Enhanced Photocatalytic Removal of Hexavalent Chromium over Bi12TiO20/RGO Polyhedral Microstructure Photocatalysts
Abstract
1. Introduction
2. Material and Methods
2.1. Synthesis of Catalyst
2.2. Characterization
2.3. Photocatalytic Activity
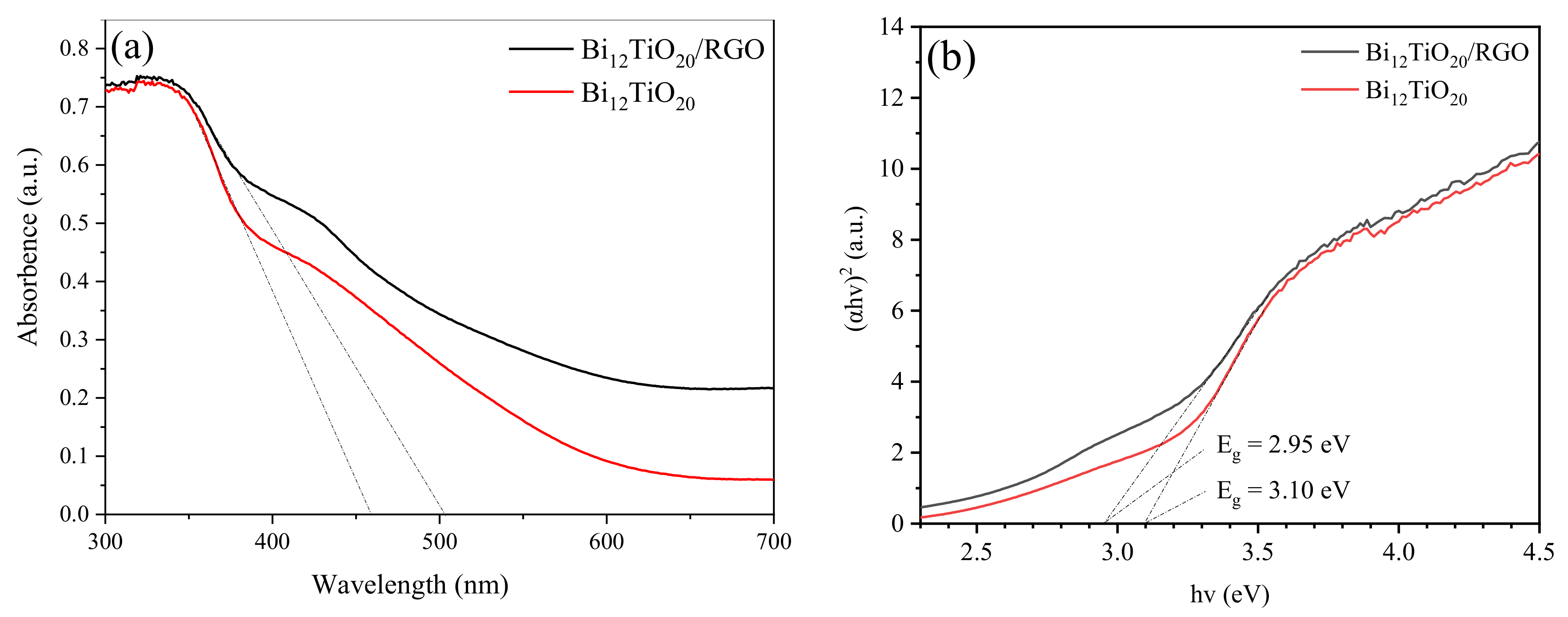
3. Results and Discussion
3.1. Composition and Morphology
3.2. Photocatalytic Reduction of Hexavalent Chromium under Visible Light
3.3. Catalytic Mechanism
4. Conclusions
Author Contributions
Funding
Institutional Review Board Statement
Informed Consent Statement
Data Availability Statement
Conflicts of Interest
References
- Salomons, W.; Förstner, U.; Mader, P. Heavy Metals Problems and Solutions; Springer: Berlin/Heidelberg, Germany, 1995; p. 386. [Google Scholar]
- Khalil, S.; Awad, A.; Elewa, Y. Antidotal impact of extra virgin olive oil against genotoxicity, cytotoxicity and immunotoxicity induced by hexavalent chromium in rat. Int. J. Vet. Sci. Med. 2019, 1, 65–73. [Google Scholar] [CrossRef][Green Version]
- Luo, J.; Li, W.G.; Ye, J.G.; Zhao, Y.T.; He, G.Y.; Chen, H.Q. Preparation and characterization of Bi12TiO20/RGO as high-efficiency photocatalysts for degradation of dye wastewater. Diam. Relat. Mater. 2022, 123, 108890–108900. [Google Scholar] [CrossRef]
- Wang, Q.; Shi, X.D.; Xu, J.J.; Crittenden, J.C.; Liu, E.Q.; Zhang, Y.; Cong, Y.Q. Highly enhanced photocatalytic reduction of Cr (VI) on AgI/TiO2 under visible light irradiation: Influence of calcination temperature. J. Hazard. Mater. 2016, 307, 213–220. [Google Scholar] [CrossRef] [PubMed]
- Choi, Y.; Koo, M.; Bokare, A.D.; Kim, D.; Bahnemann, D.W.; Choi, W. Sequential process combination of photocatalytic oxidation and dark reduction for the removal of organic pollutants and Cr (VI) using Ag/TiO. Environ. Sci. Technol. 2017, 51, 3973–3981. [Google Scholar] [CrossRef] [PubMed]
- Gan, H.H.; Liu, J.; Zhang, H.N.; Qian, Y.X.; Jin, H.X.; Zhang, K.F. Enhanced photocatalytic removal of hexavalent chromium and organic dye from aqueous solution by hybrid bismuth titanate Bi4Ti3O12/Bi2Ti2O. Res. Chem. Intermed. 2018, 44, 2123–2138. [Google Scholar] [CrossRef]
- Liu, J.; Gan, H.H.; Wu, H.Z.; Zhang, X.L.; Zhang, J.; Li, L.L.; Wang, Z.L. Effect of organic substrates on the photocatalytic reduction of Cr (VI) by porous hollow Ga2O3 nanoparticles. Nanomaterials 2018, 8, 263. [Google Scholar] [CrossRef]
- Luo, L.; Dong, S.; Cui, H.; Sun, L.; Huang, T. Indium sulfide deposited MIL-53 (Fe) microrods: Efficient visible-light-driven photocatalytic reduction of hexavalent chromium. J. Colloid Interface Sci. 2022, 606, 1299–1310. [Google Scholar]
- Thara, R.; JagadeeshBabu, P.; RubenSudhakar, D. Fabrication of visible-light assisted TiO2-WO3-PANI membrane for effective reduction of chromium (VI) in photocatalytic membrane reactor. Environ. Technol. Innov. 2021, 24, 102023–102034. [Google Scholar]
- Liu, J.; Wu, J.; Wang, N.; Tian, F.S.; Li, J. Surface reconstruction of BiSI nanorods for superb photocatalytic Cr (VI) reduction under near-infrared light irradiation. Chem. Eng. J. 2022, 435, 135152–135162. [Google Scholar] [CrossRef]
- Wu, N.Q.; Wang, J.; Tafen, D.N.; Wang, H.; Zheng, J.G.; Lewis, J.P.; Liu, X.G.; Leonard, S.S.; Manivannan, A. Shape-enhanced photocatalytic activity of single-crystalline anatase TiO2 (101) nanobelts. J. Am. Chem. Soc. 2010, 132, 6679–6685. [Google Scholar] [CrossRef]
- Liu, G.; Yu, J.C.; Lu, G.Q.; Cheng, H.M. Crystal facet engineering of semiconductor photocatalysts: Motivations, advances and unique properties. Chem. Comm. 2011, 47, 6763–6783. [Google Scholar] [CrossRef] [PubMed]
- Hou, J.G.; Qu, Y.F.; Krsmanovic, D.; Ducati, C.; Eder, D.; Kumar, R.V. Solution-phase synthesis of single-crystalline Bi12TiO20 nanowires with photocatalytic properties. Chem. Comm. 2009, 26, 3937–3939. [Google Scholar] [CrossRef] [PubMed]
- Guo, W.; Yang, Y.X.; Guo, Y.N.; Jia, Y.Q.; Liu, H.B.; Guo, Y.H. Self-assembled hierarchical Bi12TiO20–graphene nanoarchitectures with excellent simulated sunlight photocatalytic activity. Phys. Chem. Chem. Phys. 2014, 16, 2705–2714. [Google Scholar] [CrossRef] [PubMed]
- Sun, H.L.; Li, J.; Zhang, G.K.; Li, N. Microtetrahedronal Bi12TiO20/g-C3N4 composite with enhanced visible light photocatalytic activity toward gaseous formaldehyde degradation: Facet coupling effect and mechanism study. J. Mol. Catal. A Chem. 2016, 424, 311–322. [Google Scholar] [CrossRef]
- Ng, Y.H.; Ikeda, S.; Matsumura, M.; Amal, R.A. Perspective on fabricating carbon-based nanomaterials by photocatalysis and their applications. Energy Environ. Sci. 2012, 5, 9307–9318. [Google Scholar] [CrossRef]
- Yang, J.; Voiry, D.; Joon Ahn, S.; Kang, D.; Kim, A.Y.; Chhowalla, M.; Shin, H.S. Two-dimensional hybrid nanosheets of tungsten disulfide and reduced graphene oxide as catalysts for enhanced hydrogen evolution. Angew. Chem. Int. Ed. 2013, 52, 13751–13754. [Google Scholar] [CrossRef]
- Gupta, S.; Subramanian, V. Encapsulating Bi2Ti2O7 (BTO) with reduced graphene oxide (RGO): An effective strategy to enhance photocatalytic and photoelectrocatalytic activity of BTO. ACS Appl. Mater. Interfaces 2014, 6, 18597–18608. [Google Scholar] [CrossRef] [PubMed]
- Ye, M.; Chen, C.; Zhang, N.; Wen, X.; Guo, W.; Lin, C. Quantum-dot sensitized solar cells employing hierarchical Cu2S microspheres wrapped by reduced graphene oxide nanosheets as effective counter electrodes. Adv. Energy Mater. 2014, 4, 1079–1098. [Google Scholar] [CrossRef]
- Fu, Y.S.; Chen, H.Q.; Sun, X.Q.; Wang, X. Combination of cobalt ferrite and graphene: High-performance and recyclable visible-light photocatalysis. Appl. Catal. B-Environ. 2012, 111, 280–287. [Google Scholar] [CrossRef]
- Liu, H.X.; Mei, H.; Miao, N.X.; Pan, L.K.; Jin, Z.P.; Zhu, G.Q.; Gao, J.Z.; Wang, J.J.; Cheng, L.F. Synergistic photocatalytic NO removal of oxygen vacancies and metallic bismuth on Bi12TiO20 nanofibers under visible light irradiation. Chem. Eng. J. 2021, 414, 128748–128759. [Google Scholar] [CrossRef]
- Mihailova, B.; Bogachev, G.; Marinova, V.; Konstantinov, L. Raman spectroscopy study of sillenites. II. Effect of doping on Raman spectra of Bi12TiO20. J. Phys. Chem. Solids 1999, 60, 1829–1834. [Google Scholar] [CrossRef]
- Zhou, J.K.; Zou, Z.G.; Ray, A.K.; Zhao, X.S. Preparation and characterization of polycrystalline bismuth titanate Bi12TiO20 and its photocatalytic properties under visible light irradiation. Ind. Eng. Chem. Res. 2007, 46, 745–749. [Google Scholar] [CrossRef]
- Zhang, Z.; Hua, Z.; Lang, J.H.; Song, Y.X.; Zhang, Q.; Han, Q.; Fan, H.G.; Gao, M.; Li, X.Y.; Yang, J.H. Eco-friendly nanostructured Zn-Al layered double hydroxide photocatalysts with enhanced photocatalytic activity. Chem. Eng. J. 2012, 184, 4607–4619. [Google Scholar] [CrossRef]
- Jorio, A.; Filho, A.G.S. Raman studies of carbon nanostructures. Ann. Rev. Mater. Res. 2016, 6, 357–382. [Google Scholar] [CrossRef]
- Devi, A.P.; Padhi, D.K.; Mishra, P.M. Bio-surfactant assisted room temperature synthesis of cubic Ag/RGO nanocomposite for enhanced photoreduction of Cr (VI) and antibacterial activity. J. Environ. Chem. Eng. 2021, 9, 104778–104790. [Google Scholar] [CrossRef]
- He, G.Y.; Qian, M.G.; Sun, X.Q.; Chen, Q.; Wang, X.; Chen, H.Q. Graphene sheets-based Ag@Ag3PO4 heterostructure for enhanced photocatalytic activity and stability under visible light. Power Technol. 2013, 246, 278–283. [Google Scholar] [CrossRef]
- Chang, Y.; Zeng, H.C. Controlled synthesis and self-assembly of single-crystalline cuo nanorods and nanoribbons. Cryst. Growth Des. 2004, 4, 397–402. [Google Scholar] [CrossRef]
- Jiang, Q.J.; Gan, H.H.; Huang, Y.; Lu, D.N.; Zhang, W.K. Peroxymonosulfate activation on carbon nano-onions modified graphitic carbon nitride via light-tuning radical and nonradical pathways. J. Environ. Chem. Eng. 2021, 9, 106592–106606. [Google Scholar] [CrossRef]
- Shen, X.F.; Yang, Y.; Song, B.T.; Chen, F.; Xue, Q.Q.; Shan, S.D.; Li, S.J. Magnetically recyclable and remarkably efficient visible-light-driven photocatalytic hexavalent chromium removal based on plasmonic biochar/bismuth/ferroferric oxide heterojunction. J. Colloid Interface Sci. 2021, 590, 424–435. [Google Scholar] [CrossRef]
- Li, M.Y.; Li, C.Q.; Jiang, J.J.; Zhao, Z.Q.; Dong, S.S. In Situ preparation of BiOCl0.75I0.25/g-C3N4-Cl in reduced graphene hydrogel photoanode for simultaneous removal of tetracycline hydrochloride and hexavalent chromium with efficient electricity generation. Environ. Res. 2022, 212, 113247–113252. [Google Scholar] [CrossRef]
- Wang, L.M.; Wang, N.; Zhu, L.H.; Yu, H.W.; Tang, H.Q. Photocatalytic reduction of Cr (VI) over different TiO2 photocatalysts and the effects of dissolved organic species. J. Hazard. Mater. 2008, 152, 93–99. [Google Scholar] [CrossRef] [PubMed]
- Wrobel, K.; Corrales Escobosa, A.R.; Gonzalez Ibarra, A.A.; Mendez, G.M.; Yanez, B.E.; Wrobel, K. Mechanistic insight into chromium (VI) reduction by oxalic acid in the presence of manganese (II). J. Hazard. Mater. 2015, 300, 144–152. [Google Scholar] [CrossRef]
- Wang, Y.Y.; Su, Y.; Fang, W.J.; Zhang, Y.C.; Li, X.C.; Zhang, G.S.; Sun, W.H. SnO2/SnS2 nanocomposite anchored on nitrogen-doped RGO for improved photocatalytic reduction of aqueous Cr (VI). Powder Technol. 2020, 363, 337–348. [Google Scholar] [CrossRef]
- Liu, C.C.; Wang, P.F.; Qiao, Y.H.; Zhou, G. Self-assembled Bi2SeO5/rGO/MIL-88A Z-scheme heterojunction boosting carrier separation for simultaneous removal of Cr (VI) and chloramphenicol. Chem. Eng. J. 2022, 431, 133289–133301. [Google Scholar] [CrossRef]
- Romero-Morán, A.; Sánchez-Salas, J.L.; Molina-Reyes, J. Influence of selected reactive oxygen species on the photocatalytic activity of TiO2/SiO2 composite coatings processed at low temperature. Appl. Catal. B Environ. 2021, 291, 119685–119698. [Google Scholar] [CrossRef]
- Ferreira, L.C.; Fernandes, J.R.; Rodríguez-Chueca, J.; Peres, J.A.; Lucas, M.S.; Tavares, P.B. Photocatalytic degradation of an agro-industrial wastewater model compound using a UV LEDs system: Kinetic study. J. Environ. Manag. 2020, 269, 110740–110748. [Google Scholar] [CrossRef] [PubMed]









| Publisher’s Note: MDPI stays neutral with regard to jurisdictional claims in published maps and institutional affiliations. | 
© 2022 by the authors. Licensee MDPI, Basel, Switzerland. This article is an open access article distributed under the terms and conditions of the Creative Commons Attribution (CC BY) license (https://creativecommons.org/licenses/by/4.0/).
Share and Cite
Gan, H.; Pan, S.; Liu, X.; Huang, Y. Enhanced Photocatalytic Removal of Hexavalent Chromium over Bi12TiO20/RGO Polyhedral Microstructure Photocatalysts. Nanomaterials 2022, 12, 2138. https://doi.org/10.3390/nano12132138
Gan H, Pan S, Liu X, Huang Y. Enhanced Photocatalytic Removal of Hexavalent Chromium over Bi12TiO20/RGO Polyhedral Microstructure Photocatalysts. Nanomaterials. 2022; 12(13):2138. https://doi.org/10.3390/nano12132138
Chicago/Turabian StyleGan, Huihui, Shuo Pan, Xiuhang Liu, and Ying Huang. 2022. "Enhanced Photocatalytic Removal of Hexavalent Chromium over Bi12TiO20/RGO Polyhedral Microstructure Photocatalysts" Nanomaterials 12, no. 13: 2138. https://doi.org/10.3390/nano12132138
APA StyleGan, H., Pan, S., Liu, X., & Huang, Y. (2022). Enhanced Photocatalytic Removal of Hexavalent Chromium over Bi12TiO20/RGO Polyhedral Microstructure Photocatalysts. Nanomaterials, 12(13), 2138. https://doi.org/10.3390/nano12132138
 
         
                                                

