Transesterification of Glycerol to Glycerol Carbonate over Mg-Zr Composite Oxide Prepared by Hydrothermal Process
Abstract
:1. Introduction
2. Materials and Methods
2.1. Materials
2.2. Catalyst Preparation
2.3. Characterization
2.4. Catalytic Activity Test
3. Results and Discussion
3.1. Effect of Preparation Method
3.2. Effect of Mg-Zr Molar Ratio
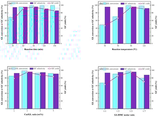
3.3. Effect of Reaction Conditions on Transesterification of GL over Mg1Zr2-HT
3.3.1. Effect of Reaction Time
3.3.2. Effect of Reaction Temperature
3.3.3. Effect of Catalyst Amount
3.3.4. Effect of the Molar Ratio of GL/DMC
3.4. Catalyst Stability
4. Conclusions
Supplementary Materials
Author Contributions
Funding
Institutional Review Board Statement
Informed Consent Statement
Data Availability Statement
Acknowledgments
Conflicts of Interest
References
- Rozulan, N.; Halim, S.A.; Razali, N.; Lam, S.S. A Review on Direct Carboxylation of Glycerol Waste to Glycerol Carbonate and Its Applications. In Biomass Conversion and Biorefinery; Springer International Publishing: Cham, Switzerland, 2022; pp. 1–18. [Google Scholar]
- Procopio, D.; Di Gioia, M.L. An Overview of the Latest Advances in the Catalytic Synthesis of Glycerol Carbonate. Catalysts 2022, 12, 50. [Google Scholar] [CrossRef]
- Polychronopoulou, K.; Dabbawala, A.A.; Sajjad, M.; Singh, N.; Anjum, D.H.; Baker, M.A.; Charisiou, N.D.; Goula, M.A. Hydrogen Production Via Steam Reforming of Glycerol over Ce-La-Cu-O Ternary Oxide Catalyst: An Experimental and Dft Study. Appl. Surf. Sci. 2022, 586, 152798. [Google Scholar] [CrossRef]
- Qingli, X.; Zhengdong, Z.; Kai, H.; Shanzhi, X.; Chuang, M.; Chenge, C.; Huan, Y.; Yang, Y.; Yongjie, Y. Ni Supported on MgO Modified Attapulgite as Catalysts for Hydrogen Production from Glycerol Steam Reforming. Int. J. Hydrogen Energy 2021, 46, 27380–27393. [Google Scholar] [CrossRef]
- Dang, T.N.M.; Sahraei, O.A.; Olivier, A.; Iliuta, M.C. Effect of Impurities on Glycerol Steam Reforming over Ni-Promoted Metallurgical Waste Driven Catalyst. Int. J. Hydrogen Energy 2022, 47, 4614–4630. [Google Scholar] [CrossRef]
- Sahraei, O.A.; Desgagnés, A.; Larachi, F.; Iliuta, M.C. A Comparative Study on the Performance of M (Rh, Ru, Ni)-Promoted Metallurgical Waste Driven Catalysts for H2 Production by Glycerol Steam Reforming. Int. J. Hydrogen Energy 2021, 46, 32017–32035. [Google Scholar] [CrossRef]
- Charisiou, N.D.; Siakavelas, G.; Tzounis, L.; Dou, B.; Sebastian, V.; Hinder, S.J.; Baker, M.A.; Polychronopoulou, K.; Goula, M.A. Ni/Y2O3–ZrO2 Catalyst for Hydrogen Production through the Glycerol Steam Reforming Reaction. Int. J. Hydrogen Energy 2020, 45, 10442–10460. [Google Scholar] [CrossRef]
- Keogh, J.; Deshmukh, G.; Manyar, H. Green Synthesis of Glycerol Carbonate Via Transesterification of Glycerol Using Mechanochemically Prepared Sodium Aluminate Catalysts. Fuel 2022, 310, 122484. [Google Scholar] [CrossRef]
- Christy, S.; Noschese, A.; Lomelí-Rodriguez, M.; Greeves, N.; Lopez-Sanchez, J.A. Recent Progress in the Synthesis and Applications of Glycerol Carbonate. Curr. Opin. Green Sustain. Chem. 2018, 14, 99–107. [Google Scholar] [CrossRef]
- Caro, S.D.; Bandres, M.; Urrutigoty, M.; Cecutti, C.; Thiebaud-Roux, S. Recent Progress in Synthesis of Glycerol Carbonate and Evaluation of Its Plasticizing Properties. Front. Chem. 2019, 7, 308. [Google Scholar] [CrossRef] [Green Version]
- Lukato, S.; Kasozi, G.N.; Naziriwo, B.; Tebandeke, E. Glycerol Carbonylation with CO2 to Form Glycerol Carbonate: A Review of Recent Developments and Challenges. Curr. Res. Green Sustain. Chem. 2021, 4, 100199. [Google Scholar] [CrossRef]
- Zhang, J.; He, D. Lanthanum-Based Mixed Oxides for the Synthesis of Glycerol Carbonate from Glycerol and Urea. React. Kinet. Mech. Catal. 2014, 113, 375–392. [Google Scholar] [CrossRef]
- Changmai, B.; Laskar, I.B.; Rokhum, L. Microwave-Assisted Synthesis of Glycerol Carbonate by the Transesterification of Glycerol with Dimethyl Carbonate Using Musa Acuminata Peel Ash Catalyst. J. Taiwan Inst. Chem. Eng. 2019, 102, 276–282. [Google Scholar] [CrossRef]
- Pradhan, G.; Sharma, Y.C. Green Synthesis of Glycerol Carbonate by Transesterification of Bio Glycerol with Dimethyl Carbonate over Mg/ZnO: A Highly Efficient Heterogeneous Catalyst. Fuel 2021, 284, 118966. [Google Scholar] [CrossRef]
- Manikandan, M.; Sangeetha, P. Optimizing the Surface Properties of MgO Nanoparticles Towards the Transesterification of Glycerol to Glycerol Carbonate. ChemistrySelect 2019, 4, 6672–6678. [Google Scholar] [CrossRef]
- Bai, Z.; Zheng, Y.; Han, W.; Ji, Y.; Yan, T.; Tang, Y.; Chen, G.; Zhang, Z. Development of a Trapezoidal MgO Catalyst for Highly-Efficient Transesterification of Glycerol and Dimethyl Carbonate. CrystEngComm 2018, 20, 4090–4098. [Google Scholar] [CrossRef]
- Roschat, W.; Phewphong, S.; Kaewpuang, T.; Promarak, V. Synthesis of Glycerol Carbonate from Transesterification of Glycerol with Dimethyl Carbonate Catalyzed by CaO from Natural Sources as Green and Economical Catalyst. Mater. Today Proc. 2018, 5, 13909–13915. [Google Scholar] [CrossRef]
- Simanjuntak, F.; Kim, T.K.; Sang, D.L.; Ahn, B.S.; Kim, H.S.; Lee, H. CaO-Catalyzed Synthesis of Glycerol Carbonate from Glycerol and Dimethyl Carbonate: Isolation and Characterization of an Active Ca Species. Appl. Catal. A Gen. 2011, 401, 220–225. [Google Scholar] [CrossRef]
- Praikaew, W.; Kiatkittipong, W.; Aiouache, F.; Najdanovic-Visak, V.; Termtanun, M.; Lim, J.W.; Lam, S.S.; Kiatkittipong, K.; Laosiripojana, N.; Boonyasuwat, S. Mechanism of CaO Catalyst Deactivation with Unconventional Monitoring Method for Glycerol Carbonate Production Via Transesterification of Glycerol with Dimethyl Carbonate. Int. J. Energy Res. 2022, 46, 1646–1658. [Google Scholar] [CrossRef]
- Ying, T.; Yan, T.; Bo, S.; Li, H.; Jeje, A. Synthesis of No-Glycerol Biodiesel through Transesterification Catalyzed by CaO from Different Precursors. Can. J. Chem. Eng. 2016, 94, 1466–1471. [Google Scholar]
- Liu, Y.; Xia, C.; Wang, Q.; Zhang, L.; Huang, A.; Ke, M.; Song, Z. Direct Dehydrogenation of Isobutane to Isobutene over Zn-Doped ZrO2 Metal Oxide Heterogeneous Catalysts. Catal. Sci. Technol. 2018, 8, 4916–4924. [Google Scholar] [CrossRef]
- Bing, W.; Wei, M. Recent Advances for Solid Basic Catalysts: Structure Design and Catalytic Performance. J. Solid State Chem. 2019, 269, 184–194. [Google Scholar] [CrossRef]
- Zhang, X.L.; Wei, S.W.; Zhao, X.Y.; Chen, Z.; Wu, H.W.; Rong, P.; Sun, Y.; Li, Y.; Yu, H.; Wang, D.F. Preparation of Mesoporous Cao-Zro2 Catalysts without Template for the Continuous Synthesis of Glycerol Carbonate in a Fixed-Bed Reactor. Appl. Catal. A Gen. 2020, 590, 12. [Google Scholar] [CrossRef]
- Otor, H.O.; Steiner, J.B.; García-Sancho, C.; Alba-Rubio, A.C. Encapsulation Methods for Control of Catalyst Deactivation: A Review. ACS Catal. 2020, 10, 7630–7656. [Google Scholar] [CrossRef]
- Chandrasekar, M.; Subash, M.; Logambal, S.; Udhayakumar, G.; Uthrakumar, R.; Inmozhi, C.; Al-Onazi, W.A.; Al-Mohaimeed, A.M.; Chen, T.-W.; Kanimozhi, K. Synthesis and Characterization Studies of Pure and Ni Doped CuO Nanoparticles by Hydrothermal Method. J. King Saud Univ.-Sci. 2022, 34, 101831. [Google Scholar] [CrossRef]
- Cui, H.; Wu, X.; Chen, Y.; Boughton, R. Synthesis and Characterization of Mesoporous MgO by Template-Free Hydrothermal Method. Mater. Res. Bull. 2014, 50, 307–311. [Google Scholar] [CrossRef]
- Akune, T.; Morita, Y.; Shirakawa, S.; Katagiri, K.; Inumaru, K. ZrO2 Nanocrystals as Catalyst for Synthesis of Dimethylcarbonate from Methanol and Carbon Dioxide: Catalytic Activity and Elucidation of Active Sites. Langmuir 2018, 34, 23–29. [Google Scholar] [CrossRef]
- Yichao, W.; Yachun, C.; Guangxu, Z.; Yuntao, Y. Preparation of Mg/Sn/W Composite Oxide Catalyst by Hydrothermal Method and Its Performance Evaluation. Petrochem. Technol. 2019, 48, 1212. [Google Scholar]
- Varkolu, M.; Burri, D.R.; Kamaraju, S.R.R.; Jonnalagadda, S.B.; Van Zyl, W.E. Transesterification of Glycerol with Dimethyl Carbonate over Nanocrystalline Ordered Mesoporous MgO–ZrO2 Solid Base Catalyst. J. Porous Mater. 2015, 23, 185–193. [Google Scholar] [CrossRef]
- Sádaba, I.; Ojeda, M.; Mariscal, R.; Fierro, J.L.G.; Granados, M.L. Catalytic and Structural Properties of Co-Precipitated Mg–Zr Mixed Oxides for Furfural Valorization Via Aqueous Aldol Condensation with Acetone. Appl. Catal. B Environ. 2011, 101, 638–648. [Google Scholar] [CrossRef]
- Zhu, W.; Jiang, X.; Liu, F.; You, F.; Yao, C. Preparation of Chitosan—Graphene Oxide Composite Aerogel by Hydrothermal Method and Its Adsorption Property of Methyl Orange. Polymers 2020, 12, 2169. [Google Scholar] [CrossRef]
- Pan, Q.; Xie, J.; Zhu, T.; Cao, G.; Zhao, X.; Zhang, S. Reduced Graphene Oxide-Induced Recrystallization of Nis Nanorods to Nanosheets and the Improved Na-Storage Properties. Inorg. Chem. 2014, 53, 3511–3518. [Google Scholar] [CrossRef] [PubMed]
- Walker, R.C.; Potochniak, A.E.; Hyer, A.P.; Ferri, J.K. Zirconia Aerogels for Thermal Management: Review of Synthesis, Processing, and Properties Information Architecture. Adv. Colloid Interface Sci. 2021, 295, 102464. [Google Scholar] [CrossRef] [PubMed]
- Zhang, X.; Wang, D.; Wu, G.; Wang, X.; Jiang, X.; Liu, S.; Zhou, D.; Xu, D.; Gao, J. One-Pot Template-Free Preparation of Mesoporous MgO-ZrO2 Catalyst for the Synthesis of Dipropyl Carbonate. Appl. Catal. A Gen. 2018, 555, 130–137. [Google Scholar] [CrossRef]
- Liu, B.; Li, C.; Zhang, G.; Yan, L.; Li, Z. Direct Synthesis of Dimethyl Carbonate from CO2 and Methanol over CaO–CeO2 Catalysts: The Role of Acid–Base Properties and Surface Oxygen Vacancies. New J. Chem. 2017, 41, 12231–12240. [Google Scholar] [CrossRef]
- Guan, H.; Liang, J.; Zhu, Y.; Zhao, B.; Xie, Y. Structure Characterization and Monolayer Dispersion Phenomenon of MgO-ZrO2 Prepared by Co-Precipitation. Acta Phys.-Chim. Sin. 2005, 21, 1011–1016. [Google Scholar]
- Poolwong, J.; Del Gobbo, S.; D’Elia, V. Transesterification of Dimethyl Carbonate with Glycerol by Perovskite-Based Mixed Metal Oxide Nanoparticles for the Atom-Efficient Production of Glycerol Carbonate. J. Ind. Eng. Chem. 2021, 104, 43–60. [Google Scholar] [CrossRef]
- Kumar, P.; With, P.; Srivastava, V.C.; Gläser, R.; Mishra, I.M. Glycerol Carbonate Synthesis by Hierarchically Structured Catalysts: Catalytic Activity and Characterization. Ind. Eng. Chem. Res. 2015, 54, 12543–12552. [Google Scholar] [CrossRef]
- Chang, C.-W.; Gong, Z.-J.; Huang, N.-C.; Wang, C.-Y.; Yu, W.-Y. MgO Nanoparticles Confined in ZIF-8 as Acid-Base Bifunctional Catalysts for Enhanced Glycerol Carbonate Production from Transesterification of Glycerol and Dimethyl Carbonate. Catal. Today 2020, 351, 21–29. [Google Scholar] [CrossRef]
- Liu, Z.; Li, B.; Qiao, F.; Zhang, Y.; Wang, X.; Niu, Z.; Wang, J.; Lu, H.; Su, S.; Pan, R. Catalytic Performance of Li/Mg Composites for the Synthesis of Glycerol Carbonate from Glycerol and Dimethyl Carbonate. ACS Omega 2022, 7, 5032–5038. [Google Scholar] [CrossRef]
- Pradhan, G.; Sharma, Y.C. A Greener and Cheaper Approach Towards Synthesis of Glycerol Carbonate from Bio Waste Glycerol Using CaO–TiO2 Nanocatalysts. J. Clean. Prod. 2021, 315, 127860. [Google Scholar] [CrossRef]
- Zhang, Q.; Tang, T.; Wang, J.; Sun, M.; Wang, H.; Sun, H.; Ning, P. Facile Template-Free Synthesis of Ni-SiO2 Catalyst with Excellent Sintering-and Coking-Resistance for Dry Reforming of Methane. Catal. Commun. 2019, 131, 105782. [Google Scholar] [CrossRef]
- Ma, Z.; Meng, X.; Liu, N.; Yang, C.; Shi, L. Preparation, Characterization, and Isomerization Catalytic Performance of Palladium Loaded Zirconium Hydroxide/Sulfated Zirconia. Ind. Eng. Chem. Res. 2018, 57, 14377–14385. [Google Scholar] [CrossRef]
- Grams, J.; Ruppert, A.M. Catalyst Stability—Bottleneck of Efficient Catalytic Pyrolysis. Catalysts 2021, 11, 265. [Google Scholar] [CrossRef]












| Catalyst | ZrO2 Crystallite Size a (nm) | MgO Crystallite Size b (nm) | SBET c (m2/g) | DP d (nm) | VP e (cm3/g) | Basicity f (μmol/g) | ||
|---|---|---|---|---|---|---|---|---|
| W | M + S | Total | ||||||
| Mg1Zr2-HT | 13.1 | 13.2 | 68.8 | 24.0 | 0.41 | 57.1 | 88.2 | 145.3 |
| Mg1Zr2-CP | 13.4 | 14.9 | 42.8 | 26.9 | 0.28 | 53.2 | 82.6 | 135.8 |
| Catalyst | GL Conversion (%) | GC Selectivity (%) | GC Yield (%) |
|---|---|---|---|
| Mg1Zr2-HT | 96.0 | 95.1 | 91.3 |
| Mg1Zr2-CP | 91.0 | 94.0 | 85.5 |
| Catalyst | ZrO2 (011) | Lattice Parameter (nm) | Particle Size a (nm) | SBET b (m2/g) | Dp c (nm) | Vp d (cm3/g) | Basicity e (μmol/g) | ||||
|---|---|---|---|---|---|---|---|---|---|---|---|
| 2θ (°) | d (nm) | a | c | W | M + S | Total | |||||
| ZrO2 | 30.25 | 0.2952 | 0.3622 | 0.5112 | 12.3 | 46.4 | 22.9 | 0.27 | 72.9 | 20.4 | 93.3 |
| Mg1Zr3 | 30.30 | 0.2947 | 0.3601 | 0.5097 | 9.6 | 86.8 | 19.5 | 0.42 | 65.3 | 64.1 | 129.4 |
| Mg1Zr2 | 30.33 | 0.2945 | 0.3596 | 0.5116 | 13.1 | 68.8 | 24.0 | 0.41 | 57.1 | 88.2 | 145.3 |
| Mg1Zr1 | 30.36 | 0.2942 | 0.3594 | 0.5119 | 8.0 | 78.5 | 27.0 | 0.46 | 38.6 | 86.1 | 124.7 |
| Mg2Zr1 | 30.38 | 0.2940 | 0.3593 | 0.5102 | 7.6 | 87.0 | 22.5 | 0.49 | 31.2 | 89.3 | 118.5 |
| Mg3Zr1 | 30.45 | 0.2933 | 0.3586 | 0.5106 | 9.7 | 112.0 | 18.3 | 0.52 | 19.8 | 92.6 | 112.4 |
| MgO | - | - | - | - | - | 114.0 | 27.5 | 0.78 | 10.5 | 96.1 | 106.6 |
| Catalyst | ZrO2 Crystallite Size a (nm) | MgO Crystallite Size b (nm) | SBET c (m2/g) | DP d (nm) | VP e (cm3/g) | Basicity f (μmol/g) | ||
|---|---|---|---|---|---|---|---|---|
| W | M + S | Total | ||||||
| Mg1Zr2-HT-used | 15.8 | 15.0 | 40.1 | 30.3 | 0.30 | 50.3 | 66.2 | 116.5 |
| Mg1Zr2-CP-used | 16.6 | 31.4 | 25.5 | 29.7 | 0.19 | 46.2 | 42.0 | 88.2 |
Publisher’s Note: MDPI stays neutral with regard to jurisdictional claims in published maps and institutional affiliations. |
© 2022 by the authors. Licensee MDPI, Basel, Switzerland. This article is an open access article distributed under the terms and conditions of the Creative Commons Attribution (CC BY) license (https://creativecommons.org/licenses/by/4.0/).
Share and Cite
Li, Y.; Zhao, H.; Xue, W.; Li, F.; Wang, Z. Transesterification of Glycerol to Glycerol Carbonate over Mg-Zr Composite Oxide Prepared by Hydrothermal Process. Nanomaterials 2022, 12, 1972. https://doi.org/10.3390/nano12121972
Li Y, Zhao H, Xue W, Li F, Wang Z. Transesterification of Glycerol to Glycerol Carbonate over Mg-Zr Composite Oxide Prepared by Hydrothermal Process. Nanomaterials. 2022; 12(12):1972. https://doi.org/10.3390/nano12121972
Chicago/Turabian StyleLi, Yihao, Hepan Zhao, Wei Xue, Fang Li, and Zhimiao Wang. 2022. "Transesterification of Glycerol to Glycerol Carbonate over Mg-Zr Composite Oxide Prepared by Hydrothermal Process" Nanomaterials 12, no. 12: 1972. https://doi.org/10.3390/nano12121972
APA StyleLi, Y., Zhao, H., Xue, W., Li, F., & Wang, Z. (2022). Transesterification of Glycerol to Glycerol Carbonate over Mg-Zr Composite Oxide Prepared by Hydrothermal Process. Nanomaterials, 12(12), 1972. https://doi.org/10.3390/nano12121972

