RPA Plasmons in Graphene Nanoribbons: Influence of a VO2 Substrate
Abstract
:1. Introduction
2. Formalism
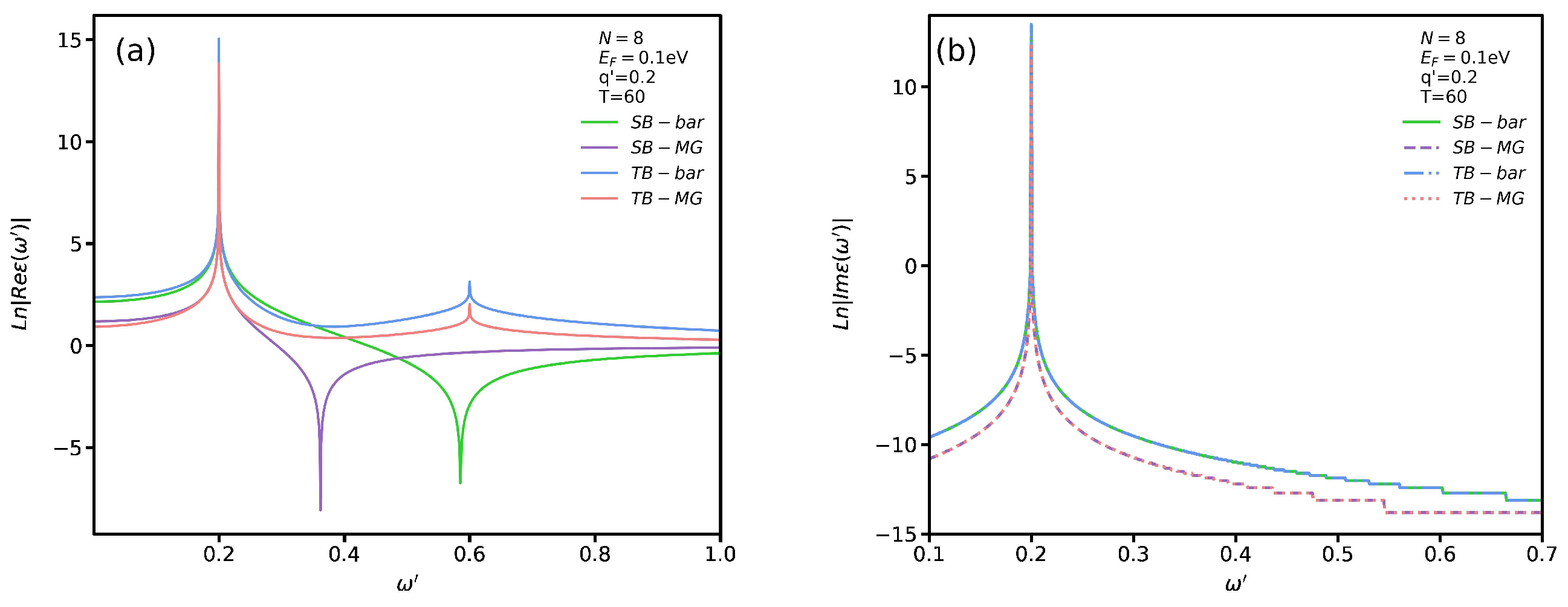
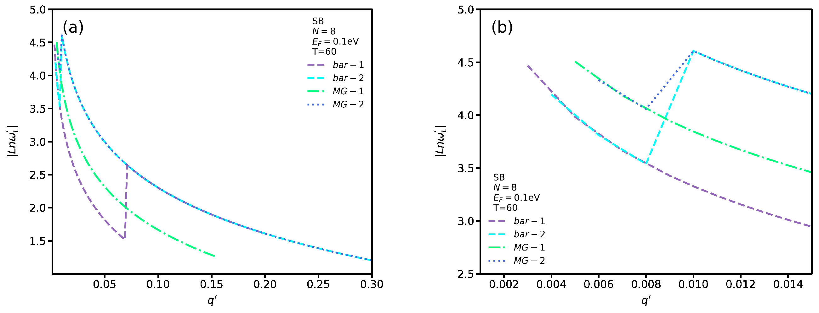
3. Results and Discussion
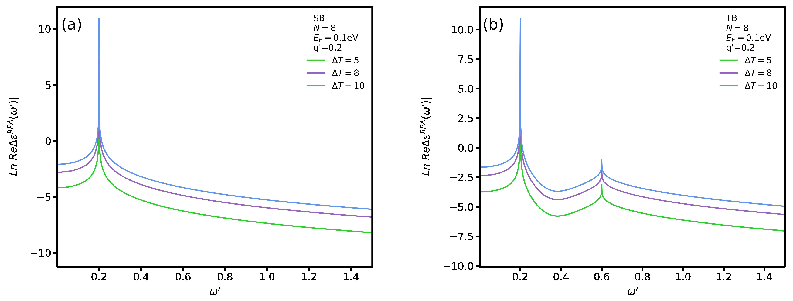
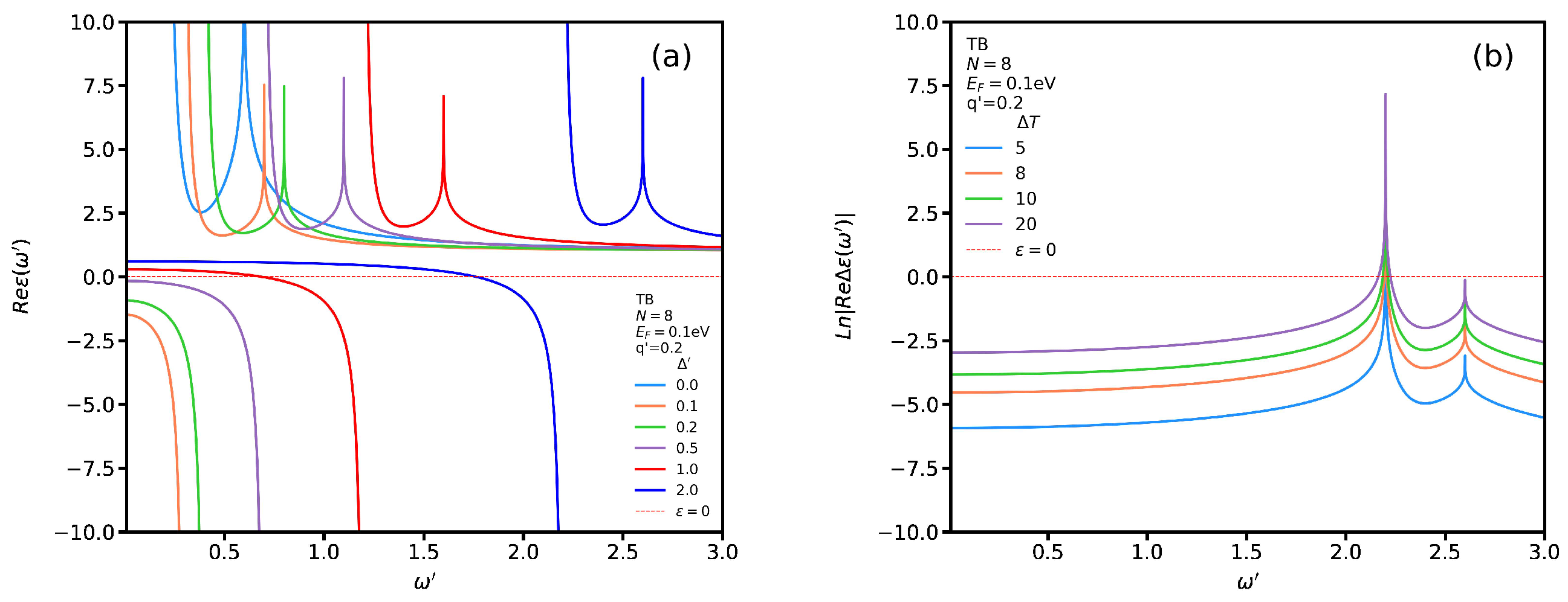
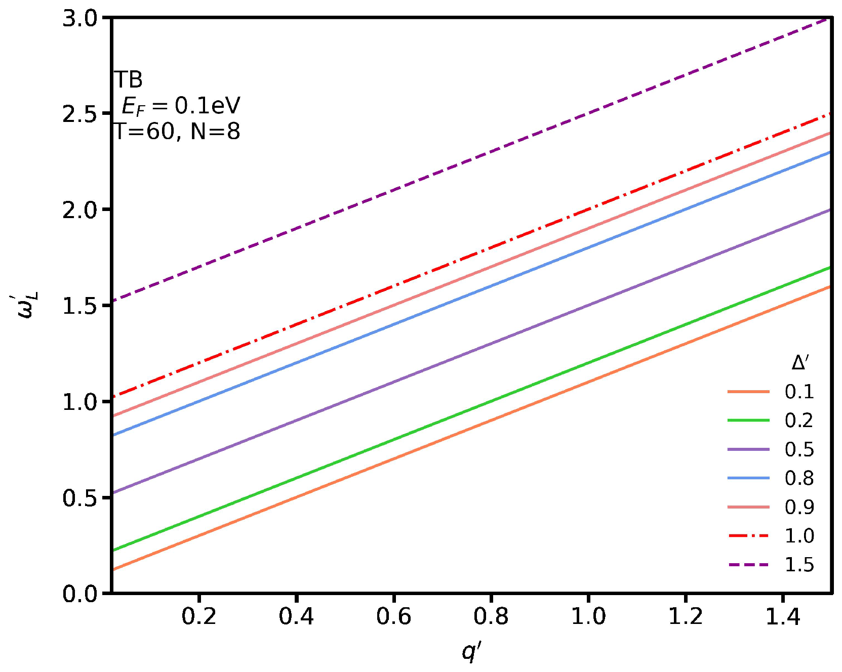
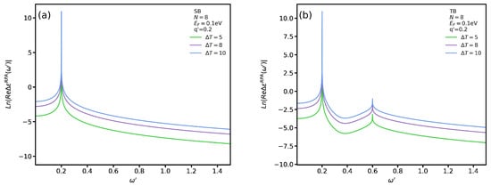
4. Band Gap Effect on Polarization and Plasmon Modes
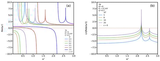
5. Renormalized Fermi Velocity on Plasmon Modes
6. Summary
Author Contributions
Funding
Institutional Review Board Statement
Informed Consent Statement
Data Availability Statement
Conflicts of Interest
References
- Gramotnev, D.; Bozhevolnyi, S. Plasmonics beyond the diffraction limit. Nat. Photonics 2010, 4, 83–91. [Google Scholar] [CrossRef]
- Kushwaha, M. Plasmons and magnetoplasmons in semiconductor heterostructures. Surf. Sci. Rep. 2001, 41, 1–416. [Google Scholar] [CrossRef]
- Moore, G. Cramming more components onto integrated circuits, Reprinted from Electronics, volume 38, number 8, April 19, 1965, pp. 114 ff. IEEE Solid-State Circuits Soc. Newsl. 2006, 11, 33–35. [Google Scholar] [CrossRef]
- Meindl, J.; Chen, Q.; Davis, J. Limits on Silicon Nanoelectronics for Terascale Integration. Science 2001, 293, 2044–2049. [Google Scholar] [CrossRef] [PubMed]
- Keyes, R. Fundamental limits of silicon technology. Proc. IEEE 2001, 89, 227–239. [Google Scholar] [CrossRef]
- Ozbay, E. Plasmonics: Merging Photonics and Electronics at Nanoscale Dimensions. Science 2006, 311, 189–193. [Google Scholar] [CrossRef]
- Brongersma, M.; Shalaev, V. The Case for Plasmonics. Science 2010, 328, 440–441. [Google Scholar] [CrossRef]
- Maier, S.; Brongersma, M.; Kik, P.; Meltzer, S.; Requicha, A.; Atwater, H. Plasmonics-A Route to Nanoscale Optical Devices. Adv. Mater. 2001, 13, 1501–1505. [Google Scholar] [CrossRef]
- Boltasseva, A.; Atwater, H. Low-Loss Plasmonic Metamaterials. Science 2011, 331, 290–291. [Google Scholar] [CrossRef]
- Chen, J.; Badioli, M.; Alonso-González, P.; Thongrattanasiri, S.; Huth, F.; Osmond, J.; Spasenović, M.; Centeno, A.; Pesquera, A.; Godignon, P.; et al. Optical nano-imaging of gate-tunable graphene plasmons. Nature 2012, 487, 77–81. [Google Scholar] [CrossRef]
- Fei, Z.; Rodin, A.; Andreev, G.; Bao, W.; McLeod, A.; Wagner, M.; Zhang, L.; Zhao, Z.; Thiemens, M.; Dominguez, G.; et al. Gate-tuning of graphene plasmons revealed by infrared nano-imaging. Nature 2012, 487, 82–85. [Google Scholar] [CrossRef] [PubMed]
- Bozhevolnyi, S.; Khurgin, J. The case for quantum plasmonics. Nat. Photonics 2017, 11, 398–400. [Google Scholar] [CrossRef]
- Bao, Q.; Loh, K. Graphene Photonics, Plasmonics, and Broadband Optoelectronic Devices. ACS Nano 2012, 6, 3677–3694. [Google Scholar] [CrossRef] [PubMed]
- Oulton, R.; Sorger, V.; Genov, D.; Pile, D.; Zhang, X. A hybrid plasmonic waveguide for subwavelength confinement and long-range propagation. Nat. Photonics 2008, 2, 496–500. [Google Scholar] [CrossRef]
- Kumar, P.; Pastoriza-Santos, I.; Rodriguez-González, B.; Abajo, F.; Liz-Marzán, L. High-yield synthesis and optical response of gold nanostars. Nanotechnology 2007, 19, 015606. [Google Scholar] [CrossRef] [PubMed]
- Hao, F.; Nehl, C.; Hafner, J.; Nordlander, P. Plasmon Resonances of a Gold Nanostar. Nano Lett. 2007, 7, 729–732. [Google Scholar] [CrossRef] [PubMed]
- Zhang, X.; Hicks, E.; Zhao, J.; Schatz, G.; Duyne, R. Electrochemical Tuning of Silver Nanoparticles Fabricated by Nanosphere Lithography. Nano Lett. 2005, 5, 1503–1507. [Google Scholar] [CrossRef] [PubMed]
- Rodriguez-Fortuño, F.; Martinez-Marco, M.; Tomas-Navarro, B.; Ortuno, R.; Marti, J.; Martinez, A.; Rodriguez-Canto, P. Highly-sensitive chemical detection in the infrared regime using plasmonic gold nanocrosses. Appl. Phys. Lett. 2011, 98, 133118. [Google Scholar] [CrossRef]
- Yu, N.; Capasso, F. Flat optics with designer metasurfaces. Nat. Mater. 2014, 13, 139–150. [Google Scholar] [CrossRef]
- Kravets, V.; Kabashin, A.; Barnes, W.; Grigorenko, A. Plasmonic Surface Lattice Resonances: A Review of Properties and Applications. Chem. Rev. 2018, 118, 5912–5951. [Google Scholar] [CrossRef]
- Makarov, S.; Zalogina, A.; Tajik, M.; Zuev, D.; Rybin, M.; Kuchmizhak, A.; Juodkazis, S.; Kivshar, Y. Light-Induced Tuning and Reconfiguration of Nanophotonic Structures. Laser Photonics Rev. 2017, 11, 1700108. [Google Scholar] [CrossRef]
- Liu, H.; Lu, J.; Wang, X. Metamaterials based on the phase transition of VO2. Nanotechnology 2017, 29, 024002. [Google Scholar] [CrossRef] [PubMed]
- Quackenbush, N.; Tashman, J.; Mundy, J.; Sallis, S.; Paik, H.; Misra, R.; Moyer, J.; Guo, J.; Fischer, D.; Woicik, J.; et al. Nature of the Metal Insulator Transition in Ultrathin Epitaxial Vanadium Dioxide. Nano Lett. 2013, 13, 4857–4861. [Google Scholar] [CrossRef] [PubMed]
- Whittaker, L.; Patridge, C.; Banerjee, S. Microscopic and Nanoscale Perspective of the Metal-Insulator Phase Transitions of VO2: Some New Twists to an Old Tale. J. Phys. Chem. Lett. 2011, 2, 745–758. [Google Scholar] [CrossRef]
- Wei, J.; Wang, Z.; Chen, W.; Cobden, D. New aspects of the metal–insulator transition in single-domain vanadium dioxide nanobeams. Nat. Nanotechnol. 2009, 4, 420–424. [Google Scholar] [CrossRef]
- Eyert, V. VO2: A Novel View from Band Theory. Phys. Rev. Lett. 2011, 107, 016401. [Google Scholar] [CrossRef]
- Haverkort, M.; Hu, Z.; Tanaka, A.; Reichelt, W.; Streltsov, S.; Korotin, M.; Anisimov, V.; Hsieh, H.; Lin, H.; Chen, C.; et al. Orbital-Assisted Metal-Insulator Transition inVO2. Phys. Rev. Lett. 2005, 95, 196404. [Google Scholar] [CrossRef]
- Marezio, M.; McWhan, D.; Remeika, J.; Dernier, P. Structural Aspects of the Metal-Insulator Transitions in Cr-Doped VO2. Phys. Rev. B 1972, 5, 2541–2551. [Google Scholar] [CrossRef]
- Pouget, J.; Launois, H.; D’Haenens, J.; Merenda, P.; Rice, T. Electron Localization Induced by Uniaxial Stress in Pure VO2. Phys. Rev. Lett. 1975, 35, 873–875. [Google Scholar] [CrossRef]
- Stefanovich, G.; Pergament, A.; Velichko, A.; Stefanovich, L. Anodic oxidation of vanadium and properties of vanadium oxide films. J. Phys. Condens. Matter 2004, 16, 4013–4024. [Google Scholar] [CrossRef]
- Nakano, M.; Shibuya, K.; Okuyama, D.; Hatano, T.; Ono, S.; Kawasaki, M.; Iwasa, Y.; Tokura, Y. Collective bulk carrier delocalization driven by electrostatic surface charge accumulation. Nature 2012, 487, 459–462. [Google Scholar] [CrossRef] [PubMed]
- Choi, H.; Ahn, J.; Jung, J.; Noh, T.; Kim, D. Mid-infrared properties of aVO2film near the metal-insulator transition. Phys. Rev. B 1996, 54, 4621–4628. [Google Scholar] [CrossRef] [PubMed]
- Morin, F. Oxides Which Show a Metal-to-Insulator Transition at the Neel Temperature. Phys. Rev. Lett. 1959, 3, 34–36. [Google Scholar] [CrossRef]
- Driscoll, T.; Kim, H.; Chae, B.; Kim, B.; Lee, Y.; Jokerst, N.; Palit, S.; Smith, D.; Ventra, M.; Basov, D. Memory Metamaterials. Science 2009, 325, 1518–1521. [Google Scholar] [CrossRef] [PubMed]
- Qazilbash, M.; Brehm, M.; Chae, B.; Ho, P.; Andreev, G.; Kim, B.; Yun, S.; Balatsky, A.; Maple, M.; Keilmann, F.; et al. Mott Transition in VO 2 Revealed by Infrared Spectroscopy and Nano-Imaging. Science 2007, 318, 1750–1753. [Google Scholar] [CrossRef]
- Ben-Messaoud, T.; Landry, G.; Gariépy, J.; Ramamoorthy, B.; Ashrit, P.; Haché, A. High contrast optical switching in vanadium dioxide thin films. Opt. Commun. 2008, 281, 6024–6027. [Google Scholar] [CrossRef]
- Cavalleri, A.; Tóth, C.; Siders, C.; Squier, J.; Ráksi, F.; Forget, P.; Kieffer, J. Femtosecond Structural Dynamics inVO2during an Ultrafast Solid-Solid Phase Transition. Phys. Rev. Lett. 2001, 87, 237401. [Google Scholar] [CrossRef]
- Bonora, S.; Bortolozzo, U.; Residori, S.; Balu, R.; Ashrit, P. Mid-IR to near-IR image conversion by thermally induced optical switching in vanadium dioxide. Opt. Lett. 2010, 35, 103. [Google Scholar] [CrossRef]
- Becker, M.; Buckman, A.; Walser, R.; Lépine, T.; Georges, P.; Brun, A. Femtosecond laser excitation of the semiconductor-metal phase transition in VO2. Appl. Phys. Lett. 1994, 65, 1507–1509. [Google Scholar] [CrossRef]
- Markel, V. Introduction to the Maxwell Garnett approximation: Tutorial. J. Opt. Soc. Am. A 2016, 33, 1244. [Google Scholar] [CrossRef]
- Brey, L.; Fertig, H. Elementary electronic excitations in graphene nanoribbons. Phys. Rev. B 2007, 75, 125434. [Google Scholar] [CrossRef]
- Haug, H.; Koch, S. Quantum Theory of the Optical and Electronic Properties of Semiconductors; World Scientific Publishing: Singapore, 2009. [Google Scholar] [CrossRef]
- Giuliani, G.; Vignale, G. Quantum Theory of the Electron Liquid; Cambridge University Press: Cambridge, UK, 2005. [Google Scholar] [CrossRef]
- Bahrami, M.; Vasilopoulos, P. Inhomogeneous linear responses and transport in armchair graphene nanoribbons in the presence of elastic scattering. Nanotechnology 2022, 33, 195201. [Google Scholar] [CrossRef] [PubMed]
- Whelan, P.R.; Zhou, B.; Bezencenet, O.; Shivayogimath, A.; Mishra, N.; Shen, Q.; Jessen, B.S.; Pasternak, I.; Mackenzie, D.M.; Ji, J.; et al. Case studies of electrical characterisation of graphene by terahertz time-domain spectroscopy. 2D Mater. 2021, 8, 022003. [Google Scholar] [CrossRef]
- Nevius, M.; Conrad, M.; Wang, F.; Celis, A.; Nair, M.; Taleb-Ibrahimi, A.; Tejeda, A.; Conrad, E. Semiconducting Graphene from Highly Ordered Substrate Interactions. Phys. Rev. Lett. 2015, 115, 136802. [Google Scholar] [CrossRef] [PubMed]
- Zhang, W.; Lin, C.; Liu, K.; Tite, T.; Su, C.; Chang, C.; Lee, Y.; Chu, C.; Wei, K.; Kuo, J.; et al. Opening an Electrical Band Gap of Bilayer Graphene with Molecular Doping. ACS Nano 2011, 5, 7517–7524. [Google Scholar] [CrossRef] [PubMed]
- Shemella, P.; Nayak, S. Electronic structure and band-gap modulation of graphene via substrate surface chemistry. Appl. Phys. Lett. 2009, 94, 032101. [Google Scholar] [CrossRef]
- Sławińska, J.; Zasada, I.; Klusek, Z. Energy gap tuning in graphene on hexagonal boron nitride bilayer system. Phys. Rev. B 2010, 81, 155433. [Google Scholar] [CrossRef]
- Brahami, M.; Vasilopoulos, P. Exchange, correlation, and scattering effects on surface plasmons in arm-chair graphene nanoribbons. Opt. Express 2017, 25, 16840. [Google Scholar] [CrossRef]
- Bagheri, M.; Bahrami, M. Plasmons in spatially separated double-layer graphene nanoribbons. J. Appl. Phys. 2014, 115, 174301. [Google Scholar] [CrossRef]
- Leahu, G.; Voti, R.; Sibilia, C.; Bertolotti, M. Anomalous optical switching and thermal hysteresis during semiconductor-metal phase transition of VO2 films on Si substrate. Appl. Phys. Lett. 2013, 103, 231114. [Google Scholar] [CrossRef]
- Enderlein, C.; Kim, Y.; Bostwick, A.; Rotenberg, E.; Horn, K. The formation of an energy gap in graphene on ruthenium by controlling the interface. New J. Phys. 2010, 12, 033014. [Google Scholar] [CrossRef]
- Davydov, S.; Lebedev, A.; Lebedev, S. Energy Gaps Induced by a Semiconducting Substrate in the Epitaxial Graphene Density of States. Mater. Sci. Forum. 2013, 740–742, 141–144. [Google Scholar] [CrossRef]
- Kharche, N.; Nayak, S. Quasiparticle Band Gap Engineering of Graphene and Graphone on Hexagonal Boron Nitride Substrate. Nano Lett. 2011, 11, 5274–5278. [Google Scholar] [CrossRef] [PubMed]
- Zhou, S.; Gweon, G.; Fedorov, A.; First, P.; Heer, W.; Lee, D.; Guinea, F.; Neto, A.; Lanzara, A. Substrate-induced bandgap opening in epitaxial graphene. Nat. Mater. 2007, 6, 770–775. [Google Scholar] [CrossRef]
- Giovannetti, G.; Khomyakov, P.; Brocks, G.; Kelly, P.; Brink, J. Substrate-induced band gap in graphene on hexagonal boron nitride. Phys. Rev. B 2007, 76, 073103. [Google Scholar] [CrossRef]
- Stauber, T.; Parida, P.; Trushin, M.; Ulybyshev, M.V.; Boyda, D.L.; Schliemann, J. Interacting Electrons in Graphene: Fermi Velocity Renormalization and Optical Response. Phys. Rev. Lett. 2017, 118, 266801. [Google Scholar] [CrossRef]












Publisher’s Note: MDPI stays neutral with regard to jurisdictional claims in published maps and institutional affiliations. |
© 2022 by the authors. Licensee MDPI, Basel, Switzerland. This article is an open access article distributed under the terms and conditions of the Creative Commons Attribution (CC BY) license (https://creativecommons.org/licenses/by/4.0/).
Share and Cite
Bahrami, M.; Vasilopoulos, P. RPA Plasmons in Graphene Nanoribbons: Influence of a VO2 Substrate. Nanomaterials 2022, 12, 2861. https://doi.org/10.3390/nano12162861
Bahrami M, Vasilopoulos P. RPA Plasmons in Graphene Nanoribbons: Influence of a VO2 Substrate. Nanomaterials. 2022; 12(16):2861. https://doi.org/10.3390/nano12162861
Chicago/Turabian StyleBahrami, Mousa, and Panagiotis Vasilopoulos. 2022. "RPA Plasmons in Graphene Nanoribbons: Influence of a VO2 Substrate" Nanomaterials 12, no. 16: 2861. https://doi.org/10.3390/nano12162861
APA StyleBahrami, M., & Vasilopoulos, P. (2022). RPA Plasmons in Graphene Nanoribbons: Influence of a VO2 Substrate. Nanomaterials, 12(16), 2861. https://doi.org/10.3390/nano12162861
