On Time-Dependent Rheology of Sutterby Nanofluid Transport across a Rotating Cone with Anisotropic Slip Constraints and Bioconvection
Abstract
:1. Introduction
2. Physical Model and Mathematical Formulation
3. Numerical Scheme
4. Results and Discussion
5. Conclusions
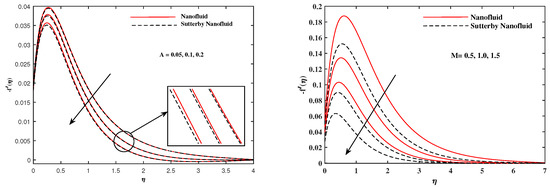
- In the x-direction, velocity slows down against mounting inputs of A, M, , , , and while it upsurges with and .
- In the y-direction, velocity slows down against mounting inputs of A, M, , and .
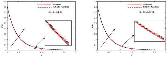
- A rising trend is observed in temperature profile when , , and take larger values but it decreases when , A, , and are uplifted.
- Concentration profile decrease when , A, , , and intensifies but the opposite behavior is observed for and .
- Motile density profile decreases when , A, , , and intensifies but the opposite behavior is observed for .
- The skin friction factor along x-direction continues to decrease against A, S, M, , and but it increases directly with mixed convection parameter . Moreover, parameters A, S, and M incremented but parameter was reduced significantly.
- The local temperature rate on the cone surface decreased against , , and but its increased with A and .
- increases directly with A, , and , but it reduces against and .
- Motile density number is directly enhanced with A, , and but it diminishes against .
6. Future Directions
Author Contributions
Funding
Funding
Data Availability Statement
Acknowledgments
Conflicts of Interest
Nomenclature
| List of Symbols | |
| Velocity components (m/s) | |
| Cartesian coordinates (m) | |
| t | Time (s) |
| g | Gravity acceleration (m/s) |
| S | Deportment index |
| Consistency index | |
| Prandtl number | |
| Reynolds number | |
| Heat transfer coefficient (W/m) | |
| Brownian motion coefficient (m/s) | |
| Sutterby Deborah number | |
| Buoyancy ratio parameter | |
| Thermophorsis coefficient (m/s) | |
| Micro-organisms diffusivity coefficient (m/s) | |
| Chemotaxis constant (m) | |
| Swimming speed of cell (m/s) | |
| Sutterby Reynolds number | |
| Bioconvection Rayleigh number | |
| Prandtl number | |
| Grashoff number | |
| M | Magnetic field (tesla (symbol T)) |
| Brownian motion parameter | |
| Thermophoresis parameter | |
| Bioconvection Lewis number | |
| Bioconvection Peclet number | |
| Schmidt number | |
| Lewis number | |
| Greek Symbols | |
| u-velocity slip | |
| v-velocity slip | |
| Solutal slip | |
| Motile density slip | |
| Thermal slip | |
| Fluid density (kg/m) | |
| Mixed convection parameter | |
| Thermal diffusivity (m/s) | |
| Average volume of micro-organism | |
| Micro-organism density | |
| Ratio of heat capacity of nanofluid | |
| Subscripts | |
| p | Nanoparticles |
| w | On the wall |
| ∞ | Ambient |
References
- Deebani, W.; Tassaddiq, A.; Shah, Z.; Dawar, A.; Ali, F. Hall effect on radiative Casson fluid flow with chemical reaction on a rotating cone through entropy optimization. Entropy 2020, 22, 480. [Google Scholar] [CrossRef] [PubMed] [Green Version]
- Verma, K.; Borgohain, D.; Sharma, B. Soret and Dufour effects on MHD flow about a rotating vertical cone in presence of radiation. J. Math. Comput. Sci. 2021, 11, 3188–3204. [Google Scholar]
- Ahmad, S.; Ali, K.; Saleem, R.; Bashir, H. Thermal analysis of nanofluid flow due to rotating cone/plate—A numerical study. AIP Adv. 2020, 10, 075024. [Google Scholar] [CrossRef]
- Ahmad, S.; Ali, K.; Bashir, H. Interaction of micropolar fluid structure with the porous media in the flow due to a rotating cone. Alex. Eng. J. 2021, 60, 1249–1257. [Google Scholar] [CrossRef]
- Hazarika, G.; Phukan, B.; Ahmed, S. Effect of Variable Viscosity and Thermal Conductivity on Unsteady Free Convective Flow of a Micropolar Fluid Past a Vertical Cone. J. Eng. Phys. Thermophys. 2020, 93, 178–185. [Google Scholar] [CrossRef]
- Dawar, A.; Shah, Z.; Tassaddiq, A.; Kumam, P.; Islam, S.; Khan, W. A convective flow of williamson nanofluid through cone and wedge with non-isothermal and non-isosolutal conditions: A revised buongiorno model. Case Stud. Therm. Eng. 2021, 24, 100869. [Google Scholar] [CrossRef]
- Nabwey, H.A.; Mahdy, A. Numerical approach of micropolar dust-particles natural convection fluid flow due to a permeable cone with nonlinear temperature. Alex. Eng. J. 2021, 60, 1739–1749. [Google Scholar] [CrossRef]
- Naseem, A.; Shafiq, A.; Zhao, L.; Farooq, M. Analytical investigation of third grade nanofluidic flow over a riga plate using Cattaneo-Christov model. Results Phys. 2018, 9, 961–969. [Google Scholar] [CrossRef]
- Uddin, M.; Bég, O.A.; Aziz, A.; Ismail, A. Group analysis of free convection flow of a magnetic nanofluid with chemical reaction. Math. Probl. Eng. 2015, 2015, 621503. [Google Scholar] [CrossRef] [Green Version]
- Waqas, M.; Farooq, M.; Khan, M.I.; Alsaedi, A.; Hayat, T.; Yasmeen, T. Magnetohydrodynamic (MHD) mixed convection flow of micropolar liquid due to nonlinear stretched sheet with convective condition. Int. J. Heat Mass Transf. 2016, 102, 766–772. [Google Scholar] [CrossRef]
- Srinivas, S.; Vijayalakshmi, A.; Reddy, A.S.; Ramamohan, T. MHD flow of a nanofluid in an expanding or contracting porous pipe with chemical reaction and heat source/sink. Propuls. Power Res. 2016, 5, 134–148. [Google Scholar] [CrossRef] [Green Version]
- Habib, D.; Salamat, N.; Abdal, S.; Siddique, I.; Ang, M.C.; Ahmadian, A. On the role of bioconvection and activation energy for time dependent nanofluid slip transpiration due to extending domain in the presence of electric and magnetic fields. Ain Shams Eng. J. 2022, 13, 101519. [Google Scholar] [CrossRef]
- Ali, B.; Naqvi, R.A.; Nie, Y.; Khan, S.A.; Sadiq, M.T.; Rehman, A.U.; Abdal, S. Variable viscosity effects on unsteady MHD an axisymmetric nanofluid flow over a stretching surface with thermo-diffusion: Fem approach. Symmetry 2020, 12, 234. [Google Scholar] [CrossRef] [Green Version]
- Abdal, S.; Alhumade, H.; Siddique, I.; Alam, M.M.; Ahmad, I.; Hussain, S. Radiation and multiple slip effects on magnetohydrodynamic bioconvection flow of micropolar based nanofluid over a stretching surface. Appl. Sci. 2021, 11, 5136. [Google Scholar] [CrossRef]
- Iasiello, M.; Vafai, K.; Andreozzi, A.; Bianco, N. Hypo-and hyperthermia effects on LDL deposition in a curved artery. Comput. Therm. Sci. Int. J. 2019, 11, 95–103. [Google Scholar] [CrossRef]
- Vazifehshenas, F.H.; Bahadori, F. Investigation of Soret effect on drug delivery in a tumor without necrotic core. J. Taiwan Inst. Chem. Eng. 2019, 102, 17–24. [Google Scholar] [CrossRef]
- Choi, S.U.; Eastman, J.A. Enhancing Thermal Conductivity of Fluids with Nanoparticles; Technical Report; Argonne National Lab.: Argonne, IL, USA, 1995. [Google Scholar]
- Khan, N.S.; Gul, T.; Islam, S.; Khan, I.; Alqahtani, A.M.; Alshomrani, A.S. Magnetohydrodynamic nanoliquid thin film sprayed on a stretching cylinder with heat transfer. Appl. Sci. 2017, 7, 271. [Google Scholar] [CrossRef]
- Kuznetsov, A.; Nield, D. Natural convective boundary-layer flow of a nanofluid past a vertical plate. Int. J. Therm. Sci. 2010, 49, 243–247. [Google Scholar] [CrossRef]
- Turkyilmazoglu, M. Nanofluid flow and heat transfer due to a rotating disk. Comput. Fluids 2014, 94, 139–146. [Google Scholar] [CrossRef]
- Hsiao, K.L. Micropolar nanofluid flow with MHD and viscous dissipation effects towards a stretching sheet with multimedia feature. Int. J. Heat Mass Transf. 2017, 112, 983–990. [Google Scholar] [CrossRef]
- Yahya, A.U.; Salamat, N.; Huang, W.H.; Siddique, I.; Abdal, S.; Hussain, S. Thermal charactristics for the flow of Williamson hybrid nanofluid (MoS2+ ZnO) based with engine oil over a streched sheet. Case Stud. Therm. Eng. 2021, 26, 101196. [Google Scholar] [CrossRef]
- Abdal, S.; Hussain, S.; Siddique, I.; Ahmadian, A.; Ferrara, M. On solution existence of MHD Casson nanofluid transportation across an extending cylinder through porous media and evaluation of priori bounds. Sci. Rep. 2021, 11, 7799. [Google Scholar] [CrossRef] [PubMed]
- Ahmad, F.; Abdal, S.; Ayed, H.; Hussain, S.; Salim, S.; Almatroud, A.O. The improved thermal efficiency of Maxwell hybrid nanofluid comprising of graphene oxide plus silver/kerosene oil over stretching sheet. Case Stud. Therm. Eng. 2021, 27, 101257. [Google Scholar] [CrossRef]
- Nayak, M.; Prakash, J.; Tripathi, D.; Pandey, V.; Shaw, S.; Makinde, O. 3D Bioconvective multiple slip flow of chemically reactive Casson nanofluid with gyrotactic micro-organisms. Heat Transf.-Asian Res. 2020, 49, 135–153. [Google Scholar] [CrossRef]
- Mansour, M.A.; Rashad, A.M.; Mallikarjuna, B.; Hussein, A.K.; Aichouni, M.; Kolsi, L. MHD mixed bioconvection in a square porous cavity filled by gyrotactic microorganisms. Int. J. Heat Technol. 2019, 37, 433–445. [Google Scholar] [CrossRef] [Green Version]
- Balla, C.S.; Haritha, C.; Naikoti, K.; Rashad, A. Bioconvection in nanofluid-saturated porous square cavity containing oxytactic microorganisms. Int. J. Numer. Methods Heat Fluid Flow 2019, 2019, 1–37. [Google Scholar] [CrossRef]
- Khan, S.U.; Rauf, A.; Shehzad, S.A.; Abbas, Z.; Javed, T. Study of bioconvection flow in Oldroyd-B nanofluid with motile organisms and effective Prandtl approach. Phys. A Stat. Mech. Its Appl. 2019, 527, 121179. [Google Scholar] [CrossRef]
- Khan, S.; Shehzad, S.A.; Ali, N. Analysis of bioconvection in the suspension of Maxwell nanoparticles with gyrotactic microorganisms: A Prandtl effective approach. Multidiscip. Model. Mater. Struct. 2019, 16, 835–849. [Google Scholar] [CrossRef]
- Ali, B.; Hussain, S.; Abdal, S.; Mehdi, M.M. Impact of Stefan blowing on thermal radiation and Cattaneo–Christov characteristics for nanofluid flow containing microorganisms with ablation/accretion of leading edge: FEM approach. Eur. Phys. J. Plus 2020, 135, 821. [Google Scholar] [CrossRef]
- Abdul, L.N.A.; Uddin, M.J.; Ahmad, I.M. Unsteady MHD bio-nanoconvective anistropic slip flow past a vertical rotating cone. Therm. Sci. 2019, 23, 427–441. [Google Scholar] [CrossRef]
- Uddin, M.J.; Kabir, M.N.; Alginahi, Y.M. Lie group analysis and numerical solution of magnetohydrodynamic free convective slip flow of micropolar fluid over a moving plate with heat transfer. Comput. Math. Appl. 2015, 70, 846–856. [Google Scholar] [CrossRef] [Green Version]
- Saleem, S.; Nadeem, S. Theoretical analysis of slip flow on a rotating cone with viscous dissipation effects. J. Hydrodyn. Ser. B 2015, 27, 616–623. [Google Scholar] [CrossRef]
- Anilkumar, D.; Roy, S. Unsteady mixed convection flow on a rotating cone in a rotating fluid. Appl. Math. Comput. 2004, 155, 545–561. [Google Scholar] [CrossRef]
















| Anilkumar et al. [34] | Latiff et al. [31] | Present Results | ||
|---|---|---|---|---|
| 0.7 | 0.0 | 0.4305 | 0.4287 | 0.4305 |
| 1.0 | 1.0 | 0.6127 | 0.6120 | 0.6082 |
| 0.7 | 0.0 | 0.5181 | 0.5180 | 0.5181 |
| 1.0 | 1.0 | 0.7005 | 0.7005 | 0.6955 |
| A | S | M | |||||
|---|---|---|---|---|---|---|---|
| 0.1 | 0.5 | 0.1 | 1.0 | 0.1 | 0.5 | 0.1 | 0.7127 |
| 0.2 | 0.6301 | ||||||
| 0.3 | 0.5644 | ||||||
| 0.1 | 0.1 | 0.9117 | |||||
| 0.3 | 0.7997 | ||||||
| 0.5 | 0.7127 | ||||||
| 0.5 | 0.1 | 0.7127 | |||||
| 0.3 | 0.7126 | ||||||
| 0.6 | 0.7125 | ||||||
| 0.1 | 1.0 | 0.7127 | |||||
| 1.5 | 0.6164 | ||||||
| 2.0 | 0.5446 | ||||||
| 1.0 | 0.1 | 0.7127 | |||||
| 0.2 | 0.7611 | ||||||
| 0.3 | 0.8092 | ||||||
| 0.1 | 0.1 | 0.7127 | |||||
| 0.3 | 0.7017 | ||||||
| 0.5 | 0.6907 | ||||||
| 0.1 | 0.1 | 0.7127 | |||||
| 0.2 | 0.7008 | ||||||
| 0.3 | 0.6888 |
| A | S | M | ||
|---|---|---|---|---|
| 0.1 | 0.5 | 0.1 | 1.0 | 2.4291 |
| 0.2 | 2.1544 | |||
| 0.3 | 1.9381 | |||
| 0.1 | 0.1 | 2.0893 | ||
| 0.3 | 2.2631 | |||
| 0.5 | 2.4291 | |||
| 0.5 | 0.1 | 2.4291 | ||
| 0.3 | 2.4322 | |||
| 0.6 | 2.4370 | |||
| 0.1 | 1.0 | 2.4291 | ||
| 1.5 | 2.6745 | |||
| 2.0 | 2.8951 |
| A | |||||
|---|---|---|---|---|---|
| 0.1 | 0.5 | 6.8 | 0.1 | 0.1 | 1.9587 |
| 0.2 | 1.6406 | ||||
| 0.3 | 1.4108 | ||||
| 0.1 | 0.1 | 1.1593 | |||
| 0.3 | 1.6299 | ||||
| 0.5 | 1.9587 | ||||
| 0.5 | 6.8 | 1.9587 | |||
| 7.0 | 1.9820 | ||||
| 7.2 | 2.0048 | ||||
| 6.8 | 0.1 | 1.9587 | |||
| 0.15 | 1.9405 | ||||
| 0.2 | 1.9224 | ||||
| 0.1 | 0.01 | 1.9848 | |||
| 0.05 | 1.9731 | ||||
| 0.1 | 1.9587 |
| A | |||||
|---|---|---|---|---|---|
| 0.1 | 0.5 | 5.0 | 0.1 | 0.1 | 0.9493 |
| 0.2 | 0.8033 | ||||
| 0.3 | 0.6922 | ||||
| 0.1 | 0.1 | 0.5215 | |||
| 0.3 | 0.7663 | ||||
| 0.5 | 0.9493 | ||||
| 0.5 | 4.0 | 0.7269 | |||
| 5.0 | 0.9493 | ||||
| 6.0 | 1.1391 | ||||
| 5.0 | 0.1 | 0.9493 | |||
| 0.15 | 1.2388 | ||||
| 0.2 | 1.3835 | ||||
| 0.1 | 0.01 | 1.7039 | |||
| 0.05 | 1.3643 | ||||
| 0.1 | 0.9493 |
| A | ||||
|---|---|---|---|---|
| 0.1 | 0.5 | 1.0 | 0.1 | 0.9560 |
| 0.2 | 0.8756 | |||
| 0.3 | 0.8076 | |||
| 0.1 | 0.1 | 0.5517 | ||
| 0.3 | 0.7850 | |||
| 0.5 | 0.9560 | |||
| 0.5 | 0.5 | 0.6988 | ||
| 1.0 | 0.9560 | |||
| 1.5 | 1.1307 | |||
| 1.0 | 0.1 | 0.9560 | ||
| 0.3 | 1.0769 | |||
| 0.5 | 1.2335 |
Publisher’s Note: MDPI stays neutral with regard to jurisdictional claims in published maps and institutional affiliations. |
© 2022 by the authors. Licensee MDPI, Basel, Switzerland. This article is an open access article distributed under the terms and conditions of the Creative Commons Attribution (CC BY) license (https://creativecommons.org/licenses/by/4.0/).
Share and Cite
Abdal, S.; Siddique, I.; Abualnaja, K.M.; Afzal, S.; Jaradat, M.M.M.; Mustafa, Z.; Ali, H.M. On Time-Dependent Rheology of Sutterby Nanofluid Transport across a Rotating Cone with Anisotropic Slip Constraints and Bioconvection. Nanomaterials 2022, 12, 2902. https://doi.org/10.3390/nano12172902
Abdal S, Siddique I, Abualnaja KM, Afzal S, Jaradat MMM, Mustafa Z, Ali HM. On Time-Dependent Rheology of Sutterby Nanofluid Transport across a Rotating Cone with Anisotropic Slip Constraints and Bioconvection. Nanomaterials. 2022; 12(17):2902. https://doi.org/10.3390/nano12172902
Chicago/Turabian StyleAbdal, Sohaib, Imran Siddique, Khadijah M. Abualnaja, Saima Afzal, Mohammed M. M. Jaradat, Zead Mustafa, and Hafiz Muhammad Ali. 2022. "On Time-Dependent Rheology of Sutterby Nanofluid Transport across a Rotating Cone with Anisotropic Slip Constraints and Bioconvection" Nanomaterials 12, no. 17: 2902. https://doi.org/10.3390/nano12172902
APA StyleAbdal, S., Siddique, I., Abualnaja, K. M., Afzal, S., Jaradat, M. M. M., Mustafa, Z., & Ali, H. M. (2022). On Time-Dependent Rheology of Sutterby Nanofluid Transport across a Rotating Cone with Anisotropic Slip Constraints and Bioconvection. Nanomaterials, 12(17), 2902. https://doi.org/10.3390/nano12172902

