Mechanochemically Scaled-Up Alpha Cyclodextrin Nanosponges: Their Safety and Effectiveness as Ethylene Scavenger
Abstract
:1. Introduction
2. Materials and Methods
2.1. Materials
2.2. Synthesis and Characterization of α-CD-NS
2.2.1. Small Scale Synthesis
2.2.2. Synthesis Scale-Up
2.2.3. α-CD-NS Characterization
2.3. α-CD-NS Washing
2.3.1. Influence of pH
2.3.2. α-CD-NS Washing Optimization
2.4. HPLC-DAD for Imidazole Quantification
2.4.1. Method Validation
2.4.2. Sample Quantification
2.5. Evaluation of Ethylene Absorption Capacity of α-CD-NS and Other Absorbents
2.5.1. Brunauer–Emmett–Teller (BET) Surface Area Analysis
2.5.2. GC-FID Method for the Determination of Ethylene
2.5.3. Ethylene Removal Experiments
2.6. Statistics
3. Results
3.1. Synthesis Scale-Up and Characterization
3.2. HPLC-DAD Method Validation
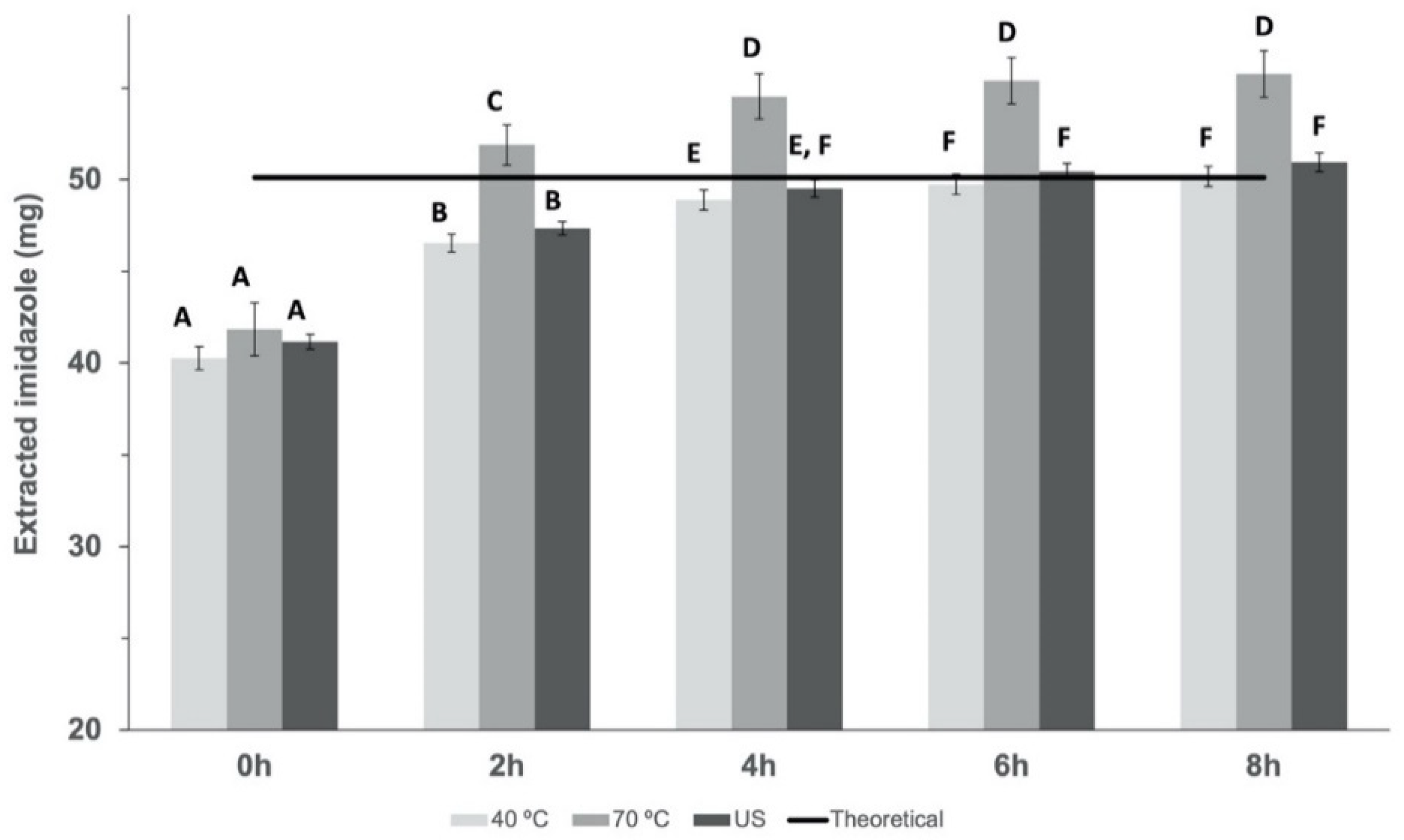
3.3. α-CD-NS Washing Optimization
3.4. α-CD-NS Ethylene Removal Capacity
4. Conclusions
Author Contributions
Funding
Institutional Review Board Statement
Informed Consent Statement
Data Availability Statement
Acknowledgments
Conflicts of Interest
References
- FAO. United Nations Environment Programme; Food Waste Index Report: Nairobi, Kenya, 2021. [Google Scholar]
- Lau, K.Q.; Sabran, M.R.; Shafie, S.R. Utilization of Vegetable and Fruit By-Products as Functional Ingredient and Food. Front. Nutr. 2021, 8, 1693. [Google Scholar] [CrossRef]
- Petrasch, S.; Silva, C.J.; Mesquida-Pesci, S.D.; Gallegos, K.; van den Abeele, C.; Papin, V.; Fernandez-Acero, F.J.; Knapp, S.J.; Blanco-Ulate, B. Infection Strategies Deployed by Botrytis Cinerea, Fusarium Acuminatum, and Rhizopus Stolonifer as a Function of Tomato Fruit Ripening Stage. Front. Plant Sci. 2019, 10, 223. [Google Scholar] [CrossRef] [PubMed]
- Kader, A.A.; Cavalieri, R.; Ferguson, I. A Perspective on Postharvest Horticulture (1978–2003). HortScience 2003, 38, 1004–1008. [Google Scholar] [CrossRef]
- Saltveit, M.E. Effect of Ethylene on Quality of Fresh Fruits and Vegetables. Postharvest Biol. Technol. 1999, 15, 279–292. [Google Scholar] [CrossRef]
- Kader, A.A. Postharvest Technology of Horticultural Crops—An Overview from Farm to Fork. J. Appl. Sci. Technol. 2013, 1, 1–8. [Google Scholar]
- Abeles, F.B.; Morgan, P.W.; Saltveit, M.E.; Mikal, E. Ethylene in Plant Biology, 2nd ed.; Academic Press: Cambridge, MA, USA, 1992; ISBN 9780080916286. [Google Scholar]
- Ebrahimi, A.; Zabihzadeh Khajavi, M.; Mortazavian, A.M.; Asilian-Mahabadi, H.; Rafiee, S.; Farhoodi, M.; Ahmadi, S. Preparation of Novel Nano–Based Films Impregnated by Potassium Permanganate as Ethylene Scavengers: An Optimization Study. Polym. Test. 2021, 93, 106934. [Google Scholar] [CrossRef]
- Dobrucka, R.; Leonowicz, A.; Cierpiszewski, R. Preparation of Ethylene Scavenger Based on KMNO4 to the Extension of the Storage Time of Tomatoes. Stud. Oeconomica Posnaniensia 2017, 5, 7–18. [Google Scholar] [CrossRef]
- Gaikwad, K.K.; Singh, S.; Lee, Y.S. High Adsorption of Ethylene by Alkali-Treated Halloysite Nanotubes for Food-Packaging Applications. Environ. Chem. Lett. 2018, 16, 1055–1062. [Google Scholar] [CrossRef]
- Zhu, Z.; Chen, Y.; Shi, G.; Zhang, X. Selenium Delays Tomato Fruit Ripening by Inhibiting Ethylene Biosynthesis and Enhancing the Antioxidant Defense System. Food Chem. 2017, 219, 179–184. [Google Scholar] [CrossRef]
- Alonso-Salinas, R.; Acosta-Motos, J.R.; Núñez-Delicado, E.; Gabaldón, J.A.; López-Miranda, S. Combined Effect of Potassium Permanganate and Ultraviolet Light as Ethylene Scavengers on Post-Harvest Quality of Peach at Optimal and Stressful Temperatures. Agronomy 2022, 12, 616. [Google Scholar] [CrossRef]
- Zhang, Z.L.; Li, D.L.; Xu, W.C.; Duan, H.Y.; Fu, Y.B. Analysis of the Application of Fungicide and Ethylene Absorbent for Extended Storage Life of Kyoho Grapes at Room Temperature. Appl. Mech. Mater. 2015, 731, 374–380. [Google Scholar] [CrossRef]
- Álvarez-Hernández, M.H.; Martínez-Hernández, G.B.; Avalos-Belmontes, F.; Miranda-Molina, F.D.; Artés-Hernández, F. Postharvest Quality Retention of Apricots by Using a Novel Sepiolite–Loaded Potassium Permanganate Ethylene Scavenger. Postharvest Biol. Technol. 2020, 160, 111061. [Google Scholar] [CrossRef]
- Del Valle, E.M.M. Cyclodextrins and Their Uses: A Review. Process Biochem. 2004, 39, 1033–1046. [Google Scholar] [CrossRef]
- Silva, F.; Caldera, F.; Trotta, F.; Nerín, C.; Domingues, F.C. Encapsulation of Coriander Essential Oil in Cyclodextrin Nanosponges: A New Strategy to Promote Its Use in Controlled-Release Active Packaging. Innov. Food Sci. Emerg. Technol. 2019, 56, 102177. [Google Scholar] [CrossRef]
- Mashile, G.P.; Mpupa, A.; Nomngongo, P.N. Magnetic Mesoporous Carbon/β-Cyclodextrin–Chitosan Nanocomposite for Extraction and Preconcentration of Multi-Class Emerging Contaminant Residues in Environmental Samples. Nanomaterials 2021, 11, 540. [Google Scholar] [CrossRef]
- Elgamouz, A.; Nassab, C.; Bihi, A.; Mohamad, S.A.I.; Almusafri, A.H.S.A.; Alharthi, S.S.; Abdulla, S.A.E.; Patole, S.P. Encapsulation Capacity of β-Cyclodextrin Stabilized Silver Nanoparticles towards Creatinine Enhances the Colorimetric Sensing of Hydrogen Peroxide in Urine. Nanomaterials 2021, 11, 1897. [Google Scholar] [CrossRef]
- Iravani, S.; Varma, R.S. Nanosponges for Drug Delivery and Cancer Therapy: Recent Advances. Nanomaterials 2022, 12, 2440. [Google Scholar] [CrossRef]
- Trotta, F.; Shende, P.; Biasizzo, M. Method for Preparing Dextrin Nanosponges. PCT Patent Application WO2012/147069A1, 1 November 2012. [Google Scholar]
- Pedrazzo, A.R.; Caldera, F.; Zanetti, M.; Appleton, S.L.; Dhakar, N.K.; Trotta, F. Mechanochemical Green Synthesis of Hyper-Crosslinked Cyclodextrin Polymers. Beilstein J. Org. Chem. 2020, 16, 1554–1563. [Google Scholar] [CrossRef]
- Anastas, P.T.; Warner, J.C. Green Chemistry: Theory and Practice; Oxford University Press: Oxford, UK, 1998. [Google Scholar]
- Colacino, E.; Isoni, V.; Crawford, D.; García, F. Upscaling Mechanochemistry: Challenges and Opportunities for Sustainable Industry. Trends Chem. 2021, 3, 335–339. [Google Scholar] [CrossRef]
- Zhu, Y.; Ren, H.; Wei, Y.; Bie, Z.; Ji, L. Determination of Imidazole, 4-Methylimidazole, and 2-Methylimidazole in Cigarette Additives by Ultra-High Performance Liquid Chromatography. Anal. Lett. 2015, 48, 2708–2714. [Google Scholar] [CrossRef]
- U.S. Department of Health and Human Services—Food and Drug Administration. Guidance for Industry: Bioanalytical Method Validation; U.S. Department of Health and Human Services—Food and Drug Administration: Rockville, MD, USA, 2001.
- International Conference on Harmonisation. Validation of Analytical Procedures: Methodology ICH Q2B; International Conference on Harmonisation: Geneva, Switzerland, 2005. [Google Scholar]
- Guerreiro, A.C.; Gago, C.M.L.; Faleiro, M.L.; Miguel, M.G.C.; Antunes, M.D.C. The Effect of Edible Coatings on the Nutritional Quality of ‘Bravo de Esmolfe’ Fresh-Cut Apple through Shelf-Life. LWT—Food Sci. Technol. 2017, 75, 210–219. [Google Scholar] [CrossRef]
- Stolle, A.; Szuppa, T.; Leonhardt, S.E.S.; Ondruschka, B. Ball Milling in Organic Synthesis: Solutions and Challenges. Chem. Soc. Rev. 2011, 40, 2317–2329. [Google Scholar] [CrossRef] [PubMed]
- Krusenbaum, A.; Grätz, S.; Tigineh, G.T.; Borchardt, L.; Kim, J.G. The Mechanochemical Synthesis of Polymers. Chem. Soc. Rev. 2022, 51, 2873–2905. [Google Scholar] [CrossRef]
- Szczesniak, B.; Borysiuk, S.; Choma, J.; Jaroniec, M. Mechanochemical Synthesis of Highly Porous Materials. Mater. Horizons 2020, 7, 1457–1473. [Google Scholar] [CrossRef]
- Li, W.; Liu, H.; Li, L.; Liu, K.; Liu, J.; Tang, T.; Jiang, W. Green Synthesis of Citric Acid-Crosslinked β-Cyclodextrin for Highly Efficient Removal of Uranium(VI) from Aqueous Solution. J. Radioanal. Nucl. Chem. 2019, 322, 2033–2042. [Google Scholar] [CrossRef]
- Calvo, J.; Lavandera, J.L.; Agüeros, M.; Irache, J.M. Cyclodextrin/Poly(Anhydride) Nanoparticles as Drug Carriers for the Oral Delivery of Atovaquone. Biomed. Microdevices 2011, 13, 1015–1025. [Google Scholar] [CrossRef] [PubMed]
- Ansari, K.A.; Vavia, P.R.; Trotta, F.; Cavalli, R. Cyclodextrin-Based Nanosponges for Delivery of Resveratrol: In Vitro Characterisation, Stability, Cytotoxicity and Permeation Study. AAPS PharmSciTech 2011, 12, 279–286. [Google Scholar] [CrossRef]
- European Chemicals Agency. Harmonised Classification and Labelling Report for Imidazole; European Chemicals Agency: Helsinki, Finland, 2012.
- Kirsch, J.F.; Jencks, W.P. Nonlinear Structure-Reactivity Correlations. The Imidazole-Catalyzed Hydrolysis of Esters. J. Am. Chem. Soc. 2002, 86, 837–846. [Google Scholar] [CrossRef]
- Granero-García, R.; Lahoz, F.J.; Paulmann, C.; Saouane, S.; Fabbiani, F.P.A. A Novel Hydrate of α-Cyclodextrin Crystallised under High-Pressure Conditions. CrystEngComm 2012, 14, 8664–8670. [Google Scholar] [CrossRef]
- Georg, H.C.; Coutinho, K.; Canuto, S. A Look inside the Cavity of Hydrated α-Cyclodextrin: A Computer Simulation Study. Chem. Phys. Lett. 2005, 413, 16–21. [Google Scholar] [CrossRef]
- Zhou, K.; Li, Y.; Li, Q.; Du, Q.; Wang, D.; Sui, K.; Wang, C.; Li, H.; Xia, Y. Kinetic, Isotherm and Thermodynamic Studies for Removal of Methylene Blue Using β-Cyclodextrin/Activated Carbon Aerogels. J. Polym. Environ. 2018, 26, 3362–3370. [Google Scholar] [CrossRef]
- Sarker, A.I.; Aroonwilas, A.; Veawab, A. Equilibrium and Kinetic Behaviour of CO2 Adsorption onto Zeolites, Carbon Molecular Sieve and Activated Carbons. Energy Procedia 2017, 114, 2450–2459. [Google Scholar] [CrossRef]
- Trotta, F.; Cavalli, R.; Martina, K.; Biasizzo, M.; Vitillo, J.; Bordiga, S.; Vavia, P.; Ansari, K. Cyclodextrin Nanosponges as Effective Gas Carriers. J. Incl. Phenom. Macrocycl. Chem. 2011, 71, 189–194. [Google Scholar] [CrossRef]
- Brewster, M.E.; Loftsson, T. Cyclodextrins as Pharmaceutical Solubilizers. Adv. Drug Deliv. Rev. 2007, 59, 645–666. [Google Scholar] [CrossRef] [PubMed]
- Ho, B.T.; Joyce, D.C.; Bhandari, B.R. Encapsulation of Ethylene Gas into α-Cyclodextrin and Characterisation of the Inclusion Complexes. Food Chem. 2011, 127, 572–580. [Google Scholar] [CrossRef] [PubMed]
- Cavalli, R.; Akhter, A.K.; Bisazza, A.; Giustetto, P.; Trotta, F.; Vavia, P. Nanosponge Formulations as Oxygen Delivery Systems. Int. J. Pharm. 2010, 402, 254–257. [Google Scholar] [CrossRef]
- Keller, N.; Ducamp, M.N.; Robert, D.; Keller, V. Ethylene Removal and Fresh Product Storage: A Challenge at the Frontiers of Chemistry. Toward an Approach by Photocatalytic Oxidation. Chem. Rev. 2013, 113, 5029–5070. [Google Scholar] [CrossRef]













| Weight | Linearity | Slope | Intercept | R2 |
|---|---|---|---|---|
| 1/x | 0.1–10 | 54,545.60 ± 1303.41 | 1394.12 ± 987.53 | 0.9996 ± 0.0003 |
| Theoretical Concentration (µg/g) | Measured (µg/g) | RSD (%) | Relative Error (%) | |
|---|---|---|---|---|
| Inter-day n = 5 | 0.1 | 0.11 ± 0.01 | 5.64 | 5.95 |
| 0.25 | 0.23 ± 0.01 | 4.11 | −8.38 | |
| 0.5 | 0.54 ± 0.01 | 1.91 | 3.64 | |
| 1 | 0.98 ± 0.03 | 2.74 | −3.46 | |
| 2.5 | 2.50 ± 0.03 | 1.02 | −0.49 | |
| 5 | 5.08 ± 0.07 | 1.28 | 0.79 | |
| 7.5 | 7.55 ± 0.08 | 0.99 | 0.25 | |
| 10 | 10.03 ± 0.11 | 1.1 | −0.24 | |
| Intra-day n = 6 | 0.1 | 0.12 ± 0.01 | 3.25 | 9.35 |
| 1 | 1.00 ± 0.02 | 1.58 | −0.93 | |
| 5 | 5.30 ± 0.14 | 2.55 | 4.92 | |
| 10 | 10.72 ± 0.29 | 2.68 | 6.16 | |
| Intermediate n = 15 | 2 | 2.08 ± 0.05 | 2.64 | −0.10 |
| 4 | 4.05 ± 0.10 | 2.43 | 0.61 | |
| 6 | 6.07 ± 0.09 | 1.55 | 1.12 |
Publisher’s Note: MDPI stays neutral with regard to jurisdictional claims in published maps and institutional affiliations. |
© 2022 by the authors. Licensee MDPI, Basel, Switzerland. This article is an open access article distributed under the terms and conditions of the Creative Commons Attribution (CC BY) license (https://creativecommons.org/licenses/by/4.0/).
Share and Cite
Rupérez, D.; Gracia-Vallés, N.; Clavero, E.; Silva, F.; Nerín, C. Mechanochemically Scaled-Up Alpha Cyclodextrin Nanosponges: Their Safety and Effectiveness as Ethylene Scavenger. Nanomaterials 2022, 12, 2900. https://doi.org/10.3390/nano12172900
Rupérez D, Gracia-Vallés N, Clavero E, Silva F, Nerín C. Mechanochemically Scaled-Up Alpha Cyclodextrin Nanosponges: Their Safety and Effectiveness as Ethylene Scavenger. Nanomaterials. 2022; 12(17):2900. https://doi.org/10.3390/nano12172900
Chicago/Turabian StyleRupérez, David, Nicolás Gracia-Vallés, Eva Clavero, Filomena Silva, and Cristina Nerín. 2022. "Mechanochemically Scaled-Up Alpha Cyclodextrin Nanosponges: Their Safety and Effectiveness as Ethylene Scavenger" Nanomaterials 12, no. 17: 2900. https://doi.org/10.3390/nano12172900
APA StyleRupérez, D., Gracia-Vallés, N., Clavero, E., Silva, F., & Nerín, C. (2022). Mechanochemically Scaled-Up Alpha Cyclodextrin Nanosponges: Their Safety and Effectiveness as Ethylene Scavenger. Nanomaterials, 12(17), 2900. https://doi.org/10.3390/nano12172900

