Gated Organonanoclays for Large Biomolecules: Controlled Release Triggered by Surfactant Stimulus
Abstract
1. Introduction
2. Materials and Methods
2.1. Chemicals and Cell Culture Media
2.2. Gated Organonanoclays Synthesis
2.2.1. RhB Loading
2.2.2. Functionalization
2.3. Characterization Methods
2.4. Cargo Delivery
2.5. Cargo Release Kinetics
2.6. Cell Culture Conditions
2.7. MTT Cell Viability Assay
3. Results and Discussion
3.1. Design, Synthesis and Characterization of Solids
3.2. Cargo Controlled Release
3.3. Cargo Release Kinetics
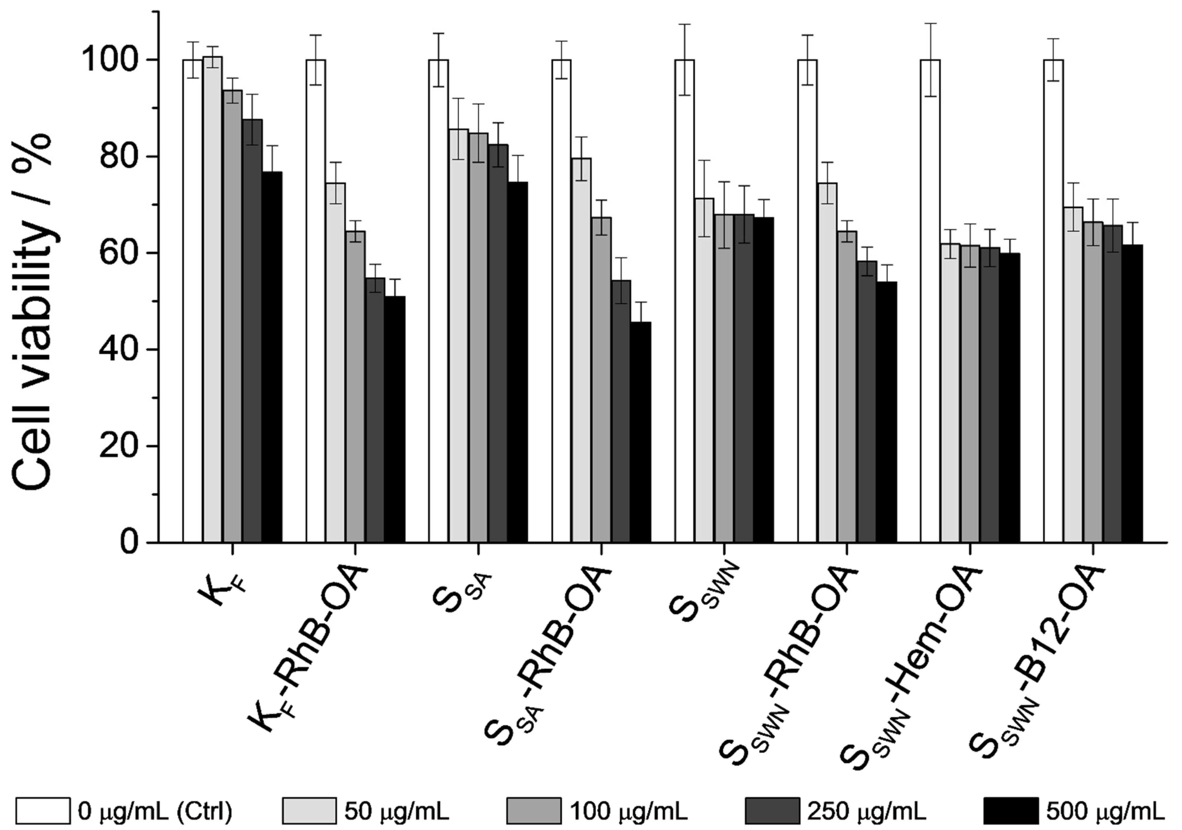
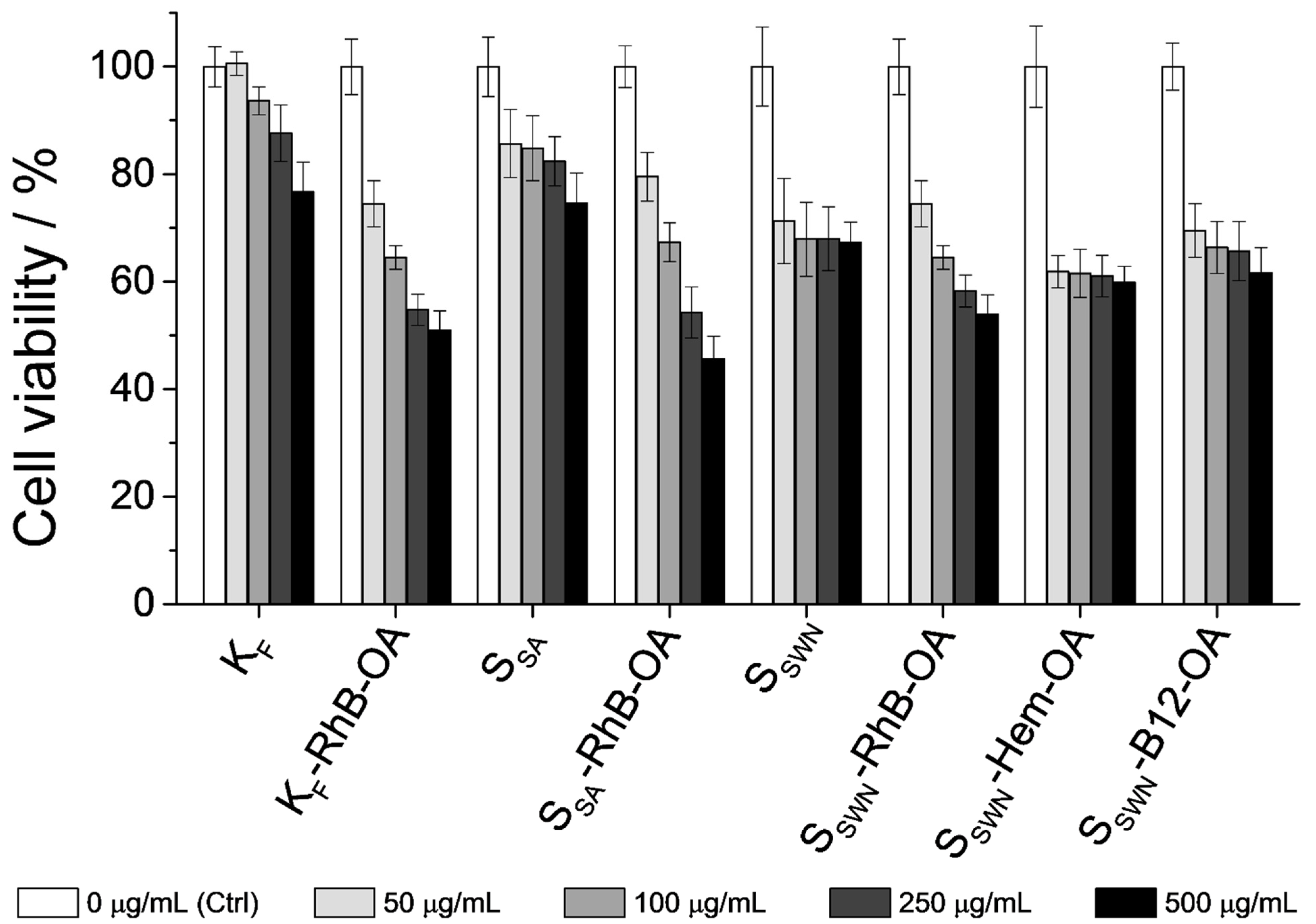
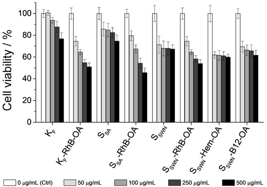
3.4. In Vitro Biocompatibility Test: Interaction with Cells of the GIT
4. Conclusions
Supplementary Materials
Author Contributions
Funding
Institutional Review Board Statement
Informed Consent Statement
Data Availability Statement
Acknowledgments
Conflicts of Interest
References
- Balmayor, E.R.; Azevedo, H.S.; Reis, R.L. Controlled delivery systems: From pharmaceuticals to cells and genes. Pharm. Res. 2011, 28, 1241–1258. [Google Scholar] [CrossRef] [PubMed]
- Moritz, M.; Geszke-Moritz, M. Mesoporous materials as multifunctional tools in biosciences: Principles and applications. Mater. Sci. Eng. C 2015, 49, 114–151. [Google Scholar] [CrossRef] [PubMed]
- Aznar, E.; Villalonga, R.; Giménez, C.; Sancenón, F.; Marcos, M.D.; Martínez-Máñez, R.; Díez, P.; Pingarrón, J.M.; Amorós, P. Glucose-triggered release using enzyme-gated mesoporous silica nanoparticles. Chem. Commun. 2013, 49, 6391–6393. [Google Scholar] [CrossRef] [PubMed]
- Poyatos-Racionero, E.; Pérez-Esteve, É.; Marcos, M.D.; Barat, J.M.; Martínez-Máñez, R.; Aznar, E.; Bernardos, A. New Oleic Acid-Capped Mesoporous Silica Particles as Surfactant-Responsive Delivery Systems. ChemistryOpen 2019, 8, 1052–1056. [Google Scholar] [CrossRef]
- Santos, H.A.; Salonen, J.; Bimbo, L.M.; Lehto, V.P.; Peltonen, L.; Hirvonen, J. Mesoporous materials as controlled drug delivery formulations. J. Drug Deliv. Sci. Technol. 2011, 21, 139–155. [Google Scholar] [CrossRef]
- Manzano, M.; Vallet-Regí, M. New developments in ordered mesoporous materials for drug delivery. J. Mater. Chem. 2010, 20, 5593–5604. [Google Scholar] [CrossRef]
- Clifford, N.W.; Iyer, K.S.; Raston, C.L. Encapsulation and controlled release of nutraceuticals using mesoporous silica capsules. J. Mater. Chem. 2008, 18, 162–165. [Google Scholar] [CrossRef]
- Bernardos, A.; Kourimská, L. Applications of mesoporous silica materials in food—A review. Czech J. Food Sci. 2013, 31, 99–107. [Google Scholar] [CrossRef]
- Ribes, À.; Aznar, E.; Santiago-Felipe, S.; Xifre-Perez, E.; Tormo-Mas, M.Á.; Pemán, J.; Marsal, L.F.; Martínez-Mántild, R. Selective and Sensitive Probe Based in Oligonucleotide-Capped Nanoporous Alumina for the Rapid Screening of Infection Produced by Candida albicans. ACS Sens. 2019, 4, 1291–1298. [Google Scholar] [CrossRef]
- Santos-Figueroa, L.E.; Giménez, C.; Agostini, A.; Aznar, E.; Marcos, M.D.; Sancenón, F.; Martínez-Máñez, R.; Amorós, P. Selective and sensitive chromofluorogenic detection of the sulfite anion in water using hydrophobic hybrid organic-inorganic silica nanoparticles. Angew. Chemie Int. Ed. 2013, 52, 13712–13716. [Google Scholar] [CrossRef]
- de Luis, B.; Llopis-Lorente, A.; Rincón, P.; Gadea, J.; Sancenón, F.; Aznar, E.; Villalonga, R.; Murguía, J.R.; Martínez-Máñez, R. An Interactive Model of Communication between Abiotic Nanodevices and Microorganisms. Angew. Chemie Int. Ed. 2019, 58, 14986–14990. [Google Scholar] [CrossRef] [PubMed]
- Llopis-Lorente, A.; Díez, P.; Sánchez, A.; Marcos, M.D.; Sancenón, F.; Martínez-Ruiz, P.; Villalonga, R.; Martínez-Máñez, R. Interactive models of communication at the nanoscale using nanoparticles that talk to one another. Nat. Commun. 2017, 8, 15511. [Google Scholar] [CrossRef] [PubMed]
- Giménez, C.; Climent, E.; Aznar, E.; Martánez-Máñez, R.; Sancenón, F.; Marcos, M.D.; Amorós, P.; Rurack, K. Towards chemical communication between gated nanoparticles. Angew. Chemie Int. Ed. 2014, 53, 12629–12633. [Google Scholar] [CrossRef] [PubMed]
- Poyatos-Racionero, E.; Ros-Lis, J.V.; Vivancos, J.-L.L.; Martínez-Máñez, R. Recent advances on intelligent packaging as tools to reduce food waste. J. Clean. Prod. 2018, 172, 3398–3409. [Google Scholar] [CrossRef]
- Mas, N.; Arcos, D.; Polo, L.; Aznar, E.; Sánchez-Salcedo, S.; Sancenón, F.; García, A.; Marcos, M.D.; Baeza, A.; Vallet-Regí, M.; et al. Towards the development of smart 3D “gated scaffolds” for on-command delivery. Small 2014, 10, 4859–4864. [Google Scholar] [CrossRef]
- Perez-Esteve, E.; Bernardos, A.; Martinez-Manez, R.; Barat, J. Nanotechnology in the Development of Novel Functional Foods or their Package. An Overview Based in Patent Analysis. Recent Pat. Food. Nutr. Agric. 2013, 5, 35–43. [Google Scholar] [CrossRef]
- Coll, C.; Casasús, R.; Aznar, E.; Marcos, M.D.; Martínez-Máñez, R.; Sancenón, F.; Soto, J.; Amorós, P. Nanoscopic hybrid systems with a polarity-controlled gate-like scaffolding for the colorimetric signalling of long-chain carboxylates. Chem. Commun. 2007, 19, 1957–1959. [Google Scholar] [CrossRef]
- Patel, H.A.; Somani, R.S.; Bajaj, H.C.; Jasra, R.V. Nanoclays for polymer nanocomposites, paints, inks, greases and cosmetics formulations, drug delivery vehicle and waste water treatment. Bull. Mater. Sci. 2006, 29, 133–145. [Google Scholar] [CrossRef]
- Choi, S.J.; Kim, Y.R. Bioinspired layered nanoclays for nutraceutical delivery system. ACS Symp. Ser. 2013, 1143, 207–220. [Google Scholar] [CrossRef]
- Gammoudi, S.; Frini-Srasra, N.; Srasra, E. Influence of exchangeable cation of smectite on HDTMA adsorption: Equilibrium, kinetic and thermodynamic studies. Appl. Clay Sci. 2012, 69, 99–107. [Google Scholar] [CrossRef]
- Carretero, M.I.; Gomes, C.S.F.; Tateo, F. Clays and Human Health. In Developments in Clay Science; Bergaya, F., Theng, B.K., Lagaly, G., Eds.; Elsevier: Amsterdam, The Netherlands, 2006; Volume 1, pp. 717–741. [Google Scholar]
- Lambert, J.F.; Bergaya, F. Smectite-Polymer Nanocomposites. In Developments in Clay Science; Bergaya, F., Lagaly, G., Eds.; Elsevier Ltd.: Amsterdam, The Netherlands, 2013; Volume 5, pp. 679–706. ISBN 9780080982588. [Google Scholar]
- Kumaresan, S.; Pawar, R.R.; Kevadiya, B.D.; Bajaj, H.C. Synthesis of Saponite Based Nanocomposites to Improve the Controlled Oral Drug Release of Model Drug Quinine Hydrochloride Dihydrate. Pharmaceuticals 2019, 12, 105. [Google Scholar] [CrossRef]
- Rivera, A.; Valdés, L.; Jiménez, J.; Pérez, I.; Lam, A.; Altshuler, E.; De Ménorval, L.C.; Fossum, J.O.; Hansen, E.L.; Rozynek, Z. Smectite as ciprofloxacin delivery system: Intercalation and temperature-controlled release properties. Appl. Clay Sci. 2016, 124, 150–156. [Google Scholar] [CrossRef][Green Version]
- Block, K.A.; Trusiak, A.; Katz, A.; Alimova, A.; Wei, H.; Gottlieb, P.; Steiner, J.C. Exfoliation and intercalation of montmorillonite by small peptides. Appl. Clay Sci. 2015, 107, 173–181. [Google Scholar] [CrossRef] [PubMed]
- Joshi, G.V.; Pawar, R.R.; Kevadiya, B.D.; Bajaj, H.C. Mesoporous synthetic hectorites: A versatile layered host with drug delivery application. Microporous Mesoporous Mater. 2011, 142, 542–548. [Google Scholar] [CrossRef]
- Park, J.K.; Choy, Y.B.; Oh, J.M.; Kim, J.Y.; Hwang, S.J.; Choy, J.H. Controlled release of donepezil intercalated in smectite clays. Int. J. Pharm. 2008, 359, 198–204. [Google Scholar] [CrossRef]
- Hermosin, M.C.; Calderón, M.J.; Aguer, J.P.; Cornejo, J. Organoclays for controlled release of the herbicide fenuron. Pest Manag. Sci. 2001, 57, 803–809. [Google Scholar] [CrossRef]
- Bernardos, A.; Bozik, M.; Alvarez, S.; Saskova, M.; Perez-Esteve, E.; Kloucek, P.; Lhotka, M.; Frankova, A.; Martinez-Manez, R. The efficacy of essential oil components loaded into montmorillonite against Aspergillus niger and Staphylococcus aureus. Flavour Fragr. J. 2019, 34, 151–162. [Google Scholar] [CrossRef]
- Yu, W.H.; Li, N.; Tong, D.S.; Zhou, C.H.; Lin, C.X.; Xu, C.Y. Adsorption of proteins and nucleic acids on clay minerals and their interactions: A review. Appl. Clay Sci. 2013, 80, 443–452. [Google Scholar] [CrossRef]
- Arruebo, M. Drug delivery from structured porous inorganic materials. Wiley Interdiscip. Rev. Nanomed. Nanobiotechnol. 2012, 4, 16–30. [Google Scholar] [CrossRef]
- Poyatos-Racionero, E.; González-Álvarez, I.; González-Álvarez, M.; Martínez-Máñez, R.; Marcos, M.D.; Bernardos, A.; Aznar, E. Surfactant—Triggered Molecular Gate Tested on Different Mesoporous Silica Supports for Gastrointestinal Controlled Delivery. Nanomaterials 2020, 10, 1290. [Google Scholar] [CrossRef]
- Anand, V.; Kandarapu, R.; Garg, S. Ion-exchange resins: Carrying drug delivery forward. Drug Discov. Today 2001, 6, 905–914. [Google Scholar] [CrossRef]
- Akbari Alavijeh, M.; Sarvi, M.N.; Ramazani Afarani, Z. Properties of adsorption of vitamin B12 on nanoclay as a versatile carrier. Food Chem. 2017, 219, 207–214. [Google Scholar] [CrossRef] [PubMed]
- Ramazani Afarani, Z.; Sarvi, M.N.; Akbari Alavijeh, M. Modification of montmorillonite nanolayers as a pH-responsive carrier of biomolecules: Delivery of vitamin B12. J. Taiwan Inst. Chem. Eng. 2018, 84, 19–27. [Google Scholar] [CrossRef]
- Conrad, M.E. Anemia. In Clinical Methods: The History, Physical, and Laboratory Examinations; Walker, H., Hall, W., Hurst, J., Eds.; Butterworths: Boston, MA, USA, 1990; pp. 703–708. [Google Scholar]
- Hider, R.C.; Kong, X. Iron: Effect of Overload and Deficiency. In Metal Ions in Life Sciences; Sigel, A., Sigel, H., Sigel, R., Eds.; Springer: Dordrecht, The Netherlands, 2013; Volume 13, pp. 229–294. ISBN 9789400775008. [Google Scholar]
- Green, R.; Allen, L.H.; Bjørke-Monsen, A.L.; Brito, A.; Guéant, J.L.; Miller, J.W.; Molloy, A.M.; Nexo, E.; Stabler, S.; Toh, B.H.; et al. Vitamin B12 deficiency. Nat. Rev. Dis. Prim. 2017, 3, 17040. [Google Scholar] [CrossRef]
- Wolffenbuttel, B.H.; Wouters, H.J.; Heiner-Fokkema, M.R.; van der Klauw, M.M. The Many Faces of Cobalamin (Vitamin B12) Deficiency. Mayo Clin. Proc. Innov. Qual. Outcomes 2019, 3, 200–214. [Google Scholar] [CrossRef]
- Shipton, M.J.; Thachil, J. Vitamin B12 deficiency—A 21st century perspective. Clin. Med. 2015, 15, 145–150. [Google Scholar] [CrossRef]
- Oh, R.C.; Brown, D.L. Vitamin B 12 Deficiency Clinical Manifestations of Vitamin B 12 Deficiency. Am. Fam. Physician 2003, 67, 979–986. [Google Scholar]
- Kozyraki, R.; Cases, O. Vitamin B12 absorption: Mammalian physiology and acquired and inherited disorders. Biochimie 2013, 95, 1002–1007. [Google Scholar] [CrossRef]
- Andrès, E.; Loukili, N.H.; Noel, E.; Kaltenbach, G.; Ben Abdelgheni, M.; Perrin, A.E.; Noblet-Dick, M.; Maloisel, F.; Schlienger, J.L.; Blicklé, J.F. Vitamin B12 (cobalamin) deficiency in elderly patients. Cmaj 2004, 171, 251–259. [Google Scholar] [CrossRef]
- Fedosov, S.N. Physiological and Molecular Aspects of Cobalamin Transport. In Water Soluble Vitamins. Subcellular Biochemistry; Stanger, O., Ed.; Springer: Dordrecht, The Netherlands, 2012; Volume 56, pp. 347–367. ISBN 9789400721999. [Google Scholar]
- Andrès, E.; Kaltenbach, G.; Noel, E.; Noblet-Dick, M.; Perrin, A.E.; Vogel, T.; Schlienger, J.L.; Berthel, M.; Blicklé, J.F. Efficacy of short-term oral cobalamin therapy for the treatment of cobalamin deficiencies related to food-cobalamin malabsorption: A study of 30 patients. Clin. Lab. Haematol. 2003, 25, 161–166. [Google Scholar] [CrossRef]
- Komaromy-Hiller, G.; Nuttall, K.L.; Ashwood, E.R. Effect of storage on serum vitamin B12 and folate stability. Ann. Clin. Lab. Sci. 1997, 27, 249–253. [Google Scholar] [PubMed]
- Chalella Mazzocato, M.; Thomazini, M.; Favaro-Trindade, C.S. Improving stability of vitamin B12 (Cyanocobalamin) using microencapsulation by spray chilling technique. Food Res. Int. 2019, 126, 108663. [Google Scholar] [CrossRef] [PubMed]
- Slowing, I.I.; Vivero-Escoto, J.L.; Trewyn, B.G.; Lin, V.S.-Y. Mesoporous silica nanoparticles: Structural design and applications. J. Mater. Chem. 2010, 20, 7924–7937. [Google Scholar] [CrossRef]
- Thommes, M.; Kaneko, K.; Neimark, A.V.; Olivier, J.P.; Rodriguez-Reinoso, F.; Rouquerol, J.; Sing, K.S. Physisorption of gases, with special reference to the evaluation of surface area and pore size distribution (IUPAC Technical Report). Pure Appl. Chem. 2015, 87, 1051–1069. [Google Scholar] [CrossRef]
- Goutelle, S.; Maurin, M.; Rougier, F.; Barbaut, X.; Bourguignon, L.; Ducher, M.; Maire, P. The Hill equation: A review of its capabilities in pharmacological modelling. Fundam. Clin. Pharmacol. 2008, 22, 633–648. [Google Scholar] [CrossRef]
- Bruschi, M.L. (Ed.) Mathematical models of drug release. In Strategies to Modify the Drug Release from Pharmaceutical Systems; Woodhead Publishing: Cambridge, UK, 2015; pp. 63–86. ISBN 9780081000922. [Google Scholar]
- Sgouras, D.; Duncan, R. Methods for the evaluation of biocompatibility of soluble synthetic polymers which have potential for biomedical use: 1—Use of the tetrazolium-based colorimetric assay (MTT) as a preliminary screen for evaluation of in vitro cytotoxicity. J. Mater. Sci. Mater. Med. 1990, 1, 61–68. [Google Scholar] [CrossRef]
- Jaganathan, H.; Godin, B. Biocompatibility assessment of Si-based nano- and micro-particles. Adv. Drug Deliv. Rev. 2012, 64, 1800–1819. [Google Scholar] [CrossRef]
- Yazdimamaghani, M.; Barber, Z.B.; Hadipour Moghaddam, S.P.; Ghandehari, H. Influence of Silica Nanoparticle Density and Flow Conditions on Sedimentation, Cell Uptake, and Cytotoxicity. Mol. Pharm. 2018, 15, 2372–2383. [Google Scholar] [CrossRef]










| A | B | C | D | E | |
|---|---|---|---|---|---|
| KF | 12.35 | 6.22 | 4.48 | 3.13 | 2.56 |
| KF-RhB | 19.61 | 11.47 | 4.48 | 3.14 | 2.54 |
| KF-RhB-OA | 18.79 | 9.40 | 4.49 | 3.13 | 2.56 |
| SSA | 12.35 | 4.55 | 3.19 | 2.58 | |
| SSA-RhB | 21.71 | 4.55 | 2.59 | ||
| SSA-RhB-OA | 18.79 | 4.57 | 2.58 | ||
| SSWN | 13.55 | 4.52 | 3.21 | 2.57 | |
| SSWN-RhB | 19.96 | 4.54 | 2.57 | ||
| SSWN-RhB-OA | 15.64 | 4.55 | 2.56 |
| SBET (m2 g−1) | Pore Volume a (cm3 g−1) | |
|---|---|---|
| KF | 5.7 | 0.04 |
| KF-RhB-OA | 4.8 | 0.03 |
| SSA | 250.5 | 0.14 |
| SSA-RhB-OA | 9.9 | 0.01 |
| SSWN | 242.1 | 0.10 |
| SSWN-RhB-OA | 11.3 | 0.07 |
| Solid | αcargo | αAPTES | αOA |
|---|---|---|---|
| KF-RhB-OA | 0.69 | 1.3 | 1.3 |
| SSA-RhB-OA | 0.74 | 0.79 | 0.61 |
| SSWN-RhB-OA | 0.78 | 0.31 | 0.30 |
| System | Hill | Higuchi | K–P | |||||||
|---|---|---|---|---|---|---|---|---|---|---|
| Fmax | γ | k (min) | r2 | KH (min−½) | r2 | K (min−n) | n | b | r2 | |
| KF-RhB-OA | 17.85 | 0.96 | 86.14 | 0.991 | 0.78 | 0.97 | 7.75 | 0.40 | 0 | 0.99 |
| SSA-RhB-OA | 10.47 | 1.27 | 52.54 | 0.987 | 0.55 | 0.94 | 11.1 | 0.37 | 0 | 0.98 |
| SSWN-RhB-OA | 30.57 | 1.21 | 73.64 | 0.995 | 1.46 | 0.96 | 7.83 | 0.41 | 0 | 0.98 |
| SSWN-Hem-OA | 49.38 | 1.83 | 750.02 | 0.948 | 0.50 | 0.83 | 0.01 | 1.21 | 0.71 | 0.96 |
| SSWN-B12-OA | 32.72 | 0.79 | 14.86 | 0.975 | 1.79 | 0.69 | 3.49 | 0.42 | 44.2 | 0.74 |
Publisher’s Note: MDPI stays neutral with regard to jurisdictional claims in published maps and institutional affiliations. |
© 2022 by the authors. Licensee MDPI, Basel, Switzerland. This article is an open access article distributed under the terms and conditions of the Creative Commons Attribution (CC BY) license (https://creativecommons.org/licenses/by/4.0/).
Share and Cite
Poyatos-Racionero, E.; Pérez-Esteve, É.; Medaglia, S.; Aznar, E.; Barat, J.M.; Martínez-Máñez, R.; Marcos, M.D.; Bernardos, A. Gated Organonanoclays for Large Biomolecules: Controlled Release Triggered by Surfactant Stimulus. Nanomaterials 2022, 12, 2694. https://doi.org/10.3390/nano12152694
Poyatos-Racionero E, Pérez-Esteve É, Medaglia S, Aznar E, Barat JM, Martínez-Máñez R, Marcos MD, Bernardos A. Gated Organonanoclays for Large Biomolecules: Controlled Release Triggered by Surfactant Stimulus. Nanomaterials. 2022; 12(15):2694. https://doi.org/10.3390/nano12152694
Chicago/Turabian StylePoyatos-Racionero, Elisa, Édgar Pérez-Esteve, Serena Medaglia, Elena Aznar, José M. Barat, Ramón Martínez-Máñez, Maria Dolores Marcos, and Andrea Bernardos. 2022. "Gated Organonanoclays for Large Biomolecules: Controlled Release Triggered by Surfactant Stimulus" Nanomaterials 12, no. 15: 2694. https://doi.org/10.3390/nano12152694
APA StylePoyatos-Racionero, E., Pérez-Esteve, É., Medaglia, S., Aznar, E., Barat, J. M., Martínez-Máñez, R., Marcos, M. D., & Bernardos, A. (2022). Gated Organonanoclays for Large Biomolecules: Controlled Release Triggered by Surfactant Stimulus. Nanomaterials, 12(15), 2694. https://doi.org/10.3390/nano12152694

