Review of Heat Transfer Analysis in Different Cavity Geometries with and without Nanofluids
Abstract
:1. Introduction
2. Review on Circular Cavities
3. Review on Cylindrical Cavities
4. Review on Hexagonal Cavities
5. Review on Rectangular Cavities
6. Conclusions
- The Nusselt number graphs behave differently when decreasing the Richardson number.
- Comparatively, the natural heat transfer process dominates at Ri = 10, but lid motion is absent at Ri = 1.
- For a given Ri and Pr, the cavity without a block performed better than the cavity with a square or circular block.
- As a performance indicator, the heat transfer coefficient at the heating sources has been established. Hot source fins improve heat transmission and reduce gallium melting time.
- Increasing the aperture size boosts both radiation and free convection heat transfer.
- On the side surface of the cavity, temperatures progressively drop away from the bottom surface, but there is no discernible change.
- The Biot number has little influence on flow and thermal strata since it governs phenomena outside the cavity.
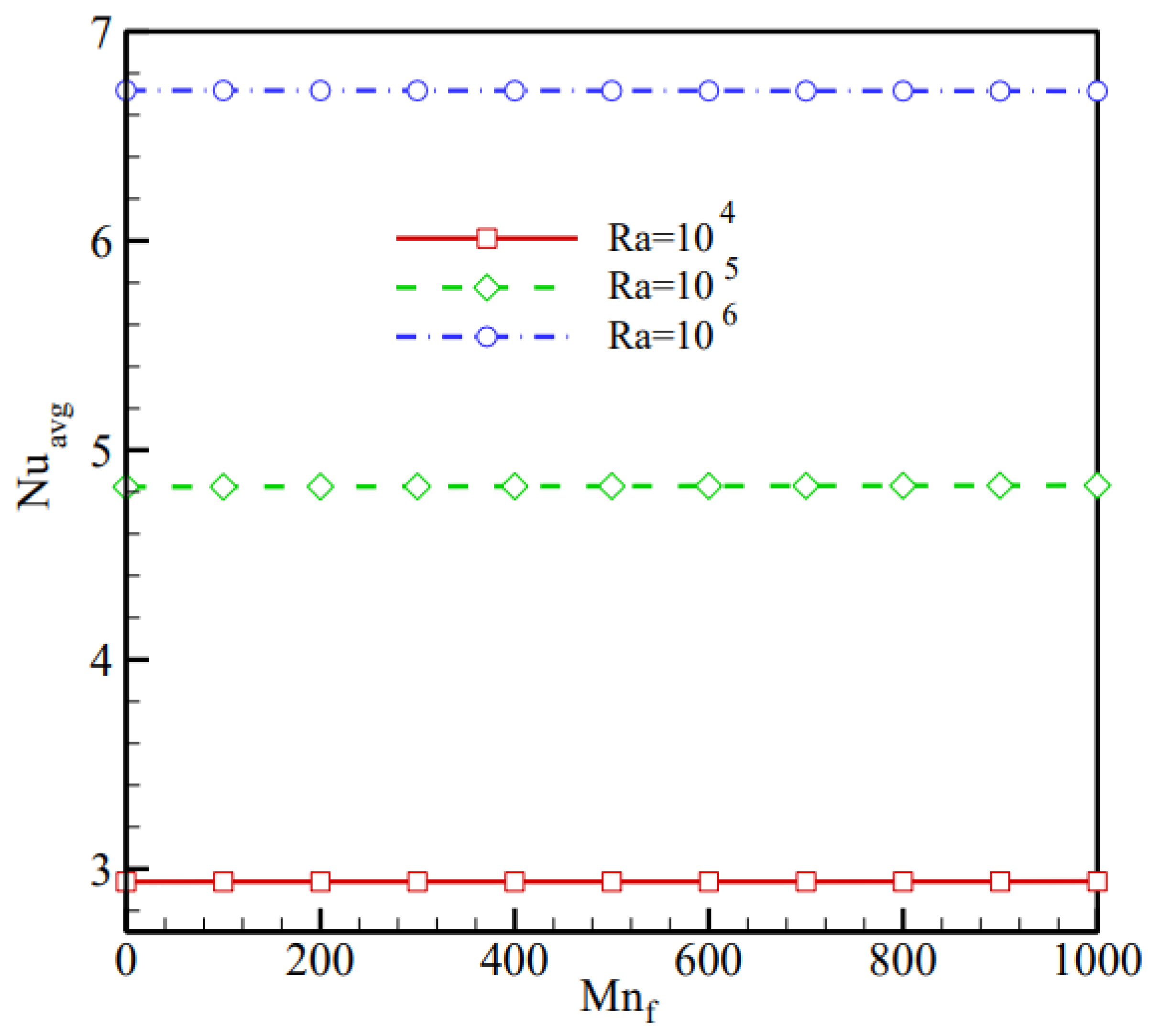
- Magnetic fields produced the greatest Nuav enhancement on the cavity’s side wall.
- Increasing the aspect ratio from 1 to 10 reduced Nu by about 23%.
- The use of upgraded methods consisting of innovative fins and nanoparticles results in an improvement in the melting characteristic.
- Both the rate of heat transmission and the rate of melting are increased when the inner tube is positioned such that it is at the bottom of the enclosure as well as when the concentration of the nanoparticles is increased.
- The reduction in PCM’s melting time by roughly 15%, which results from the inclusion of Al2O3 nanoparticles at a volumetric concentration of 3%, increases PCM melting performance.
- The optimal area to improve heat transmission is 70% of the hot plate height or 30% of the cold plate height.
- The double rotations accelerated heat capacity, nanofluid flow, and concentration inside an annulus and altered temperature.
- Transverse vibrations effectively control heat convection in spinning systems.
7. Future Directions
- There is a possibility that the heat fluxes measured in tests will not match those measured in actual applications, particularly with highly concentrated solar technologies. In the near future, numerical studies with large fluxes will be carried out in order to make up for the current deficit.
- In subsequent research, it will be possible to determine the effect of the height and width of the flow modulator, the temperature continuity at the blade surface in order to incorporate a two-way thermal coupling, and the variation of the thermo–physical and geometric configurations of the solid domain.
- Because the movement of nanoparticles alters the local concentration of nanoparticles, an examination of the modification of the local characteristics of the nanofluid that is caused by the movement of nanoparticles may be addressed in future research if it is desired.
- It is possible that the melting process entails turbulent natural convection in future research, which would correspond to the laminar state that was found in the cavity in earlier investigations.
- Studies on the entropy and economy of solar cavity receivers may be provided in further works.
Author Contributions
Funding
Institutional Review Board Statement
Informed Consent Statement
Data Availability Statement
Conflicts of Interest
Abbreviation
| Symbol | Definition |
| AR | Aspect ratio |
| Bi | Biot number |
| CFD | Computational fluid dynamics |
| CVFEM | The control volume finite element method |
| FEM | Finite element method |
| FHD | Ferro-hydrodynamic |
| Ha | Hartmann number |
| HTF | Heat transfer fluid |
| MHD | Magnetohydrodynamic |
| Mnf | Magnetic number |
| MWCNT | Multi-wall carbon nanotubes |
| NePCM | Nano-enhanced phase change material |
| Nu | Nusselt number |
| PCM | Phase change material |
| Pr | Prandtl number |
| Ra | Rayleigh number |
| Ri | Richardson number |
| α | Angle of cavity |
| γr | Magnetic strengths ratio parameter |
| φ | Tilt angle |
| ϕ | The volume fraction of solid nanoparticles |
References
- Bhatti, M.M.; Riaz, A.; Zhang, L.; Sait, S.M.; Ellahi, R. Biologically inspired thermal transport on the rheology of Williamson hydromagnetic nanofluid flow with convection: An entropy analysis. J. Therm. Anal. 2021, 144, 2187–2202. [Google Scholar] [CrossRef]
- Qasem, N.A.A.; Aissa, A.; Younis Obai Guedrif, K.; Saidgh, Z.; Mouradb, A. Effect of a rotating cylinder on convective flow, heat and entropy production of a 3D wavy enclosure filled by a phase change material. Appl. Therm. Eng. 2022, 214, 118818. [Google Scholar] [CrossRef]
- Bhatti, M.M.; Abdelsalam, S.I. Thermodynamic entropy of a magnetized Ree-Eyring particle-fluid motion with irreversibility process: A mathematical paradigm. Z. Angew Math. Mech. 2020, 101, e202000186. [Google Scholar] [CrossRef]
- Laidoudi, H.; Abderrahmane, A.; Saeed, A.M.; Guedri, K.; Weera, W.; Younis, O.; Mourad, A.; Marzouki, R. Irreversibility Interpretation and MHD Mixed Convection of Hybrid Nanofluids in a 3D Heated Lid-Driven Chamber. Nanomaterials 2022, 12, 1747. [Google Scholar] [CrossRef] [PubMed]
- Bhatti, M.M.; Abdelsalam, S.I. Bio-inspired peristaltic propulsion of hybrid nanofluid flow with Tantalum (Ta) and Gold (Au) nanoparticles under magnetic effects. Waves Random Complex Media 2021, 1–26. [Google Scholar] [CrossRef]
- Rasool, G.; Saeed, A.M.; Lare, A.I.; Abderrahmane, A.; Guedri, K.; Vaidya, H.; Marzouki, R. Darcy-Forchheimer Flow of Water Conveying Multi-Walled Carbon Nanoparticles through a Vertical Cleveland Z-Staggered Cavity Subject to Entropy Generation. Micromachines 2022, 13, 744. [Google Scholar] [CrossRef]
- Bhatti, M.; Arain, M.; Zeeshan, A.; Ellahi, R.; Doranehgard, M. Swimming of Gyrotactic Microorganism in MHD Williamson nanofluid flow between rotating circular plates embedded in porous medium: Application of thermal energy storage. J. Energy Storage 2022, 45, 103511. [Google Scholar] [CrossRef]
- Alshare, A.; Abderrahmane, A.; Guedri, K.; Younis, O.; Fayz-Al-Asad, M.; Ali, H.M.; Al-Kouz, W. Hydrothermal and Entropy Investigation of Nanofluid Natural Convection in a Lid-Driven Cavity Concentric with an Elliptical Cavity with a Wavy Boundary Heated from Below. Nanomaterials 2022, 12, 1392. [Google Scholar] [CrossRef]
- Bhatti, M.M.; Bég, O.A.; Abdelsalam, S.I. Computational Framework of Magnetized MgO–Ni/Water-Based Stagnation Nanoflow Past an Elastic Stretching Surface: Application in Solar Energy Coatings. Nanomaterials 2022, 12, 1049. [Google Scholar] [CrossRef]
- Maneengam, A.; Laidoudi, H.; Abderrahmane, A.; Rasool, G.; Guedri, K.; Weera, W.; Younis, O.; Bouallegue, B. Entropy Generation in 2D Lid-Driven Porous Container with the Presence of Obstacles of Different Shapes and under the Influences of Buoyancy and Lorentz Forces. Nanomaterials 2022, 12, 2206. [Google Scholar] [CrossRef]
- Kasaeian, A.; Kouravand, A.; Rad, M.A.V.; Maniee, S.; Pourfayaz, F. Cavity receivers in solar dish collectors: A geometric overview. Renew. Energy 2021, 169, 53–79. [Google Scholar] [CrossRef]
- Harmand, S.; Pellé, J.; Poncet, S.; Shevchuk, I. Review of fluid flow and convective heat transfer within rotating disk cavities with impinging jet. Int. J. Therm. Sci. 2013, 67, 1–30. [Google Scholar] [CrossRef] [Green Version]
- Cai, Z.; Wang, T.; Sun, M. Review of cavity ignition in supersonic flows. Acta Astronaut. 2019, 165, 268–286. [Google Scholar] [CrossRef]
- Loni, R.; Asli-Areh, E.A.; Ghobadian, B.; Kasaeian, A.; Gorjian, S.; Najafi, G.; Bellos, E. Research and review study of solar dish concentrators with different nanofluids and different shapes of cavity receiver: Experimental tests. Renew. Energy 2020, 145, 783–804. [Google Scholar] [CrossRef]
- Dhaidan, N.S.; Kokz, S.A.; Rashid, F.L.; Hussein, A.K.; Younis, O.; Al-Mousawi, F.N. Review of solidification of phase change materials dispersed with nanoparticles in different containers. J. Energy Storage 2022, 51, 104271. [Google Scholar] [CrossRef]
- Hadavand, M.; Yousefzadeh, S.; Akbari, O.A.; Pourfattah, F.; Nguyen, H.; Asadi, A. A numerical investigation on the effects of mixed convection of Ag-water nanofluid inside a sim-circular lid-driven cavity on the temperature of an electronic silicon chip. Appl. Therm. Eng. 2019, 162, 114298. [Google Scholar] [CrossRef]
- Gangawane, K.M.; Oztop, H.F. Mixed convection in the heated semi-circular lid-driven cavity for non-Newtonian power-law fluids: Effect of presence and shape of the block. Chin. J. Chem. Eng. 2020, 28, 1225–1240. [Google Scholar] [CrossRef]
- Dogonchi, A.; Waqas, M.; Seyyedi, S.M.; Hashemi-Tilehnoee, M.; Ganji, D. A modified Fourier approach for analysis of nanofluid heat generation within a semi-circular enclosure subjected to MFD viscosity. Int. Commun. Heat Mass Transf. 2020, 111, 104430. [Google Scholar] [CrossRef]
- Hatami, M.; Song, D.; Jing, D. Optimization of a circular-wavy cavity filled by nanofluid under the natural convection heat transfer condition. Int. J. Heat Mass Transf. 2016, 98, 758–767. [Google Scholar] [CrossRef]
- Sheikholeslami, M.; Mehryan, S.; Shafee, A.; Sheremet, M.A. Variable magnetic forces impact on magnetizable hybrid nanofluid heat transfer through a circular cavity. J. Mol. Liq. 2019, 277, 388–396. [Google Scholar] [CrossRef]
- Shahrestani, A.B.; Alshuraiaan, B.; Izadi, M. Combined natural convection-FSI inside a circular enclosure divided by a movable barrier. Int. Commun. Heat Mass Transf. 2021, 126, 105426. [Google Scholar] [CrossRef]
- Bouhal, T.; Fertahi, S.E.-D.; Kousksou, T.; Jamil, A. CFD thermal energy storage enhancement of PCM filling a cylindrical cavity equipped with submerged heating sources. J. Energy Storage 2018, 18, 360–370. [Google Scholar] [CrossRef]
- Shen, Z.-G.; Wu, S.-Y.; Xiao, L.; Qiu, Y.; Wang, K. Effect of aperture size on free convection and radiation heat transfer in isoflux upward-facing cylindrical cavities. Exp. Therm. Fluid Sci. 2017, 87, 1–14. [Google Scholar] [CrossRef]
- Shen, Z.-G.; Wu, S.-Y.; Xiao, L.; Li, D.-L.; Wang, K. Experimental and numerical investigations of combined free convection and radiation heat transfer in an upward-facing cylindrical cavity. Int. J. Therm. Sci. 2015, 89, 314–326. [Google Scholar] [CrossRef]
- Shen, Z.-G.; Wu, S.-Y.; Xiao, L.; Wang, K. Effect of tilt angle on the stability of free convection heat transfer in an upward-facing cylindrical cavity: Numerical analysis. Int. J. Therm. Sci. 2016, 107, 13–24. [Google Scholar] [CrossRef]
- Vjatkin, A.; Kozlov, V.; Sabirov, R. Convection of a heat-generating fluid in a rotating cylindrical cavity subject to transverse vibrations. Int. J. Therm. Sci. 2019, 137, 560–570. [Google Scholar] [CrossRef]
- Xiao, L.; Cai, X.-D.; Wu, S.-Y. Experimental investigation on natural convective heat loss of cylindrical cavity with/without a quartz window. Int. J. Therm. Sci. 2020, 150, 106220. [Google Scholar] [CrossRef]
- Al-Rashed, A.A.; Shahsavar, A.; Akbari, M.; Toghraie, D.; Akbari, M.; Afrand, M. Finite Volume Simulation of mixed convection in an inclined lid-driven cavity filled with nanofluids: Effects of a hot elliptical centric cylinder, cavity angle and volume fraction of nanoparticles. Phys. A Stat. Mech. Its Appl. 2019, 527, 121122. [Google Scholar] [CrossRef]
- Daabo, A.M.; Al-Mola, Y.S.; Al-Rawy, A.Y.; Lattimore, T. State of the art single-objective optimization of small scale cylindrical cavity receiver. Sustain. Energy Technol. Assess. 2019, 35, 278–290. [Google Scholar] [CrossRef]
- Shen, Z.-G.; Wu, S.-Y.; Xiao, L. Numerical study of wind effects on combined convective heat loss from an upward-facing cylindrical cavity. Sol. Energy 2016, 132, 294–309. [Google Scholar] [CrossRef]
- Alipourtarzanagh, E.; Chinnici, A.; Nathan, G.J.; Dally, B.B. Experimental insights into the mechanism of heat losses from a cylindrical solar cavity receiver equipped with an air curtain. Sol. Energy 2020, 201, 314–322. [Google Scholar] [CrossRef]
- Zhang, J.; Cao, Z.; Huang, S.; Huang, X.; Liang, K.; Yang, Y.; Zhang, H.; Tian, M.; Akrami, M.; Wen, C. Improving the melting performance of phase change materials using novel fins and nanoparticles in tubular energy storage systems. Appl. Energy 2022, 322, 119416. [Google Scholar] [CrossRef]
- Bouzennada, T.; Mechighel, F.; Ghachem, K.; Kolsi, L. Numerical Simulation of the Impact of the Heat Source Position on Melting of a Nano-Enhanced Phase Change Material. Nanomaterials 2021, 11, 1425. [Google Scholar] [CrossRef] [PubMed]
- Han, Y.; Yang, Y.; Mallick, T.; Wen, C. Nanoparticles to Enhance Melting Performance of Phase Change Materials for Thermal Energy Storage. Nanomaterials 2022, 12, 1864. [Google Scholar] [CrossRef] [PubMed]
- Ahmed, S.E.; Raizah, Z.A. FEM treatments for MHD radiative convective flow of MWCNTs C2H6O2 nanofluids between inclined hexagonal/hexagonal or hexagonal/cylinder. Ain Shams Eng. J. 2022, 13, 101549. [Google Scholar] [CrossRef]
- Ikram, M.; Saha, G.; Saha, S.C. Conjugate forced convection transient flow and heat transfer analysis in a hexagonal, partitioned, air filled cavity with dynamic modulator. Int. J. Heat Mass Transf. 2021, 167, 120786. [Google Scholar] [CrossRef]
- Rehman, K.U.; Malik, M.; Al-Mdallal, Q.M.; Al-Kouz, W. Heat transfer analysis on buoyantly convective non-Newtonian stream in a hexagonal enclosure rooted with T-Shaped flipper: Hybrid meshed analysis. Case Stud. Therm. Eng. 2020, 21, 100725. [Google Scholar] [CrossRef]
- Haq, R.U.; Soomro, F.A.; Wang, X.; Tlili, I. Partially heated lid-driven flow in a hexagonal cavity with inner circular obstacle via FEM. Int. Commun. Heat Mass Transf. 2020, 117, 104732. [Google Scholar] [CrossRef]
- Ghalambaz, M.; Sabour, M.; Sazgara, S.; Pop, I.; Trâmbiţaş, R. Insight into the dynamics of ferrohydrodynamic (FHD) and magnetohydrodynamic (MHD) nanofluids inside a hexagonal cavity in the presence of a non-uniform magnetic field. J. Magn. Magn. Mater. 2020, 497, 166024. [Google Scholar] [CrossRef]
- Ali, M.M.; Alim, M.; Ahmed, S.S. Magnetohydrodynamic Mixed Convection Flow in a Hexagonal Enclosure. Procedia Eng. 2017, 194, 479–486. [Google Scholar] [CrossRef]
- Aly, A.M.; Al-Hanaya, A.; Raizah, Z. The magnetic power on natural convection of NEPCM suspended in a porous annulus between a hexagonal-shaped cavity and dual curves. Case Stud. Therm. Eng. 2021, 28, 101354. [Google Scholar] [CrossRef]
- Aly, A.M.; Raizah, Z.; Al-Hanaya, A. Double rotations between an inner wavy shape and a hexagonal-shaped cavity suspended by NEPCM using a time-fractional derivative of the ISPH method. Int. Commun. Heat Mass Transf. 2021, 127, 105533. [Google Scholar] [CrossRef]
- Giwa, S.O.; Sharifpur, M.; Meyer, J.P. Effects of uniform magnetic induction on heat transfer performance of aqueous hybrid ferrofluid in a rectangular cavity. Appl. Therm. Eng. 2020, 170, 115004. [Google Scholar] [CrossRef]
- Elsherbiny, S.M.; Ismail, O.I. Heat transfer in inclined air rectangular cavities with two localized heat sources. Alex. Eng. J. 2015, 54, 917–927. [Google Scholar] [CrossRef] [Green Version]
- Soares, N.; Gaspar, A.; Santos, P.; Costa, J. Experimental study of the heat transfer through a vertical stack of rectangular cavities filled with phase change materials. Appl. Energy 2015, 142, 192–205. [Google Scholar] [CrossRef]
- Giwa, S.; Sharifpur, M.; Meyer, J. Experimental investigation into heat transfer performance of water-based magnetic hybrid nanofluids in a rectangular cavity exposed to magnetic excitation. Int. Commun. Heat Mass Transf. 2020, 116, 104698. [Google Scholar] [CrossRef]
- Li, H.; Tong, S. Natural convective heat transfer in the inclined rectangular cavities with low width-to-height ratios. Int. J. Heat Mass Transf. 2016, 93, 398–407. [Google Scholar] [CrossRef]
- Qi, R.; Wang, Z.; Ren, J.; Wu, Y. Numerical investigation on heat transfer characteristics during melting of lauric acid in a slender rectangular cavity with flow boundary condition. Int. J. Heat Mass Transf. 2020, 157, 119927. [Google Scholar] [CrossRef]
- Li, Z.-R.; Hu, N.; Liu, J.; Zhang, R.-H.; Fan, L.-W. Revisiting melting heat transfer of nano-enhanced phase change materials (NePCM) in differentially-heated rectangular cavities using thermochromic liquid crystal (TLC) thermography. Int. J. Heat Mass Transf. 2020, 159, 120119. [Google Scholar] [CrossRef]
- Thiers, N.; Gers, R.; Skurtys, O. Heat transfer enhancement by localised time varying thermal perturbations at hot and cold walls in a rectangular differentially heated cavity. Int. J. Therm. Sci. 2020, 151, 106245. [Google Scholar] [CrossRef]
- Li, P.; Wang, Z.; Liu, Z.; Heng, W.; Qin, H. Convective heat transfer mechanisms of molten phase change material in a vertical slender rectangular cavity: A numerical case study. Case Stud. Therm. Eng. 2021, 26, 101139. [Google Scholar] [CrossRef]
- Qin, H.; Wang, Z.; Heng, W.; Liu, Z.; Li, P. Numerical study of melting and heat transfer of PCM in a rectangular cavity with bilateral flow boundary conditions. Case Stud. Therm. Eng. 2021, 27, 101183. [Google Scholar] [CrossRef]






























| Authors (Year) | Configuration | Studied Parameters | Study Type | Findings/Highlighted Results |
|---|---|---|---|---|
| Hadavand et al. (2019) [16] | A new semi-circular lid-driven cavity. | Attack angle, the volume fraction of nanoparticle, and Richardson number. | Numerical (FVM) | The major factor of density difference at Ri = 10 is the cold surface contact with the fluid. |
| Gangawane and Oztop (2020) [17] | Lid-driven semi-circular cavity with an adiabatic block with different geometries at the center. | The impact of the shape of the adiabatic block, i.e., circular, square, and triangular, on heat transmission. | Numerical (ANSYS) | The block’s presence reduced the cavity’s convection heat transmission. |
| Dogonchi et al. (2020) [18] | The cavity of semi-circular geometry is filled with ferronanofluid (Fe3O4-H2O). | The effect of nanoparticle volume fraction, heat source/sink parameters, Hartmann number, shape factor, thermal relaxation parameter, and Rayleigh number on fluid flow properties and heat transfer. | Numerical (CVFEM) | The magnetic field may be used to regulate the system. |
| Hatami et al. (2016) [19] | Circular-wavy cavity | Effects of Nr, Ra, and Le on the isotherm, streamlines, and Nusselt number. | Numerical (FEM) | The suggested FEM with RSM should be useful for optimizing heat transport in irregular geometries. |
| Sheikholeslami et al. (2018) [20] | Circular cavity with two circular heaters. | Rayleigh number, location angle of heaters, the magnetic strengths ratio, magnetic number, Hartmann number, and nanocomposite particles concentration. | Numerical (FEM) | The host fluid’s Nusselt number increases with MWCNT-Fe3O4 hybrid nanoparticles. |
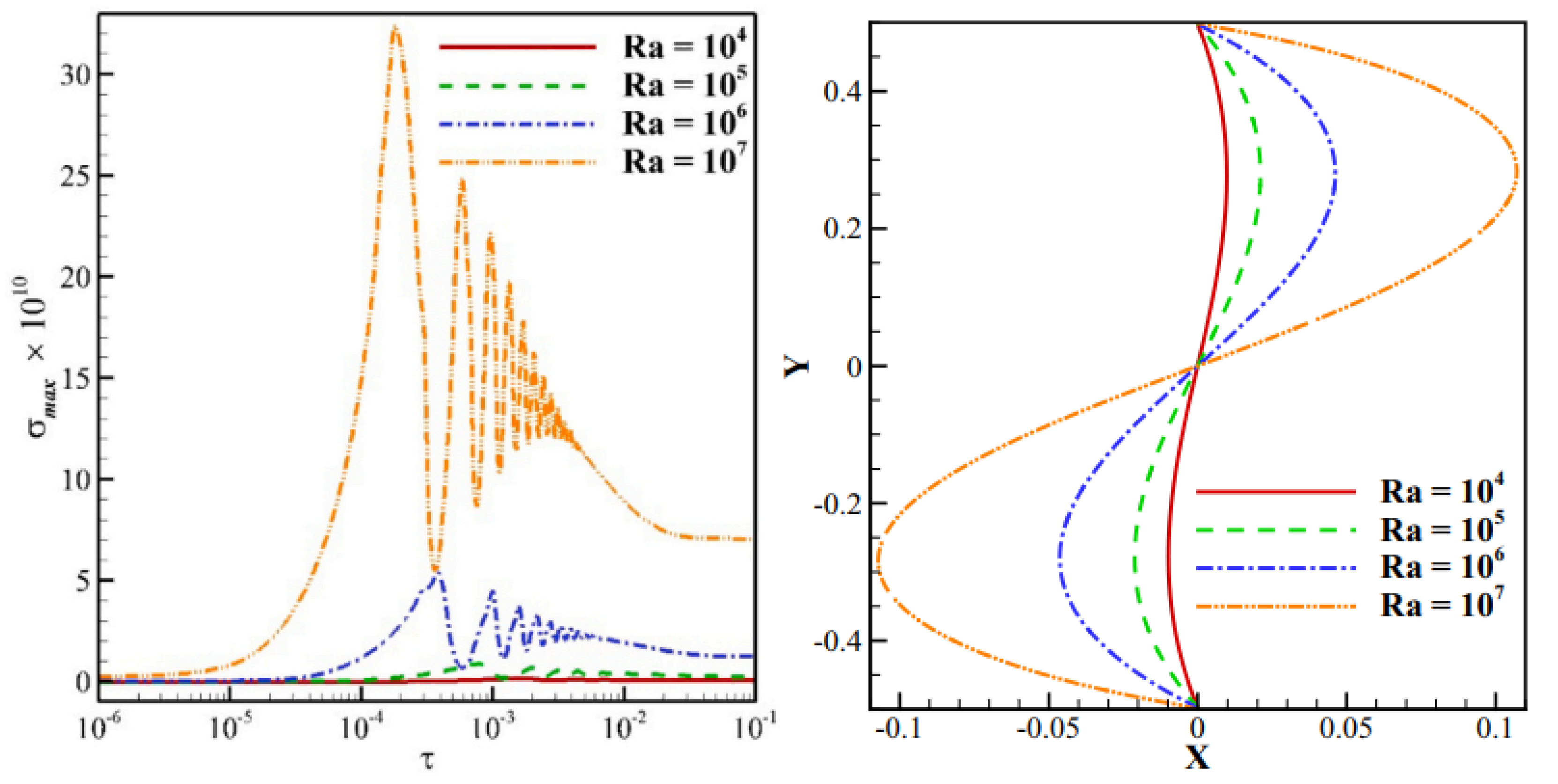
| Ahmadreza et al. (2021) [21] | Newtonian fluid is contained inside a partitioned circular enclosure with a flexible wall. | Rayleigh number and Prandtl number. | Numerical (FEM) | The overall stress applied to the plate is 70 times greater when Pr is increased from 0.71 to 200. |
| Authors (Year) | Configuration | Studied Parameters | Study Type | Findings/Highlighted Results |
|---|---|---|---|---|
| Bouhal et al. (2018) [22] | A cylindrical cavity incorporates heating sources. | The geometric influence of heating sources and boundary conditions on heat transfer. | Numerical (the physical enthalpy-porosity model) | The fin design increased heat transmission and sped up the melting time of the PCM. |
| Shen et al. (2017) [23] | Upward-facing cylindrical chambers with isoflux. | Heat flux and tilt angle effects on various aperture diameters. | Experimental and numerical | The changing patterns of radiation heat transfer Nusselt numbers and free convection with heat flux and tilt angle are unaffected by aperture size. |
| Shen et al. (2015) [24] | Continuous heat flow in an upward-facing cylindrical hollow. | Cavity tilt angle and heat flux. | Experimental, numerical, and empirical | A unique correlation that accurately incorporates the effect of surface heating was initially created to aid many engineering problems when changing surface heating. |
| Shen et al. (2016) [25] | Continuous heat flow across a cylindrical hollow. | Heat flux and aperture ratio on the tilt angle of the critical cavity. | Experimental and numerical | More characteristics, particularly those within the cavity, should be considered to determine the critical cavity tilt angle. |
| Vjatkin et al. (2019) [26] | A horizontal spinning cylinder with isothermal boundaries subject to translational vibrations. | Average non-isothermal fluid convection and transverse vibrations in a rotating hollow. | Experimentally and theoretically | Transverse vibrations are effective tools for controlling heat convection in spinning systems. |
| Xiao et al. (2020) [27] | Cylinder with or without quartz window. | The tilt angles and heated states of the walls. | Experimental | The quartz window helps enhance cavity temperature. |
| Al-Rashed et al. (2019) [28] | The heated elliptical central cylinder inside a lid-driven hollow. | The solid volume fraction of nanoparticles, a hot elliptical centric cylinder, and cavity angle. | Numerical | The enhancing rate of the Nu from 0 to 45° in base fluid and ϕ = 0.1% and 0.2% is identical to 1.7, 0.8 and 0.3, respectively. |
| Daabo et al. (2019) [29] | Infrared thermal receiver for small-scale solar Brayton cycle. | Optimize optical and thermal performance. | Numerical (ANSYS) and experimental | A 23% reduction in the heat transfer coefficient of the examined geometry. |
| Shen et al. (2016) [30] | Isothermal upward-facing cylindrical cavity. | Wind speed, surface temperature, wind incident angle, and cavity tilt angle. | Numerical | The optimal wind incidence angle for maximum loss of combined convective heat depends on the tilt angle of the cavity and wind speed. |
| Alipourtarzanagh et al. (2020) [31] | A receiver with a heated cylindrical chamber and a set tilt angle. | The effectiveness of an air curtain. | Experimental | An air curtain facing the wind rather than the aperture plane should be used for tilted tower cavity receivers. |
| Zhang et al. (2022) [32] | An innovative fin structure and Al2O3 nanoparticles were used in tubular energy storage devices. | Fin layouts and volume fractions of nanoparticles. | Experimental | The use of upgraded methods consisting of innovative fins and nanoparticles results in an improvement in the melting characteristic. |
| Bouzennada et al. (2021) [33] | The heat transfer fluid may be circulated thanks to the cylindrical enclosure’s inner tube, which is fitted with the necessary hardware. | Inner tube location and nanoparticle concentrations. | Numerical | Both the rate of heat transmission and the rate of melting are increased when the inner tube is positioned such that it is at the bottom of the enclosure, as well as when the concentration of the nanoparticles increased. |
| Han et al. (2022) [34] | In an annular tube, nanoparticles (Al2O3-, copper-, and graphene-based nanofluids) are used. | % vol. of Al2O3-, copper- and graphene. | Experimental | The reduction in PCM’s melting time by roughly 15 percent that results from the inclusion of Al2O3 nanoparticles at a volumetric concentration of 3 percent increases PCM melting performance. |
| Authors (Year) | Configuration | Studied Parameters | Study Type | Findings/Highlighted Results |
|---|---|---|---|---|
| Ahmed and Raizah (2021) [35] | Polygonal/polygonal or polygonal/cylinder forms that are inclined. | Entropy, area of flow, and fluid friction. | Galerkin finite element method (FEM) | The increased ratios of entropy tool values due to the variations of γ take their high values at minimum values of Ha and γ = 30. |
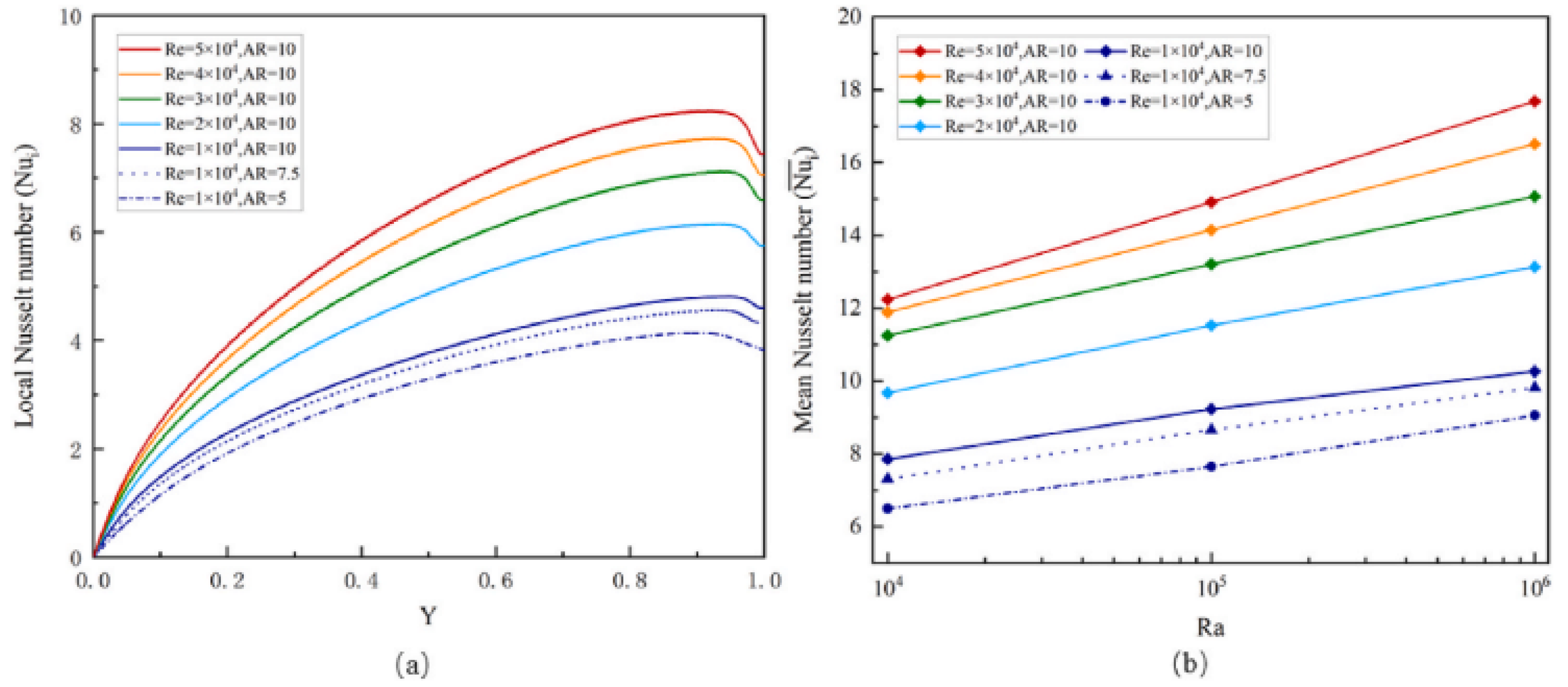
| Ikram et al. (2021) [36] | A hexagonal air-filled chamber with a constant heat flux floor heater rotated by an adiabatic flow modulator. | An adiabatic flow modulator’s rotation. | Numerical (FVM) | The system response fundamental frequency matches the blade frequency. |
| Rehman et al. (2020) [37] | The evenly heated T-shaped fin is implanted at the bottom wall of the hexagonal hollow. | The velocity and temperature distribution around uniformly heated T-shaped with Rayleigh number. | Numerical (FEM) | The dimensionless Casson fluid vertical velocity parameter in a vertical T-shaped fin placed in a hexagonal cage boosts Casson fluid. |
| Haq et al. (2020) [38] | Hexagonal lid-driven hollow with a heated top wall. | Isotherms behavior, the heat transfer rate, and steam lines. | Numerical (FEM) | The Reynold number, heat duration, and Richardson number are linked to heat flow. |
| Ghalambaz et al. (2019) [39] | The non-uniform magnetic field in a hexagonal container. | Lorentz force, magnetic number. | Numerical (FVM) | Less heat and mass transport when Lorentz force (Hartmann number) increases. |
| Alia et al. (2017) [40] | The inclined walls of a hexagonal hole are evenly heated while the horizontal walls remain constant. | Average Nusselt number, average temperature, Richardson number, and Hartmann number. | Numerical (FEM) | The average temperature inside the fluid domain and the average Nusselt number at the heated wall vary considerably for the ranged parameter. |
| Aly et al. (2021) [41] | An annulus is formed by an outside hexagon and an interior, dual curve of various lengths. | The Rayleigh number, Darcy parameter and Hartmann number. | Numerical (ISPH) | Ra increases heat capacity, temperature, and concentration, and Cr curves increase over an annulus. |
| Aly et al. (2021) [42] | Inner wavy form, outside hexagonal hollow. | The double rotations and magnetic field amongst an outer hexagonal-shaped cavity and wavy inner shape. | Numerical (ISPH) | The double rotations accelerated heat capacity, nanofluid flow, concentration inside an annulus, and altered temperature. |
| Authors (Year) | Configuration | Studied Parameters | Study Type | Findings/Highlighted Results |
|---|---|---|---|---|
| Giwa et al. (2020) [43] | Magnetic induction in a rectangular cavity. | Heat transfer rate, average Nusselt no., heat transfer coefficient, and Rayleigh no. | Experimental | The heat transfer performance depended on strength and direction, φ, AHF deployment, ΔT, and magnetic induction. |
| Elsherbiny and Ismail (2015) [44] | Two localized heat sources in inclined rectangular chambers. | Effect of tilt angle and aspect ratio on laminar natural convection. | Numerical | The cavity may be tilted 60° from horizontal to maximize Nu. |
| Soares et al. (2015) [45] | A vertical stack of rectangular cavities. | The period of thermal regulation and control-temperature value on the hot surface. | Experimental | Subcooling is critical for solidifying the free PCM during the discharging process and must be considered while modeling. |
| Giwa et al. (2020) [46] | Magnetic excitation of a rectangular cavity. | The thermo-convection heat transfer behavior. | Experimental | The findings are strongly related to ΔT, φ, magnetic excitation strength, use of HMNFs, the configuration of magnetic excitation, and position. |
| Li and Tong (2016) [47] | Low width-to-height ratios in inclined rectangular cavities. | Cavity inclination and width/ height ratio. | Experimental and CFD | The effect on natural convection flow is minimal when the width-to-height ratio of the cavity surpasses 4. |
| Qi et al. (2020) [48] | rectangular hollow with thermally insulated walls on one side and heat transfer fluid flowing on the other. | Stefan number or Reynolds number. | Numerical | A series of dimensionless correlations depict the changing modified Nusselt number and law of melting fraction against time. |
| Li et al. (2020) [49] | NePCM in rectangular cavities that are differentially heated. | The cavity has two height-to-width aspect ratios. | Numerical | As the cavity becomes narrower, the advantage of increased heat conduction may be more completely used, lowering the contribution of natural convection. |
| Thiers et al. (2020) [50] | Rectangular differentially heated cavity. | Influences in the vertical location of the disturbance area and wave characteristics. | Numerical | The optimal area to improve heat transmission is 70% of the hot plate height or 30% of the cold plate height. |
| Li et al. (2021) [51] | There is a continuous heat flux on one side, while on the other side, there is a flow boundary condition. | The influences of the aspect ratio, Rayleigh number, and Reynolds number. | Numerical | The amount of cold and hot fluids combined in the cavity influence local heat transfer at the wall. |
| Qin et al. (2021) [52] | Heat transfer fluids flow from the bottom up in a rectangular chamber. | The melting process of phase change material. | Numerical | Reynolds and Rayleigh numbers play the main role in the melting of PCM. |
Publisher’s Note: MDPI stays neutral with regard to jurisdictional claims in published maps and institutional affiliations. |
© 2022 by the authors. Licensee MDPI, Basel, Switzerland. This article is an open access article distributed under the terms and conditions of the Creative Commons Attribution (CC BY) license (https://creativecommons.org/licenses/by/4.0/).
Share and Cite
Rashid, F.L.; Hussein, A.K.; Malekshah, E.H.; Abderrahmane, A.; Guedri, K.; Younis, O. Review of Heat Transfer Analysis in Different Cavity Geometries with and without Nanofluids. Nanomaterials 2022, 12, 2481. https://doi.org/10.3390/nano12142481
Rashid FL, Hussein AK, Malekshah EH, Abderrahmane A, Guedri K, Younis O. Review of Heat Transfer Analysis in Different Cavity Geometries with and without Nanofluids. Nanomaterials. 2022; 12(14):2481. https://doi.org/10.3390/nano12142481
Chicago/Turabian StyleRashid, Farhan Lafta, Ahmed Kadhim Hussein, Emad Hasani Malekshah, Aissa Abderrahmane, Kamel Guedri, and Obai Younis. 2022. "Review of Heat Transfer Analysis in Different Cavity Geometries with and without Nanofluids" Nanomaterials 12, no. 14: 2481. https://doi.org/10.3390/nano12142481
APA StyleRashid, F. L., Hussein, A. K., Malekshah, E. H., Abderrahmane, A., Guedri, K., & Younis, O. (2022). Review of Heat Transfer Analysis in Different Cavity Geometries with and without Nanofluids. Nanomaterials, 12(14), 2481. https://doi.org/10.3390/nano12142481

