing on heat transfer and fluid flow of submerged jet impingement. Int. J. Heat Mass Transf. 2016, 97, 66–69. [Google Scholar] [CrossRef]
- Garimella, S.V.; Rice, R.A. Confined and submerged liquid jet impingement heat transfer. J. Heat Transfer. 1995, 117, 871–877. [Google Scholar] [CrossRef]
- Choo, K.S.; Kim, S.J. Comparison of thermal characteristics of confined and unconfined impinging jets. Int. J. Heat Mass Transf. 2010, 53, 3366–3371. [Google Scholar] [CrossRef]
- Shukla, A.K.; Dewan, A. Flow and thermal characteristics of jet impingement: Comprehensive review. Int. J. Heat Technol. 2017, 35, 153–166. [Google Scholar] [CrossRef]
- Wong, K.V.; de Leon, O. Applications of nanofluids: Current and future. Adv. Mech. Eng. 2010, 2010, 105–132. [Google Scholar] [CrossRef]
- Dey, D.; Kumar, P.; Samantaray, S. A review of nanofluid preparation, stability, and thermo-physical properties. Heat Transf. Asian Res. 2017, 46, 1413–1442. [Google Scholar] [CrossRef]
- Septiadi, W.N.; Trisnadewi, I.A.N.T.; Putra, N.; Setyawan, I. Synthesis of hybrid nanofluid with two-step method. E3S Web Conf. 2018, 67, 1–7. [Google Scholar] [CrossRef]
- Wongcharee, K.; Chuwattanakul, V.; Eiamsa-ard, S. Heat transfer of swirling impinging jets with TiO2-water nanofluids. Chem. Eng. Process. Process Intensif. 2017, 114, 16–23. [Google Scholar] [CrossRef]
- Yousefi, M.; Dinarvand, S.; Yazdi, M.E.; Pop, I. Stagnation-point flow of an aqueous titania-copper hybrid nanofluid toward a wavy cylinder. Int. J. Numer. Methods Heat Fluid Flow 2018, 28, 1716–1735. [Google Scholar] [CrossRef]
- Rostami, M.N.; Dinarvand, S.; Pop, I. Dual solutions for mixed convective stagnation-point flow of an aqueous silica–alumina hybrid nanofluid. Chinese J. Phys. 2018, 56, 2465–2478. [Google Scholar] [CrossRef]
- Dinarvand, S.; Rostami, M.N. An innovative mass-based model of aqueous zinc oxide–gold hybrid nanofluid for von Kármán’s swirling flow: A comprehensive report on effects of nanoparticle shape factor. J. Therm. Anal. Calorim. 2019, 138, 845–855. [Google Scholar] [CrossRef]
- Chakraborty, S.; Panigrahi, P.K. Stability of nanofluid: A review. Appl. Therm. Eng. 2020, 174, 115259. [Google Scholar] [CrossRef]
- Zufar, M.; Gunnasegaran, P.; Kumar, H.M.; Ng, K.C. Numerical and experimental investigations of hybrid nanofluids on pulsating heat pipe performance. Int. J. Heat Mass Transf. 2020, 146, 118887. [Google Scholar] [CrossRef]
- Nanan, K.; Wongcharee, K.; Nuntadusit, C.; Eiamsa-ard, S. Forced convective heat transfer by swirling impinging jets issuing from nozzles equipped with twisted tapes. Int. Commun. Heat Mass Transf. 2012, 39, 844–852. [Google Scholar] [CrossRef]
- Wongcharee, K.; Kunnarak, K.; Chuwattanakul, V.; Eiamsa-Ard, S. Heat transfer rate of swirling impinging jets issuing from a twisted tetra-lobed nozzle. Case Stud. Therm. Eng. 2020, 22, 100780. [Google Scholar] [CrossRef]




















| Parameter | Base Fluid | Nanoparticles | |
|---|---|---|---|
| Water | ZnO | CuO | |
| k (W m−1 k−1) | 0.613 | 13 | 18 | 
| ρ (kg m−3) | 997 | 5600 | 6320 | 
| Cp (J kg−1 K−1) | 4179 | 495.2 | 540 | 
| Particle size (nm) | - | <50 | <50 | 
| Colour | - | White to yellow | Black | 
| Specific surface area (m2g−1) | 88.89 | 99.67 | |
| No. | Component Name | Model | Details | Component Error | 
|---|---|---|---|---|
| 1 | Shimaden digital controller | SRS11A | Measuring range: 0–800 °C Temperature control range: 0–200 °C | ±0.25% of full scale (FS) | 
| 2 | Murata power solutions’ series AC power meter | ACM20 | Display frequency: 0.1 Hz | ±1% of FS | 
| 3 | Submersible pump (inlet) | QR50C | Max flow rate: 240 L/h Power consumption: 6 W | ±5% of FS | 
| 4 | Submersible pump (outlet) | QR50D | Max flow rate: 400 L/h Max power: 10 W | ±5% of FS | 
| 6 | Temperature data logger | Picolog-TC-08 | Number of channels: 8 Resolution: 20 bits | ±0.2% of FS | 
| 7 | Flow rate data logger | Picolog-1216 | Number of channels: 16 Resolution 12 Bits | ±0.5% of FS | 
| 8 | Flow rate sensor | YF-S401 | Range: 60–300 L/h | ±2 L/min | 
| 9 | Heater pad | Maltec-h | Size: D = 15 cm Thickness: 0.1 cm Max temp: 200 °C | ±5 °C | 
| Parameter | Accuracy | 
|---|---|
| Heated plate diameter | 1 mm | 
| Width of heated plate | 0.02 mm | 
| Jet nozzle diameter | 0.02 mm | 
| Temperature | 0.1 °C | 
| Working fluid flow rate | 2 L/min | 
| Time | 0.01 s | 
| Parameter | Equations | Uncertainty | 
|---|---|---|
| Heat transfer coefficient | 7.80 | |
| Reynolds number | 5.50 | |
| Nusselt number | 8.90 | 
| Publisher’s Note: MDPI stays neutral with regard to jurisdictional claims in published maps and institutional affiliations. | 
© 2022 by the authors. Licensee MDPI, Basel, Switzerland. This article is an open access article distributed under the terms and conditions of the Creative Commons Attribution (CC BY) license (https://creativecommons.org/licenses/by/4.0/).
Share and Cite
Jen Wai, O.; Gunnasegaran, P.; Hasini, H. Effect of Hybrid Nanofluids Concentration and Swirling Flow on Jet Impingement Cooling. Nanomaterials 2022, 12, 3258. https://doi.org/10.3390/nano12193258
Jen Wai O, Gunnasegaran P, Hasini H. Effect of Hybrid Nanofluids Concentration and Swirling Flow on Jet Impingement Cooling. Nanomaterials. 2022; 12(19):3258. https://doi.org/10.3390/nano12193258
Chicago/Turabian StyleJen Wai, Ooi, Prem Gunnasegaran, and Hasril Hasini. 2022. "Effect of Hybrid Nanofluids Concentration and Swirling Flow on Jet Impingement Cooling" Nanomaterials 12, no. 19: 3258. https://doi.org/10.3390/nano12193258
APA StyleJen Wai, O., Gunnasegaran, P., & Hasini, H. (2022). Effect of Hybrid Nanofluids Concentration and Swirling Flow on Jet Impingement Cooling. Nanomaterials, 12(19), 3258. https://doi.org/10.3390/nano12193258
 
        



 
       