Probing the Conductive and Tribological Behaviors of Solid Additives in Multiply Alkylated Cyclopentanes for Sliding Electrical Contact
Abstract
:1. Introduction
2. Experiment
2.1. Materials
2.2. Characterization of the Materials
2.3. Tribological Tests
2.4. Surface Analysis
3. Results and Discussion
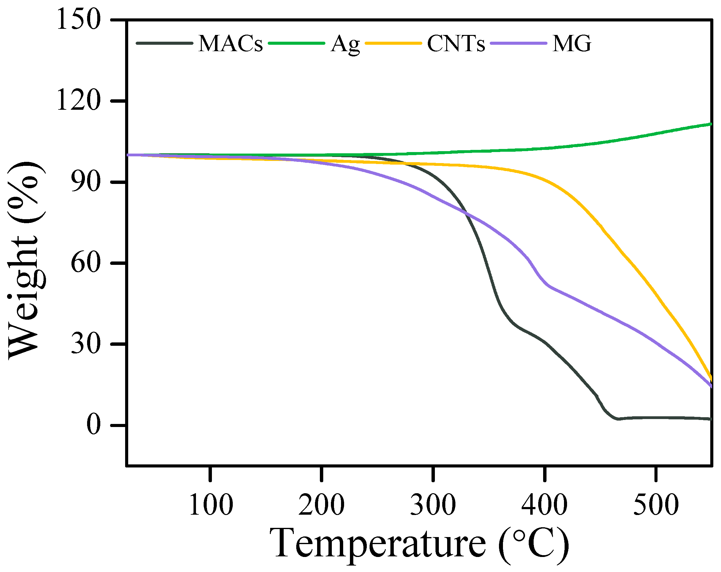
3.1. Results
3.2. Discussion
4. Conclusions
Author Contributions
Funding
Institutional Review Board Statement
Informed Consent Statement
Data Availability Statement
Conflicts of Interest
References
- Fan, X.; Xia, Y.; Wang, L.; Pu, J.; Chen, T.; Zhang, H. Study of the Conductivity and Tribological Performance of Ionic Liquid and Lithium Greases. Tribol. Lett. 2013, 53, 281–291. [Google Scholar] [CrossRef]
- Huang, W.; Kong, L.; Wang, X. Electrical Sliding Friction Lubricated with Ionic Liquids. Tribol. Lett. 2016, 65, 17. [Google Scholar] [CrossRef]
- Fan, X.Q.; Xia, Y.Q.; Wang, L.P. Tribological properties of conductive lubricating greases. Friction 2012, 2, 343–353. [Google Scholar] [CrossRef] [Green Version]
- Song, J.; Schinow, V. Correlation between friction and wear properties and electrical performance of silver coated electrical connectors. Wear 2015, 330, 400–405. [Google Scholar] [CrossRef]
- Wang, Y.A.; Li, J.X.; Yan, Y.; Qiao, L.J. Effect of electrical current on tribological behavior of copper-impregnated metallized carbon against a Cu-Cr-Zr alloy. Tribol. Int. 2012, 50, 26–34. [Google Scholar] [CrossRef]
- Liu, Y.; Senturk, B.S.; Mantese, J.V.; Aindow, M.; Alpay, S.P. Electrical and tribological properties of a Ni–18%Ru alloy for contact applications. J. Mater. Sci. 2011, 46, 6563–6570. [Google Scholar] [CrossRef]
- Tu, C.; Chen, Z.; Xia, J. Thermal wear and electrical sliding wear behaviors of the polyimide modified polymer-matrix pantograph contact strip. Tribol. Int. 2009, 42, 995–1003. [Google Scholar] [CrossRef]
- Cao, Z.; Xia, Y.; Ge, X. Conductive capacity and tribological properties of several carbon materials in conductive greases. Ind. Lubr. Tribol. 2016, 68, 577–585. [Google Scholar] [CrossRef]
- Ge, X.Y.; Xia, Y.; Feng, X. Influence of carbon nanotubes on conductive capacity and tribological characters of conductive greases. J. Tribol. 2015, 138, 011801. [Google Scholar] [CrossRef]
- Abad, M.D.; Sánchez-López, J.C. Tribological properties of surface-modified Pd nanoparticles for electrical contacts. Wear 2013, 297, 943–951. [Google Scholar] [CrossRef]
- Ge, X.; Xia, Y.; Shu, Z.; Zhao, X. Conductive grease synthesized using nanometer ATO as an additive. Friction 2015, 3, 56–64. [Google Scholar] [CrossRef] [Green Version]
- Hannel, S.; Fouvry, S.; Kapsa, P.; Vincent, L. The fretting sliding transition as a criterion for electrical contact performance. Wear 2001, 249, 761–770. [Google Scholar] [CrossRef]
- Novoselov, K.S.; Geim, A.K.; Morozov, S.V.; Jiang, D.; Katsnelson, M.I.; Grigorieva, I.V.; Dubonos, S.V.; Firsov, A.A. Two-dimensional gas of massless Dirac fermions in graphene. Nature 2005, 438, 197–200. [Google Scholar] [CrossRef] [PubMed]
- Geim, A.K.; Novoselov, K.S. The rise of graphene. Nat. Mater. 2007, 6, 183–191. [Google Scholar] [CrossRef]
- Fan, X.; Wang, L. Ionic liquids gels with in situ modified multiwall carbon nanotubes towards high-performance lubricants. Tribol. Int. 2015, 88, 179–188. [Google Scholar] [CrossRef]
- Sa, V.; Kornev, K.G. A method for wet spinning of alginate fibers with a high concentration of single-walled carbon nanotubes. Carbon 2011, 49, 1859–1868. [Google Scholar] [CrossRef]
- Ge, X.Y.; Li, J.J.; Luo, R.; Zhang, C.; Luo, J. Macroscale superlubricity enabled by synergy effect of graphene-oxide nanoflakes and ethanediol. ACS Appl. Mater. Interfaces 2018, 10, 40863–40870. [Google Scholar] [CrossRef]
- He, A.S.; Huang, S.Q.; Yun, J.H.; Jiang, Z.; Stokes, J.R.; Jiao, S.; Wang, L.; Huang, H. Tribological characteristics of aqueous graphene oxide, graphitic carbon nitride, and their mixed suspensions. Tribol. Lett. 2018, 66, 42. [Google Scholar] [CrossRef]
- Tonck, A.; Martin, J.; Kapsa, P.; Georges, J. Boundary lubrication with anti-wear additives: Study of interface film formation by electrical contact resistance. Tribol. Int. 1979, 12, 209–213. [Google Scholar] [CrossRef]
- Zhang, M.; Wang, X.; Fu, X.; Liu, W. Investigation of Electrical Contact Resistance of Ag Nanoparticles as Additives Added to PEG 300. Tribol. Trans. 2009, 52, 157–164. [Google Scholar] [CrossRef]
- Viesca, J.L.; Battez, A.H.; González, R.; Reddyhoff, T.; TorresPérez, A.; Spikes, H.A. Assessing boundary film formation of lubricant additivised with 1-hexyl-3-methylimidazolium tetrafluoroborate using ECR as qualitative indicator. Wear 2010, 269, 112–117. [Google Scholar] [CrossRef]
- Esteves, M.; Ramalho, A.; Ramos, F. Electrical performance of textured stainless steel under fretting. Tribol. Int. 2017, 110, 41–51. [Google Scholar] [CrossRef]
- Huang, Z.Y.; Zhai, H.X.; Li, M.Q.; Liu, X.; Zhou, Y. Friction behaviors and effects on current-carrying wear characteristics of bulk TiAlC. Tribol. Trans. 2014, 57, 300–307. [Google Scholar] [CrossRef]
- Leong, J.Y.; Satyanarayana, N.; Sinha, S.K. A tribological study of multiply-alkylated cyclopentanes and perfluoropolyether lubricants for application to Si-MEMS devices. Tribol. Lett. 2013, 50, 195–206. [Google Scholar] [CrossRef]
- Fan, X.; Li, W.; Li, H.; Zhu, M.; Xia, Y.; Wang, J. Probing the effect of thickener on tribological properties of lubricating greases. Tribol. Int. 2018, 118, 128–139. [Google Scholar] [CrossRef]
- Chen, J.; Xia, Y.; Hu, Y.; Hou, B. Tribological performance and conductive capacity of Ag coating under boundary lubrication. Tribol. Int. 2017, 110, 161–172. [Google Scholar] [CrossRef]
- Fan, X.; Wang, L. High-performance lubricant additives based on modified graphene oxide by ionic liquids. J. Colloid Interface Sci. 2015, 452, 98–108. [Google Scholar] [CrossRef]
- Kundu, S.; Wang, Y.; Xia, W.; Muhler, M. Thermal Stability and Reducibility of Oxygen-Containing Functional Groups on Multiwalled Carbon Nanotube Surfaces: A Quantitative High-Resolution XPS and TPD/TPR Study. J. Phys. Chem. C 2008, 112, 16869–16878. [Google Scholar] [CrossRef]
- Trinh, K.E.; Tsipenyuk, A.; Varenberg, M.; Rosenkranz, A.; Souza, N.; Mücklich, F. Wear debris and electrical resistance in textured Sn-coated Cu contacts subjected to fretting. Wear 2015, 344, 86–98. [Google Scholar] [CrossRef]
- Park, Y.W.; Narayanan, T.S.N.S.; Kang, Y.L. Effect of temperature on the fretting corrosion of tin plated copper alloy contacts. Wear 2007, 262, 320–330. [Google Scholar] [CrossRef]
- Fan, X.; Li, W.; Fu, H.; Zhu, M.; Wang, L.; Cai, Z.; Liu, J.; Li, H. Probing the Function of Solid Nanoparticle Structure under Boundary Lubrication. ACS Sustain. Chem. Eng. 2017, 5, 4223–4233. [Google Scholar] [CrossRef]
- Brust, M.; Bard, A.J.; Blass, P.M. Self-assembly of photoluminescent copper(I)-dithiol multilayer thin films and bulk materials. Langmuir 1997, 13, 5602–5607. [Google Scholar] [CrossRef]
- Yu, H.L.; Xu, Y.; Shi, P.J.; Xu, B.; Wang, X.; Qian, L. Tribological properties and lubricating mechanisms of Cu nanoparticles in lubricant. Trans. Nonferrous Met. Soc. China 2008, 18, 636–641. [Google Scholar] [CrossRef]
- Zhang, C.; Zhang, S.; Song, S.; Yang, G.; Yu, L.; Wu, Z.; Li, X.; Zhang, P. Preparation and Tribological Properties of Surface-Capped Copper Nanoparticle as a Water-Based Lubricant Additive. Tribol. Lett. 2014, 54, 25–33. [Google Scholar] [CrossRef]
- Ma, J.; Mo, Y.; Bai, M. Effect of Ag nanoparticles additive on the tribological behavior of multialkylated cyclopentanes (MACs). Wear 2009, 266, 627–631. [Google Scholar] [CrossRef]
- Lee, K.; Hwang, Y.; Cheong, S.; Choi, Y.; Kwon, L.; Lee, J.; Kim, S.H. Understanding the Role of Nanoparticles in Nano-oil Lubrication. Tribol. Lett. 2009, 35, 127–131. [Google Scholar] [CrossRef]
- Rapoport, L.; Leshchinsky, V.; Lvovsky, M.; Lapsker, I.; Volovika, Y.; Feldmanb, Y.; Popovitz-Birob, R.; Tenne, R. Superior tribological properties of powder materials with solid lubricant nanoparticles. Wear 2003, 255, 794–800. [Google Scholar] [CrossRef]
- Peng, D.X.; Chen, C.; Kang, Y.; Chang, Y.P.; Chang, S.Y. Size effects of SiO2 nanoparticles as oil additives on tribology of lubricant. Ind. Lubr. Tribol. 2010, 62, 111–120. [Google Scholar] [CrossRef]
- Cao, Z.; Xia, Y. Synthesis and tribological properties of polyaniline functionalized by ionic liquids. J. Mater. Sci. 2018, 53, 7060–7071. [Google Scholar] [CrossRef]
- Xie, H.; Jiang, B.; He, J.; Xia, X.; Pan, F. Lubrication performance of MoS2 and SiO2 nanoparticles as lubricant additives in magnesium alloy-steel contacts. Tribol. Int. 2015, 93, 63–70. [Google Scholar] [CrossRef]
- Dowson, D.; Higginson, G.R. Elasto-Hydrodynamic Lubrication; Pergamon Press Ltd.: Oxford, UK, 1977. [Google Scholar]
- Ge, X.Y.; Li, J.J.; Zhang, C.H.; Wang, Z.; Luo, J. Superlubricity of 1-ethyl-3-methylimidazolium trifluoromethanesulfonate ionic liquid induced by tribochemical reactions. Langmuir 2018, 34, 5245–5252. [Google Scholar] [CrossRef] [PubMed]
- Rapoport, L.; Leshchinsky, V.; Lapsker, I.; Volovik, Y.; Nepomnyashchy, O.; Lvovsky, M.; Popovitz-Biro, R.; Feldman, Y.; Tenne, R. Tribological properties of WS2 nanoparticles under mixed lubrication. Wear 2003, 255, 785–793. [Google Scholar] [CrossRef]











| Item | Kinematic Viscosity (mm2/s) | Viscosity Index | Pressure-Viscosity Coefficient (GPa−1, 29 °C) | Dynamic Viscosity (Pa·s, 30 °C) | |
|---|---|---|---|---|---|
| 40 °C | 100 °C | ||||
| MACs | 112 | 14.7 | 135 | 11.6 | 0.0948 |
Publisher’s Note: MDPI stays neutral with regard to jurisdictional claims in published maps and institutional affiliations. |
© 2022 by the authors. Licensee MDPI, Basel, Switzerland. This article is an open access article distributed under the terms and conditions of the Creative Commons Attribution (CC BY) license (https://creativecommons.org/licenses/by/4.0/).
Share and Cite
Cao, Z.; Shi, Q.; Ge, X.; Liu, S.; Wei, B.; Wang, T. Probing the Conductive and Tribological Behaviors of Solid Additives in Multiply Alkylated Cyclopentanes for Sliding Electrical Contact. Nanomaterials 2022, 12, 2707. https://doi.org/10.3390/nano12152707
Cao Z, Shi Q, Ge X, Liu S, Wei B, Wang T. Probing the Conductive and Tribological Behaviors of Solid Additives in Multiply Alkylated Cyclopentanes for Sliding Electrical Contact. Nanomaterials. 2022; 12(15):2707. https://doi.org/10.3390/nano12152707
Chicago/Turabian StyleCao, Zhengfeng, Qiuyu Shi, Xiangyu Ge, Shuliang Liu, Bo Wei, and Ting Wang. 2022. "Probing the Conductive and Tribological Behaviors of Solid Additives in Multiply Alkylated Cyclopentanes for Sliding Electrical Contact" Nanomaterials 12, no. 15: 2707. https://doi.org/10.3390/nano12152707
APA StyleCao, Z., Shi, Q., Ge, X., Liu, S., Wei, B., & Wang, T. (2022). Probing the Conductive and Tribological Behaviors of Solid Additives in Multiply Alkylated Cyclopentanes for Sliding Electrical Contact. Nanomaterials, 12(15), 2707. https://doi.org/10.3390/nano12152707

