Natural Convection within Inversed T-Shaped Enclosure Filled by Nano-Enhanced Phase Change Material: Numerical Investigation
Abstract
:1. Introduction
2. Problem Formulation
3. Numerical Methodology
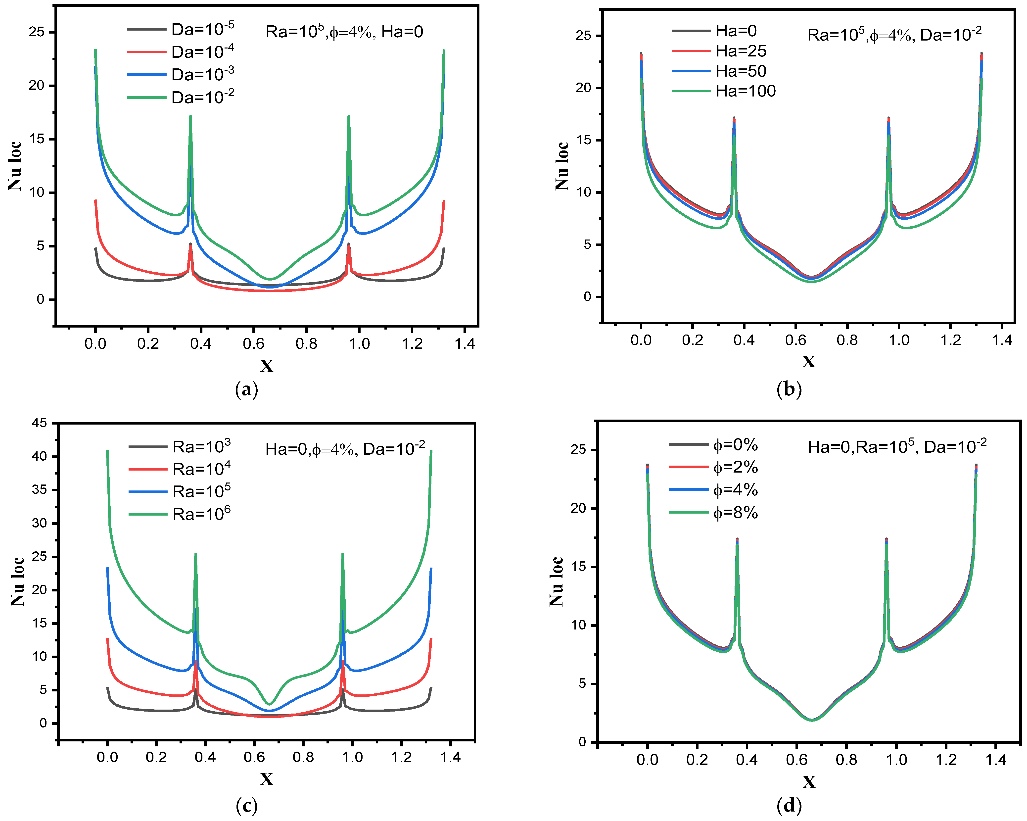
4. Results and Discussion
5. Conclusions
- Increasing the porosity of the container makes the flow velocity better, increasing heat transmission.
- Rayleigh number controls the thermal buoyancy force; it was found that increasing this force moves the suspension flow better and has a positive effect on heat transfer.
- The magnetic field creates a force that opposes the movement of the flow. Therefore, the stronger the magnetic field, the lower the flow speed, and consequently, increased thermal activity.
- The movement of the flow within the space is characterized by the development of two identical vortices, as the higher the speed of the flow, the more the development of the vortices is served.
- The bar indicating the location of the change in the physical state of PCM elopements is characterized by two states: the first is the presence of a single band hovering around the heated surface for the low speed of the flow; the second case is characterized by the presence of two opposite bands, one on the right and the other on the left when the flow speed is high.
Author Contributions
Funding
Institutional Review Board Statement
Informed Consent Statement
Data Availability Statement
Acknowledgments
Conflicts of Interest
References
- Rashidi, M.M.; Mahariq, I.; Alhuyi Nazari, M.; Accouche, O.; Bhatti, M.M. Comprehensive review on exergy analysis of shell and tube heat exchangers. J. Therm. Anal. Calorim. 2022, 1–11. [Google Scholar] [CrossRef]
- Shahid, A.; Bhatti, M.M.; Ellahi, R.; Mekheimer, K.S. Numerical experiment to examine activation energy and bi-convection Carreau nanofluid flow on an upper paraboloid porous surface: Application in solar energy. Sustain. Energy Technol. Assess. 2022, 52, 102029. [Google Scholar] [CrossRef]
- Molana, M.; Zarrinderafsh, V.; Chamkha, A.J.; Izadi, S.; Rafizadeh, S. Magnetohydrodynamics convection in nanofluids-filled cavities: A review. Heat Transf. 2020, 49, 1418–1443. [Google Scholar] [CrossRef]
- Giwa, S.O.; Sharifpur, M.; Ahmadi, M.H.; Meyer, J.P. A review of magnetic field influence on natural convection heat transfer performance of nanofluids in square cavities. J. Therm. Anal. Calorim. 2021, 145, 2581–2623. [Google Scholar] [CrossRef]
- Hemmat Esfe, M.; Afrand, M.; Esfandeh, S. Investigation of the effects of various parameters on the natural convection of nanofluids in various cavities exposed to magnetic fields: A comprehensive review. J. Therm. Anal. Calorim. 2020, 140, 2055–2075. [Google Scholar] [CrossRef]
- Mourad, A.; Aissa, A.; Said, Z.; Younis, O.; Iqbal, M.; Alazzam, A. Recent advances on the applications of phase change materials for solar collectors, practical limitations, and challenges: A critical review. J. Energy Storage 2022, 49, 104186. [Google Scholar] [CrossRef]
- Bhatti, M.M.; Jun, S.; Khalique, C.M.; Shahid, A.; Fasheng, L.; Mohamed, M.S. Lie group analysis and robust computational approach to examine mass transport process using Jeffrey fluid model. Appl. Math. Comput. 2022, 421, 126936. [Google Scholar] [CrossRef]
- Raizah, Z.A.S.; Aly, A.M.; Ahmed, S.E. Natural convection flow of a nanofluid-filled V-shaped cavity saturated with a heterogeneous porous medium: Incompressible smoothed particle hydrodynamics analysis. Ain Shams Eng. J. 2021, 12, 2033–2046. [Google Scholar] [CrossRef]
- Khan, Z.H.; Khan, W.A.; Elbaz, A.M.R.; Qasim, M.; Alharbi, S.O.; Sun, L. Natural convection in triangular fin-shaped cavity with partially heated base using nanofluid. ZAMM J. Appl. Math. Mech. 2021, 101, e202000306. [Google Scholar] [CrossRef]
- Ghalambaz, M.; Hashem Zadeh, S.M.; Veismoradi, A.; Sheremet, M.A.; Pop, I. Free Convection Heat Transfer and Entropy Generation in an Odd-Shaped Cavity Filled with a Cu-Al2O3 Hybrid Nanofluid. Symmetry 2021, 13, 122. [Google Scholar] [CrossRef]
- Asmadi, M.S.; Md Kasmani, R.; Siri, Z.; Saleh, H. Thermal performance analysis for moderate Rayleigh numbers of Newtonian hybrid nanofluid-filled U-shaped cavity with various thermal profiles. Phys. Fluids 2021, 33, 32006. [Google Scholar] [CrossRef]
- Nabwey, H.A.; Rashad, A.M.; Khan, W.A.; Alshber, S.I. Effectiveness of magnetize flow on nanofluid via unsteady natural convection inside an inclined U-shaped cavity with discrete heating. Alex. Eng. J. 2022, 61, 8653–8666. [Google Scholar] [CrossRef]
- Geridonmez, B.P.; Oztop, H.F. Natural convection of hybrid nanofluid flow in the presence of multiple vertical partial magnetic fields in a trapezoidal shaped cavity. Eur. Phys. J. Spec. Top. 2022. [Google Scholar] [CrossRef]
- Ahmed, S.E.; Abderrahmane, A.; Alotaibi, S.; Younis, O.; Almasri, R.A.; Hussam, W.K. Enhanced Heat Transfer for NePCM-Melting-Based Thermal Energy of Finned Heat Pipe. Nanomaterials 2021, 12, 129. [Google Scholar] [CrossRef]
- Al-Kouz, W.; Aissa, A.; Devi, S.S.U.; Prakash, M.; Kolsi, L.; Moria, H.; Jamshed, W.; Younis, O. Effect of a rotating cylinder on the 3D MHD mixed convection in a phase change material filled cubic enclosure. Sustain. Energy Technol. Assess. 2022, 51, 101879. [Google Scholar] [CrossRef]
- Bhatti, M.M.; Bég, O.A.; Ellahi, R.; Abbas, T. Natural Convection Non-Newtonian EMHD Dissipative Flow Through a Microchannel Containing a Non-Darcy Porous Medium: Homotopy Perturbation Method Study. Qual. Theory Dyn. Syst. 2022, 21, 97. [Google Scholar] [CrossRef]
- Bhatti, M.M.; Ellahi, R.; Hossein Doranehgard, M. Numerical study on the hybrid nanofluid (Co3O4-Go/H2O) flow over a circular elastic surface with non-Darcy medium: Application in solar energy. J. Mol. Liq. 2022, 361, 119655. [Google Scholar] [CrossRef]
- NematpourKeshteli, A.; Iasiello, M.; Langella, G.; Bianco, N. Enhancing PCMs thermal conductivity: A comparison among porous metal foams, nanoparticles and finned surfaces in triplex tube heat exchangers. Appl. Therm. Eng. 2022, 212, 118623. [Google Scholar] [CrossRef]
- Li, Z.-R.; Fu, G.-T.; Fan, L.-W. Synergistic effects of nano-enhanced phase change material (NePCM) and fin shape on heat storage performance of a finned shell-and-tube unit: An experimental study. J. Energy Storage 2022, 45, 103772. [Google Scholar] [CrossRef]
- Cao, Y.; Mansir, I.B.; Mouldi, A.; Aouaini, F.; Bouzgarrou, S.M.; Marzouki, R.; Dahari, M.; Wae-hayee, M.; Mohamed, A. Designing a system for battery thermal management: Cooling LIBs by nano-encapsulated phase change material. Case Stud. Therm. Eng. 2022, 33, 101943. [Google Scholar] [CrossRef]
- Mohammadpour, J.; Salehi, F.; Lee, A. Performance of nano encapsulated phase change material slurry heat transfer in a microchannel heat sink with dual-circular synthetic jets. Int. J. Heat Mass Transf. 2022, 184, 122265. [Google Scholar] [CrossRef]
- Iachachene, F.; Haddad, Z.; Arıcı, M.; Abu-Nada, E.; Sheremet, M.A. The effect of nano encapsulated phase change materials and nanoparticles on turbulent heat transport: A conical diffuser scenario. J. Energy Storage 2022, 52, 104703. [Google Scholar] [CrossRef]
- Abderrahmane, A.; Hatami, M.; Younis, O.; Mourad, A. Effect of double rotating cylinders on the MHD mixed convection and entropy generation of a 3D cubic enclosure filled by nano-PCM. Eur. Phys. J. Spec. Top. 2022, 1–13. [Google Scholar]
- Doshi, S.; Kashyap, G.; Tiwari, N. Thermo-hydraulic and entropy generation investigation of nano-encapsulated phase change material (NEPCM) slurry in hybrid wavy microchannel. Int. J. Numer. Methods Heat Fluid Flow 2022. [Google Scholar] [CrossRef]
- Bhatti, M.M.; Bég, O.A.; Abdelsalam, S.I. Computational Framework of Magnetized MgO–Ni/Water-Based Stagnation Nanoflow Past an Elastic Stretching Surface: Application in Solar Energy Coatings. Nanomater. 2022, 12, 1049. [Google Scholar] [CrossRef]
- Bhatti, M.M.; Öztop, H.F.; Ellahi, R.; Sarris, I.E.; Doranehgard, M.H. Insight into the investigation of diamond (C) and Silica (SiO2) nanoparticles suspended in water-based hybrid nanofluid with application in solar collector. J. Mol. Liq. 2022, 357, 119134. [Google Scholar] [CrossRef]
- Alehosseini, E.; Jafari, S.M. Nanoencapsulation of phase change materials (PCMs) and their applications in various fields for energy storage and management. Adv. Colloid Interface Sci. 2020, 283, 102226. [Google Scholar] [CrossRef]
- Peng, H.; Wang, J.; Zhang, X.; Ma, J.; Shen, T.; Li, S.; Dong, B. A review on synthesis, characterization and application of nanoencapsulated phase change materials for thermal energy storage systems. Appl. Therm. Eng. 2021, 185, 116326. [Google Scholar]
- Rodriguez-Cumplido, F.; Pabon-Gelves, E.; Chejne-Jana, F. Recent developments in the synthesis of microencapsulated and nanoencapsulated phase change materials. J. Energy Storage 2019, 24, 100821. [Google Scholar] [CrossRef]
- Liu, C.; Cheng, Q.; Liu, X.; Cao, H.; Jin, S.; Liu, Y.; Rao, Z. Theoretical prediction and experimental investigation on nanoencapsulated phase change material with improved thermal energy storage performance. Sol. Energy Mater. Sol. Cells 2022, 241, 111741. [Google Scholar] [CrossRef]
- Yuan, H.; Liu, S.; Hao, S.; Zhang, Z.; An, H.; Tian, W.; Chan, M.; Bai, H. Fabrication and properties of nanoencapsulated stearic acid phase change materials with Ag shell for solar energy storage. Sol. Energy Mater. Sol. Cells 2022, 239, 111653. [Google Scholar] [CrossRef]
- Khanna, S.; Paneliya, S.; Marathey, P.; Shah, K.; Prajapati, P.; Chaudhari, R.; Vora, J. Investigation of Thermophysical Properties of Synthesized N-Hexacosane-Encapsulated Titania Phase Change Material for Enhanced Thermal Storage Application BT—Recent Advances in Mechanical Infrastructure; Parwani, A.K., Ramkumar, P.L., Abhishek, K., Yadav, S.K., Eds.; Springer Nature Singapore: Singapore, 2022; pp. 107–118. [Google Scholar]
- Khanna, S.; Paneliya, S.; Prajapati, P.; Mukhopadhyay, I.; Jouhara, H. Ultra-stable silica/exfoliated graphite encapsulated n-hexacosane phase change nanocomposite: A promising material for thermal energy storage applications. Energy 2022, 250, 123729. [Google Scholar] [CrossRef]
- Cao, Y.; Farouk, N.; Ayed, H.; Aly, A.A.; Jarad, F.; Dahari, M.; Wae-hayee, M.; Saleh, B. Heat transfer improvement between a pair of heater and cooler inside an energy storage by using nano-encapsulated phase change material/water: A numerical modeling. Case Stud. Therm. Eng. 2022, 30, 101770. [Google Scholar] [CrossRef]
- Alhashash, A.; Saleh, H. Free convection flow of a heterogeneous mixture of water and nano-encapsulated phase change particle (NEPCP) in enclosure subject to rotation. J. Energy Storage 2022, 51, 104168. [Google Scholar] [CrossRef]
- Koulali, A.; Abderrahmane, A.; Jamshed, W.; Hussain, S.M.; Nisar, K.S.; Abdel-Aty, A.H.; Yahia, I.S.; Eid, M.R. Comparative study on effects of thermal gradient direction on heat exchange between a pure fluid and a nanofluid: Employing finite volume method. Coatings 2021, 11, 1481. [Google Scholar] [CrossRef]
- Zidan, A.M.; Nayak, M.K.; Karimi, N.; Sattar Dogonchi, A.; Chamkha, A.J.; Ben Hamida, M.B.; Galal, A.M. Thermal management and natural convection flow of nano encapsulated phase change material (NEPCM)-water suspension in a reverse T-shaped porous cavity enshrining two hot corrugated baffles: A boost to renewable energy storage. J. Build. Eng. 2022, 53, 104550. [Google Scholar] [CrossRef]
- Al-Kouz, W.; Abderrahmane, A.; Shamshuddin, M.D.; Younis, O.; Mohammed, S.; Bég, O.A.; Toghraie, D. Heat transfer and entropy generation analysis of water-Fe3O4/CNT hybrid magnetic nanofluid flow in a trapezoidal wavy enclosure containing porous media with the Galerkin finite element method. Eur. Phys. J. Plus 2021, 136, 1184. [Google Scholar] [CrossRef]
- Alshare, A.; Abderrahmane, A.; Guedri, K.; Younis, O.; Fayz-Al-Asad, M.; Ali, H.M.; Al-Kouz, W. Hydrothermal and Entropy Investigation of Nanofluid Natural Convection in a Lid-Driven Cavity Concentric with an Elliptical Cavity with a Wavy Boundary Heated from Below. Nanomaterials 2022, 12, 1392. [Google Scholar] [CrossRef]
- Heydarian, R.; Shafii, M.B.; Rezaee Shirin-Abadi, A.; Ghasempour, R.; Alhuyi Nazari, M. Experimental investigation of paraffin nano-encapsulated phase change material on heat transfer enhancement of pulsating heat pipe. J. Therm. Anal. Calorim. 2019, 137, 1603–1613. [Google Scholar] [CrossRef]
- Ho, C.J.; Liu, Y.-C.; Ghalambaz, M.; Yan, W.-M. Forced convection heat transfer of Nano-Encapsulated Phase Change Material (NEPCM) suspension in a mini-channel heatsink. Int. J. Heat Mass Transf. 2020, 155, 119858. [Google Scholar] [CrossRef]
- Mehryan, S.A.M.; Ghalambaz, M.; Sasani Gargari, L.; Hajjar, A.; Sheremet, M. Natural convection flow of a suspension containing nano-encapsulated phase change particles in an eccentric annulus. J. Energy Storage 2020, 28, 101236. [Google Scholar] [CrossRef]
- Sadr, A.N.; Shekaramiz, M.; Zarinfar, M.; Esmaily, A.; Khoshtarash, H.; Toghraie, D. Simulation of mixed-convection of water and nano-encapsulated phase change material inside a square cavity with a rotating hot cylinder. J. Energy Storage 2022, 47, 103606. [Google Scholar] [CrossRef]
- Ghalambaz, M.; Chamkha, A.J.; Wen, D. Natural convective flow and heat transfer of nano-encapsulated phase change materials (NEPCMs) in a cavity. Int. J. Heat Mass Transf. 2019, 138, 738–749. [Google Scholar] [CrossRef]
- Al-Khaleel, M.D.; Gander, M.J.; Ruehli, A.E. Optimized waveform relaxation solution of RLCG transmission line type circuits. In Proceedings of the 2013 9th International Conference on Innovations in Information Technology, IIT 2013, Al Ain, United Arab Emirates, 17–19 March 2013; pp. 136–140. [Google Scholar]
- Wu, S.-L.; Al-Khaleel, M.D. Semi-discrete Schwarz waveform relaxation algorithms for reaction diffusion equations. BIT Numer. Math. 2014, 54, 831–866. [Google Scholar] [CrossRef]
- Wu, S.-L.; Al-Khaleel, M. Convergence analysis of the Neumann–Neumann waveform relaxation method for time-fractional RC circuits. Simul. Model. Pract. Theory 2016, 64, 43–56. [Google Scholar] [CrossRef]
- Wu, S.-L.; Al-Khaleel, M.D. Optimized waveform relaxation methods for RC circuits: Discrete case. ESAIM Math. Model. Numer. Anal. 2017, 51, 209–223. [Google Scholar] [CrossRef]







| Material | ||||
|---|---|---|---|---|
| Polyurethane: shell | 786 | |||
| Nonadecane: core | 721 | |||
| Water: base fluid |
| No. of Elements | 1141 | 2318 | 5400 | 21,999 | 81,359 |
|---|---|---|---|---|---|
| 33.072 | 33.175 | 33.236 | 33.225 | 33.221 | |
| 10.602 | 10.624 | 10.622 | 10.624 | 10.624 |
Publisher’s Note: MDPI stays neutral with regard to jurisdictional claims in published maps and institutional affiliations. |
© 2022 by the authors. Licensee MDPI, Basel, Switzerland. This article is an open access article distributed under the terms and conditions of the Creative Commons Attribution (CC BY) license (https://creativecommons.org/licenses/by/4.0/).
Share and Cite
Abderrahmane, A.; Al-Khaleel, M.; Mourad, A.; Laidoudi, H.; Driss, Z.; Younis, O.; Guedri, K.; Marzouki, R. Natural Convection within Inversed T-Shaped Enclosure Filled by Nano-Enhanced Phase Change Material: Numerical Investigation. Nanomaterials 2022, 12, 2917. https://doi.org/10.3390/nano12172917
Abderrahmane A, Al-Khaleel M, Mourad A, Laidoudi H, Driss Z, Younis O, Guedri K, Marzouki R. Natural Convection within Inversed T-Shaped Enclosure Filled by Nano-Enhanced Phase Change Material: Numerical Investigation. Nanomaterials. 2022; 12(17):2917. https://doi.org/10.3390/nano12172917
Chicago/Turabian StyleAbderrahmane, Aissa, Mohammad Al-Khaleel, Abed Mourad, Houssem Laidoudi, Zied Driss, Obai Younis, Kamel Guedri, and Riad Marzouki. 2022. "Natural Convection within Inversed T-Shaped Enclosure Filled by Nano-Enhanced Phase Change Material: Numerical Investigation" Nanomaterials 12, no. 17: 2917. https://doi.org/10.3390/nano12172917
APA StyleAbderrahmane, A., Al-Khaleel, M., Mourad, A., Laidoudi, H., Driss, Z., Younis, O., Guedri, K., & Marzouki, R. (2022). Natural Convection within Inversed T-Shaped Enclosure Filled by Nano-Enhanced Phase Change Material: Numerical Investigation. Nanomaterials, 12(17), 2917. https://doi.org/10.3390/nano12172917

