Mesoporous Silica Materials Loaded with Gallic Acid with Antimicrobial Potential
Abstract
1. Introduction
2. Experimental Methods
2.1. Chemicals and Apparatus
2.2. Preparation of the Mesoporous Materials
2.3. Adsorption of Gallic Acid on Mesoporous Materials
2.4. Release Studies
2.5. Cell Viability
2.6. Caspase-1 Activation Test
2.7. RNA Expression
2.8. Evaluation of the Effects of Prebiotics against Bacterial Strains (MICs)
2.9. Synergy Experiments with Prebiotics with AMX (Fractional Inhibitory Concentration)
3. Results and Discussion
3.1. XRD Diffraction
3.2. Brunauer–Emmett–Teller (BET)
3.3. Fourier Transform Infrared Spectroscopy (FTIR)
3.4. Scanning Electron Microscopy (SEM)
3.5. Transmission Electron Microscopy (TEM)
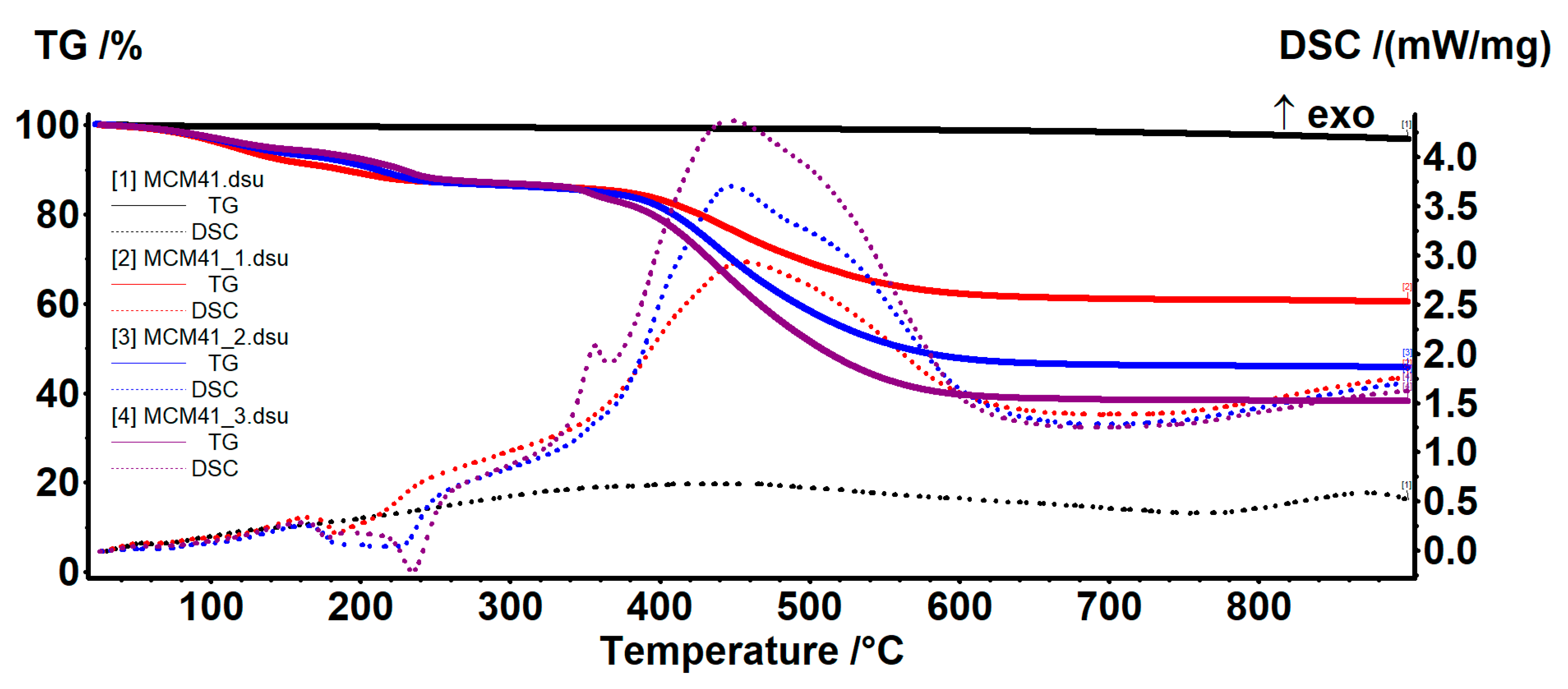
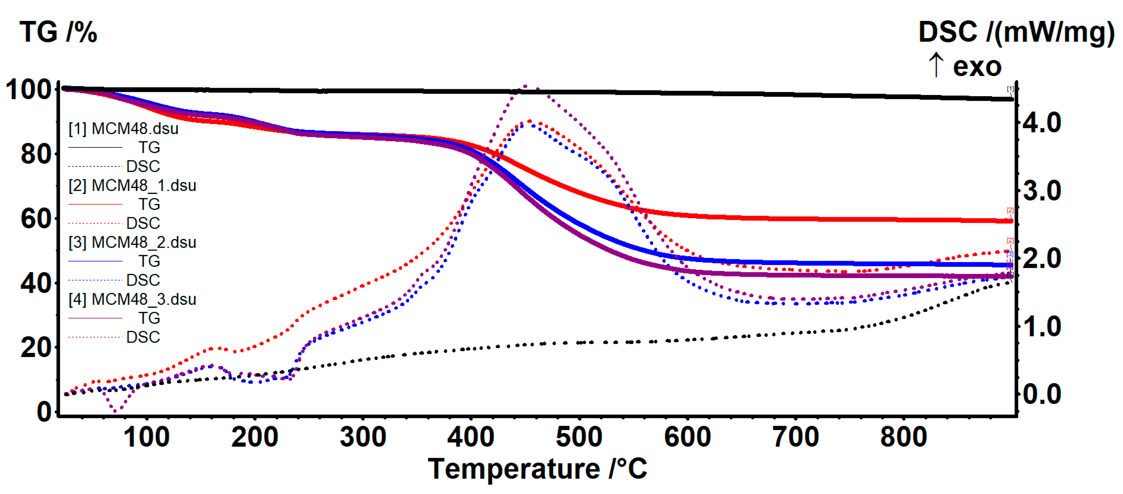
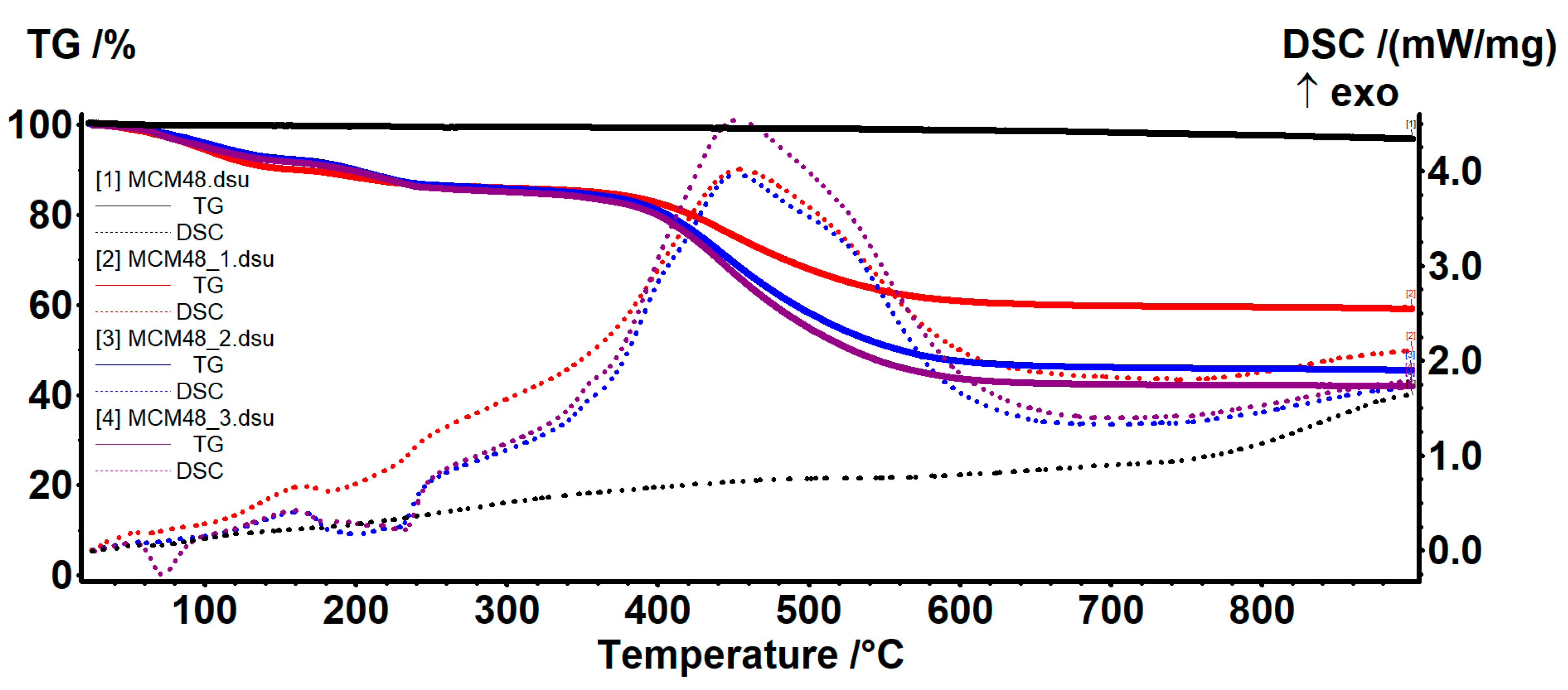
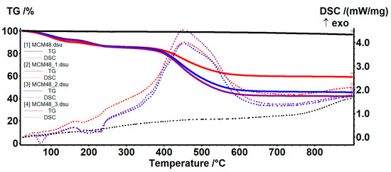
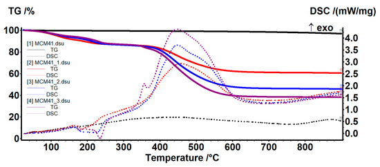
3.6. Thermogravimetric Analyses
3.7. Release Studies
3.8. Biological Evaluation
3.8.1. Evaluation of the Antibacterial Effects of Gallic Acid
3.8.2. Cell Viability
3.8.3. Inflammasome Activation
3.8.4. Apoptosis Activation
4. Conclusions
Author Contributions
Funding
Institutional Review Board Statement
Informed Consent Statement
Data Availability Statement
Conflicts of Interest
References
- Zhou, Y.; Quan, G.; Wu, Q.; Zhang, X.; Niu, B.; Wu, B.; Huang, Y.; Pan, X.; Wu, C. Mesoporous silica nanoparticles for drug and gene delivery. Acta Pharm. Sin. B 2018, 8, 165–177. [Google Scholar] [CrossRef] [PubMed]
- Ficai, D.; Ficai, A.; Melinescu, A.; Andronescu, E. Nanotechnology: A challenge in hard tissue engineering with emphasis on bone cancer therapy. In Nanostructures for Cancer Therapy; Elsevier: Amsterdam, The Netherlands, 2017; pp. 513–539. [Google Scholar]
- Borkowski, L.F.; Keilholz, A.N.; Smith, C.L.; Canda, K.A.; Nichols, N.L. Nonsteroidal anti-inflammatory drug (ketoprofen) delivery differentially impacts phrenic long-term facilitation in rats with motor neuron death induced by intrapleural CTB-SAP injections. Exp. Neurol. 2021, 347, 113892. [Google Scholar] [CrossRef] [PubMed]
- Zheng, D.; Chen, W.; Ruan, H.; Cai, Z.; Chen, X.; Chen, T.; Zhang, Y.; Cui, W.; Chen, H.; Shen, H. Metformin-hydrogel with glucose responsiveness for chronic inflammatory suppression. Chem. Eng. J. 2021, 428, 131064. [Google Scholar] [CrossRef]
- Ficai, A. Triggering Factors in Drug Delivery Devices. Curr. Pharm. Des. 2019, 25, 107–108. [Google Scholar] [CrossRef]
- Chung, I.J.; Moon, H.; Jeon, S.I.; Lee, H.J.; Ahn, C.-H. Ultrasound-triggered imaging and drug delivery using microbubble-self-aggregate complexes. J. Biomater. Sci. Polym. Ed. 2021, 33, 57–76. [Google Scholar] [CrossRef]
- Ding, Y.; Dai, Y.; Wu, M.; Li, L. Glutathione-mediated nanomedicines for cancer diagnosis and therapy. Chem. Eng. J. 2021, 426, 128880. [Google Scholar] [CrossRef]
- Gebrie, H.T.; Addisu, K.D.; Darge, H.F.; Mekonnen, T.W.; Tsai, H.C. Development of thermo/redox-responsive diselenide linked methoxy poly (ethylene glycol)-block-poly(epsilon-caprolactone-co-p-dioxanone) hydrogel for localized control drug release. J. Polym. Res. 2021, 28, 448. [Google Scholar] [CrossRef]
- Yuba, E.; Takashima, M.; Hayashi, T.; Kokuryo, D.; Aoki, I.; Harada, A.; Aoshima, S.; Krishnan, U.M.; Kono, K. Multifunctional Traceable Liposomes with Temperature-Triggered Drug Release and Neovasculature-Targeting Properties for Improved Cancer Chemotherapy. Mol. Pharm. 2021, 18, 3342–3351. [Google Scholar] [CrossRef]
- Zhang, L.; Lin, Z.; Zeng, L.; Zhang, F.; Sun, L.; Sun, S.; Wang, P.; Xu, M.; Zhang, J.; Liang, X.; et al. Ultrasound-induced biophysical effects in controlled drug delivery. Sci. China Life Sci. 2021. [Google Scholar] [CrossRef]
- Cui, L.; Wang, Y.; Gao, L.; Hu, L.; Wei, Q.; Du, B. Removal of Hg(II) from aqueous solution by resin loaded magnetic beta-cyclodextrin bead and graphene oxide sheet: Synthesis, adsorption mechanism and separation properties. J. Colloid Interface Sci. 2015, 456, 42–49. [Google Scholar] [CrossRef]
- Huang, X.; Young, N.P.; Townley, H.E. Characterization and Comparison of Mesoporous Silica Particles for Optimized Drug Delivery. Nanomater. Nanotechnol. 2014, 4, 2. [Google Scholar] [CrossRef]
- Labban, N.; Al-Otaibi, H.N.; Binrayes, A.; Aljamhan, A.S.; Alfouzan, A.F.; Al Taweel, S.M.; Assery, M.K. Mesoporous nanosilica loaded with doxycycline to enhance antimicrobial property and mechanical strength at hybrid layer. Int. J. Adhes. Adhes. 2021, 111, 102975. [Google Scholar] [CrossRef]
- Sharifi, E.; Bigham, A.; Yousefiasl, S.; Trovato, M.; Ghomi, M.; Esmaeili, Y.; Samadi, P.; Zarrabi, A.; Ashrafizadeh, M.; Sharifi, S.; et al. Mesoporous Bioactive Glasses in Cancer Diagnosis and Therapy: Stimuli-Responsive, Toxicity, Immunogenicity, and Clinical Translation. Adv. Sci. 2022, 9, 2102678. [Google Scholar] [CrossRef] [PubMed]
- Son, M.J.; Lee, S.-W. Antibacterial toxicity of mesoporous silica nanoparticles with functional decoration of specific organic moieties. Colloids Surf. A Physicochem. Eng. Asp. 2021, 630, 127612. [Google Scholar] [CrossRef]
- Wu, Z.; Xu, Z.; Pu, H.; Li, W.; Liu, J.; Zhao, Z.; Lu, X.; Lin, K.; Li, B. Degradable co-delivery nanoplatforms for inflammation-targeted therapy against atherosclerosis. Appl. Mater. Today 2021, 25, 101214. [Google Scholar] [CrossRef]
- Xu, G.; Song, S.; Nawaz, M.A.H.; Lv, J.; Yu, C.; Jin, X. Fluorescent mesoporous silica nanomaterials for targeted tumor chemotherapy. Mater. Lett. 2021, 304, 130520. [Google Scholar] [CrossRef]
- Mora-Raimundo, P.; Lozano, D.; Benito, M.; Mulero, F.; Manzano, M.; Vallet-Regí, M. Osteoporosis Remission and New Bone Formation with Mesoporous Silica Nanoparticles. Adv. Sci. 2021, 8, 2101107. [Google Scholar] [CrossRef]
- Ahmadi, E.; Dehghannejad, N.; Hashemikia, S.; Ghasemnejad, M.; Tabebordbar, H. Synthesis and surface modification of mesoporous silica nanoparticles and its application as carriers for sustained drug delivery. Drug Deliv. 2013, 21, 164–172. [Google Scholar] [CrossRef]
- Xie, Y.; Kocaefe, D.; Chen, C.; Kocaefe, Y. Review of Research on Template Methods in Preparation of Nanomaterials. J. Nanomater. 2016, 2016, 2302595. [Google Scholar] [CrossRef]
- Chen, L.; Zhou, X.; He, C. Mesoporous silica nanoparticles for tissue-engineering applications. WIREs Nanomed. Nanobiotechnol. 2019, 11, e1573. [Google Scholar] [CrossRef]
- Narayan, R.; Nayak, U.Y.; Raichur, A.M.; Garg, S. Mesoporous Silica Nanoparticles: A Comprehensive Review on Synthesis and Recent Advances. Pharmaceutics 2018, 10, 118. [Google Scholar] [CrossRef] [PubMed]
- Borges, A.; Ferreira, C.; Saavedra, M.J.; Simões, M. Antibacterial Activity and Mode of Action of Ferulic and Gallic Acids Against Pathogenic Bacteria. Microb. Drug Resist. 2013, 19, 256–265. [Google Scholar] [CrossRef] [PubMed]
- Ho, H.-H.; Chang, C.-S.; Ho, W.-C.; Liao, S.-Y.; Lin, W.-L.; Wang, C.-J. Gallic acid inhibits gastric cancer cells metastasis and invasive growth via increased expression of RhoB, downregulation of AKT/small GTPase signals and inhibition of NF-κB activity. Toxicol. Appl. Pharmacol. 2013, 266, 76–85. [Google Scholar] [CrossRef] [PubMed]
- Kroes, B.H.; van den Berg, A.J.J.; van Ufford, H.C.Q.; van Dijk, H.; Labadie, R.P. Anti-Inflammatory Activity of Gallic Acid. Planta Med. 1992, 58, 499–504. [Google Scholar] [CrossRef]
- Lim, M.Y.; Park, Y.H.; Kim, M.K.; Lee, H.S.; Son, D.J. Antiplatelet activity of gallic acid and methyl gallate. Food Sci. Biotechnol. 2004, 13, 806–809. [Google Scholar]
- Lima, V.N.; Oliveira-Tintino, C.D.; Santos, E.S.; Morais, L.P.; Tintino, S.R.; Freitas, T.S.; Geraldo, Y.S.; Pereira, R.L.; Cruz, R.P.; Menezes, I.R.; et al. Antimicrobial and enhancement of the antibiotic activity by phenolic compounds: Gallic acid, caffeic acid and pyrogallol. Microb. Pathog. 2016, 99, 56–61. [Google Scholar] [CrossRef]
- Liu, K.Y.P.; Hu, S.; Chan, B.C.L.; Wat, E.C.L.; Lau, C.; Hon, K.L.; Fung, K.P.; Leung, P.C.; Hui, C.-L.; Lam, C.W.K.; et al. Anti-Inflammatory and Anti-Allergic Activities of Pentaherb Formula, Moutan Cortex (Danpi) and Gallic Acid. Molecules 2013, 18, 2483–2500. [Google Scholar] [CrossRef]
- Zhang, T.; Ma, L.; Wu, P.; Li, W.; Li, T.; Gu, R.; Dan, X.; Li, Z.; Fan, X.; Xiao, Z. Gallic acid has anticancer activity and enhances the anticancer effects of cisplatin in non-small cell lung cancer A549 cells via the JAK/STAT3 signaling pathway. Oncol. Rep. 2019, 41, 1779–1788. [Google Scholar] [CrossRef]
- Mirshekar, M.A.; Sarkaki, A.; Farbood, Y.; Naseri, M.K.G.; Badavi, M.; Mansouri, M.T.; Haghparast, A. Neuroprotective effects of gallic acid in a rat model of traumatic brain injury: Behavioral, electrophysiological and molecular studies. Iran. J. Basic Med. Sci. 2018, 21, 1056–1063. [Google Scholar]
- Brezoiu, A.-M.; Bajenaru, L.; Berger, D.; Mitran, R.-A.; Deaconu, M.; Lincu, D.; Guzun, A.S.; Matei, C.; Moisescu, M.G.; Negreanu-Pirjol, T. Effect of Nanoconfinement of Polyphenolic Extract from Grape Pomace into Functionalized Mesoporous Silica on Its Biocompatibility and Radical Scavenging Activity. Antioxidants 2020, 9, 696. [Google Scholar] [CrossRef]
- di Santo, M.C.; Antoni, C.L.D.; Rubio, A.P.D.; Alaimo, A.; Pérez, O.E. Chitosan-tripolyphosphate nanoparticles designed to encapsulate polyphenolic compounds for biomedical and pharmaceutical applications—A review. Biomed. Pharmacother. 2021, 142, 111970. [Google Scholar] [CrossRef] [PubMed]
- Stepanović, S.; Vuković, D.; Dakić, I.; Savić, B.; Švabić-Vlahović, M. A modified microtiter-plate test for quantification of staphylococcal biofilm formation. J. Microbiol. Methods 2000, 40, 175–179. [Google Scholar] [CrossRef]
- Vipin, C.; Saptami, K.; Fida, F.; Mujeeburahiman, M.; Rao, S.S.; Athmika; Arun, A.B.; Rekha, P.D. Potential synergistic activity of quercetin with antibiotics against multidrug-resistant clinical strains of Pseudomonas aeruginosa. PLoS ONE 2020, 15, e0241304. [Google Scholar] [CrossRef]
- Liong, M.; Angelos, S.; Choi, E.; Patel, K.; Stoddart, J.F.; Zink, J.I. Mesostructured multifunctional nanoparticles for imaging and drug delivery. J. Mater. Chem. 2009, 19, 6251–6257. [Google Scholar] [CrossRef]
- Lewandowski, D.; Ruszkowski, P.; Pińska, A.; Schroeder, G.; Kurczewska, J. SBA-15 Mesoporous Silica Modified with Gallic Acid and Evaluation of Its Cytotoxic Activity. PLoS ONE 2015, 10, e0132541. [Google Scholar] [CrossRef] [PubMed][Green Version]
- Kister, O.; Roessner, F. Synthesis and characterization of mesoporous and amorphous silica modified with silica-organo-sulfogroups. J. Porous Mater. 2011, 19, 119–131. [Google Scholar] [CrossRef]
- Băjenaru, L.; Nastase, S.; Matei, C.; Berger, D. Studies on the synthesis of mesoporous aluminosilicates as carries for drug delivery systems. UPB Sci. Bull. Ser. B Chem. Mater. Sci. 2011, 73, 45–50. [Google Scholar]
- Ravikovitch, P.I.; Wei, D.; Chueh, W.T.; Haller, G.L.; Neimark, A.V. Evaluation of Pore Structure Parameters of MCM-41 Catalyst Supports and Catalysts by Means of Nitrogen and Argon Adsorption. J. Phys. Chem. B 1997, 101, 3671–3679. [Google Scholar] [CrossRef]
- Kruk, M.; Jaroniec, M.; Ryoo, R.; Joo, S.H. Characterization of MCM-48 Silicas with Tailored Pore Sizes Synthesized via a Highly Efficient Procedure. Chem. Mater. 2000, 12, 1414–1421. [Google Scholar] [CrossRef]
- Qian, W.; Wang, H.; Chen, J.; Kong, Y. Spherical V-Fe-MCM-48: The Synthesis, Characterization and Hydrothermal Stability. Materials 2015, 8, 1752–1765. [Google Scholar] [CrossRef]
- Chen, C.-Y.; Xiao, S.-Q.; Davis, M.E. Studies on ordered mesoporous materials III. Comparison of MCM-41 to mesoporous materials derived from kanemite. Microporous Mater. 1995, 4, 1–20. [Google Scholar] [CrossRef]
- Holmes, S.M.; Zholobenko, V.L.; Thursfield, A.; Plaisted, R.J.; Cundy, C.S.; John Dwyer, J. In situ FTIR study of the formation of MCM-41. J. Chem. Soc. Faraday Trans. 1998, 94, 2025–2032. [Google Scholar] [CrossRef]
- Zhang, A.; Li, Z.; Li, Z.; Shen, Y.; Zhu, Y. Effects of different Ti-doping methods on the structure of pure-silica MCM-41 mesoporous materials. Appl. Surf. Sci. 2008, 254, 6298–6304. [Google Scholar] [CrossRef]
- Ebrahimi-Gatkash, M.; Younesi, H.; Shahbazi, A.; Heidari, A. Amino-functionalized mesoporous MCM-41 silica as an efficient adsorbent for water treatment: Batch and fixed-bed column adsorption of the nitrate anion. Appl. Water Sci. 2015, 7, 1887–1901. [Google Scholar] [CrossRef]
- Liu, F.; Niu, F.; Peng, N.; Su, Y.; Yang, Y. Synthesis, characterization and application of Fe3O4@SiO2-NH2 nanoparticle. RSC Adv. 2015, 5, 18128–18136. [Google Scholar] [CrossRef]
- Wong, T.C.; Wong, N.B.; Tanner, P.A. A Fourier Transform IR Study of the Phase Transitions and Molecular Order in the Hexadecyltrimethylammonium Sulfate/Water System. J. Colloid Interface Sci. 1997, 186, 325–331. [Google Scholar] [CrossRef]
- Slaný, M.; Jankovič, Ľ.; Madejová, J. Structural characterization of organo-montmorillonites prepared from a series of primary alkylamines salts: Mid-IR and near-IR study. Appl. Clay Sci. 2019, 176, 11–20. [Google Scholar] [CrossRef]
- Du, W.; Wang, X.; Chen, G.; Zhang, J.; Slaný, M. Synthesis, Property and Mechanism Analysis of a Novel Polyhydroxy Organic Amine Shale Hydration Inhibitor. Minerals 2020, 10, 128. [Google Scholar] [CrossRef]
- Du, W.; Slaný, M.; Wang, X.; Chen, G.; Zhang, J. The Inhibition Property and Mechanism of a Novel Low Molecular Weight Zwitterionic Copolymer for Improving Wellbore Stability. Polymers 2020, 12, 708. [Google Scholar] [CrossRef]
- Kaur, S.; Rani, S.; Mahajan, R.; Asif, M.; Gupta, V.K. Synthesis and adsorption properties of mesoporous material for the removal of dye safranin: Kinetics, equilibrium, and thermodynamics. J. Ind. Eng. Chem. 2014, 22, 19–27. [Google Scholar] [CrossRef]
- Kozlova, S.A.; Kirik, S.D. Post-synthetic activation of silanol covering in the mesostructured silicate materials MCM-41 and SBA-15. Microporous Mesoporous Mater. 2010, 133, 124–133. [Google Scholar] [CrossRef]
- Gai, S.; Yang, P.; Wang, D.; Li, C.; Li, X.; Niu, N.; Lin, J. Fibrous-structured magnetic and mesoporous Fe3O4/silica microspheres: Synthesis and intracellular doxorubicin delivery. J. Mater. Chem. 2011, 21, 16420–16426. [Google Scholar] [CrossRef]
- Sanson, C.; Schatz, C.; Le Meins, J.-F.; Soum, A.; Thévenot, J.; Garanger, E.; Lecommandoux, S. A simple method to achieve high doxorubicin loading in biodegradable polymersomes. J. Control Release 2010, 147, 428–435. [Google Scholar] [CrossRef]
- Alswieleh, A.M. Modification of Mesoporous Silica Surface by Immobilization of Functional Groups for Controlled Drug Release. J. Chem. 2020, 2020, 9176257. [Google Scholar] [CrossRef]
- Iraji, S.; Ganji, F.; Rashidi, L. Surface modified mesoporous silica nanoparticles as sustained-release gallic acid nano-carriers. J. Drug Deliv. Sci. Technol. 2018, 47, 468–476. [Google Scholar] [CrossRef]
- Natarajan, S.K.; Selvaraj, S. Mesoporous silica nanoparticles: Importance of surface modifications and its role in drug delivery. RSC Adv. 2014, 4, 14328–14334. [Google Scholar] [CrossRef]
- Tsai, C.-L.; Chiu, Y.-M.; Ho, T.-Y.; Hsieh, C.-T.; Shieh, D.-C.; Lee, Y.-J.; Tsay, G.J.; Wu, Y.-Y. Gallic Acid Induces Apoptosis in Human Gastric Adenocarcinoma Cells. Anticancer Res. 2018, 38, 2057–2067. [Google Scholar] [CrossRef]
- Yoshioka, K.; Kataoka, T.; Hayashi, T.; Hasegawa, M.; Ishi, Y.; Hibasami, H. Induction of apoptosis by gallic acid in human stomach cancer KATO III and colon adenocarcinoma COLO 205 cell lines. Oncol. Rep. 2000, 7, 1221–1224. [Google Scholar] [CrossRef]
- He, W.T.; Wan, H.; Hu, L.; Chen, P.; Wang, X.; Huang, Z.; Yang, Z.-H.; Zhong, C.-Q.; Han, J. Gasdermin D is an executor of pyroptosis and required for interleukin-1 beta secretion. Cell Res. 2015, 25, 1285–1298. [Google Scholar] [CrossRef]
- Lamkanfi, M.; Dixit, V.M. Inflammasomes and Their Roles in Health and Disease. Annu. Rev. Cell Dev. Biol. 2012, 28, 137–161. [Google Scholar] [CrossRef]
- Brentnall, M.; Rodriguez-Menocal, L.; de Guevara, R.L.; Cepero, E.; Boise, L.H. Caspase-9, caspase-3 and caspase-7 have distinct roles during intrinsic apoptosis. BMC Cell Biol. 2013, 14, 32. [Google Scholar] [CrossRef]
- Wang, C.Y.; Mayo, M.W.; Korneluk, R.G.; Goeddel, D.V.; Baldwin, A.S., Jr. NF-kappaB antiapoptosis: Induction of TRAF1 and TRAF2 and c-IAP1 and c-IAP2 to suppress caspase-8 activation. Science 1998, 281, 1680–1683. [Google Scholar] [CrossRef]
- Sriskandan, S.; Cohen, J. The pathogenesis of septic shock. J. Infect. 1995, 30, 201–206. [Google Scholar] [CrossRef]
- Zheng, D.; Liwinski, T.; Elinav, E. Inflammasome activation and regulation: Toward a better understanding of complex mechanisms. Cell Discov. 2020, 6, 36. [Google Scholar] [CrossRef]
- Chen, G.Y. Regulation of the gut microbiome by inflammasomes. Free Radic. Biol. Med. 2016, 105, 35–40. [Google Scholar] [CrossRef][Green Version]














| Sample Code | Materials Type | Mass Ratio MCM-X:Gallic Acid |
|---|---|---|
| MCM-41 | MCM-41 | |
| MCM-41_1 | MCM-41: Gallic acid | 1:0.41 |
| MCM-41_2 | MCM-41: Gallic acid | 1:0.82 |
| MCM-41_3 | MCM-41: Gallic acid | 1:1.21 |
| MCM-48 | MCM-48 | |
| MCM-48_1 | MCM-48: Gallic acid | 1:0.41 |
| MCM-48_2 | MCM-48: Gallic acid | 1:0.82 |
| MCM-48_3 | MCM-48: Gallic acid | 1:1.21 |
| Sample Code | Total Mass Used (mg) | Mass of MCM-X (mg) | Mass of GA (mg) | Volume SGF/SIF (mL) |
|---|---|---|---|---|
| MCM-41_1 | 50 | 35.46 | 14.54 | 140 |
| MCM-41_2 | 50 | 27.47 | 22.53 | 140 |
| MCM-41_3 | 50 | 22.62 | 27.38 | 140 |
| MCM-48_1 | 50 | 35.46 | 14.54 | 140 |
| MCM-48_2 | 50 | 27.47 | 22.53 | 140 |
| MCM-48_3 | 50 | 22.62 | 27.38 | 140 |
| Sample Code | SBET (m2/g) | Vpors (cm3/g) |
|---|---|---|
| MCM-41 | 1179.63 | 0.7634 |
| MCM-41_1 | 666.16 | 0.3421 |
| MCM-41_2 | 536.30 | 0.2800 |
| MCM-41_3 | 384.63 | 0.2039 |
| MCM-48 | 1482.00 | 0.7486 |
| MCM-48_1 | 585.85 | 0.3641 |
| MCM-48_2 | 458.98 | 0.2870 |
| MCM-48_3 | 348.147 | 0.1897 |
| Sample | Mass Loss% RT-200 °C | Mass Loss% 200–900 °C | Endo Effect ( °C) | Residual Mass % (90 °C) | nH2O (mmol/g) | nOH (mmol/g) | NH2O (Groups/nm2) | NOH (Groups/nm2) |
|---|---|---|---|---|---|---|---|---|
| MCM-41 | 0.57 | 2.66 | 63.9 | 96.89 | 0.32 | 2.96 | 0.16 | 1.51 |
| MCM-48 | 0.36 | 2.77 | 64.7 | 96.86 | 0.20 | 3.08 | 0.08 | 1.25 |
| Sample | Mass Loss (%) RT-160 °C | Mass Loss (%) 160–300 °C | Mass Loss (%) 300–700 °C | Residual Mass (%) | GA Content (%) |
|---|---|---|---|---|---|
| MCM-41_1 | 8.56 | 4.93 | 25.49 | 60.52 | 37.54% |
| MCM-41_2 | 6.77 | 6.91 | 40.12 | 45.78 | 52.75% |
| MCM-41_3 | 5.75 | 7.41 | 48.40 | 38.12 | 60.66% |
| MCM-48_1 | 10.03 | 4.06 | 26.22 | 59.06 | 39.03% |
| MCM-48_2 | 7.83 | 6.46 | 39.73 | 45.46 | 53.07% |
| MCM-48_3 | 8.40 | 6.59 | 42.81 | 41.79 | 56.86% |
| E. coli 25922 | E. coli ESBLGG3048 | Pseudomonas aeruginosa 730 | Pseudomonas aeruginosa 1430 | Enterococus faecium 1422 | Salmonella tiphymurium | Enterococcus faecium 2853 | Shigella flexneri 12022 | ||
|---|---|---|---|---|---|---|---|---|---|
| AMX | <3.9 | >1000 | >1000 | >1000 | >1000 | >1000 | >1000 | <2 | |
| Gallic acid | 150 µg/mL | <7.81 | >1000 | >1000 | >1000 | >1000 | >1000 | >1000 | <3.9 |
| 500 µg/mL | <7.81 | >1000 | >1000 | >1000 | >1000 | >1000 | >1000 | <2 | |
| MCM41-gallic acid | 150 µg/mL | <7.81 | >1000 | >1000 | >1000 | >1000 | >1000 | >1000 | <2 |
| 500 µg/mL | <1 | <1 | <1 | <1 | >1000 | <1 | <1 | <1 | |
| MCM48-gallic acid | 150 µg/mL | <1.95 | >1000 | >1000 | >1000 | >1000 | >1000 | >1000 | <2 |
| 500 µg/mL | <1 | <1 | <1 | <1 | >1000 | <1 | <1 | <1 |
Publisher’s Note: MDPI stays neutral with regard to jurisdictional claims in published maps and institutional affiliations. |
© 2022 by the authors. Licensee MDPI, Basel, Switzerland. This article is an open access article distributed under the terms and conditions of the Creative Commons Attribution (CC BY) license (https://creativecommons.org/licenses/by/4.0/).
Share and Cite
Petrisor, G.; Ficai, D.; Motelica, L.; Trusca, R.D.; Bîrcă, A.C.; Vasile, B.S.; Voicu, G.; Oprea, O.C.; Semenescu, A.; Ficai, A.; et al. Mesoporous Silica Materials Loaded with Gallic Acid with Antimicrobial Potential. Nanomaterials 2022, 12, 1648. https://doi.org/10.3390/nano12101648
Petrisor G, Ficai D, Motelica L, Trusca RD, Bîrcă AC, Vasile BS, Voicu G, Oprea OC, Semenescu A, Ficai A, et al. Mesoporous Silica Materials Loaded with Gallic Acid with Antimicrobial Potential. Nanomaterials. 2022; 12(10):1648. https://doi.org/10.3390/nano12101648
Chicago/Turabian StylePetrisor, Gabriela, Denisa Ficai, Ludmila Motelica, Roxana Doina Trusca, Alexandra Cătălina Bîrcă, Bogdan Stefan Vasile, Georgeta Voicu, Ovidiu Cristian Oprea, Augustin Semenescu, Anton Ficai, and et al. 2022. "Mesoporous Silica Materials Loaded with Gallic Acid with Antimicrobial Potential" Nanomaterials 12, no. 10: 1648. https://doi.org/10.3390/nano12101648
APA StylePetrisor, G., Ficai, D., Motelica, L., Trusca, R. D., Bîrcă, A. C., Vasile, B. S., Voicu, G., Oprea, O. C., Semenescu, A., Ficai, A., Popitiu, M. I., Fierascu, I., Fierascu, R. C., Radu, E. L., Matei, L., Dragu, L. D., Pitica, I. M., Economescu, M., & Bleotu, C. (2022). Mesoporous Silica Materials Loaded with Gallic Acid with Antimicrobial Potential. Nanomaterials, 12(10), 1648. https://doi.org/10.3390/nano12101648

