Rapid Preparation of Fluorescent Carbon Dots from Pine Needles for Chemical Analysis
Abstract
:1. Introduction:
2. Experimental Method
2.1. Materials
2.2. Preparation of Functional Nanoparticles
2.3. Magnetic Fluorescence-Linked Immunoassay
3. Results and Discussion
3.1. Characterization of Nanoparticles
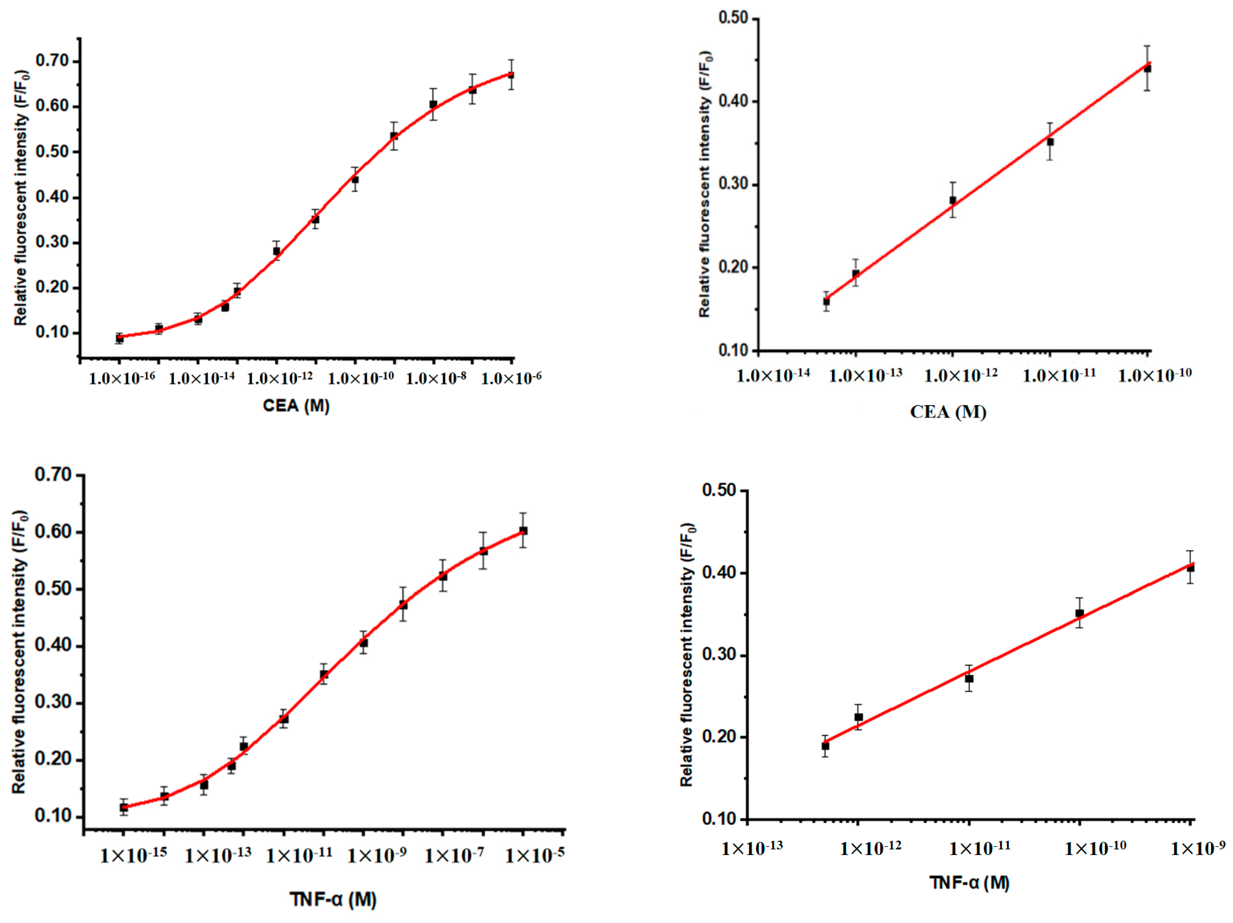
3.2. Magnetic Fluorescence-Linked Immunoassay
4. Conclusions
Supplementary Materials
Author Contributions
Funding
Institutional Review Board Statement
Informed Consent Statement
Data Availability Statement
Acknowledgments
Conflicts of Interest
References
- Semeniuk, M.; Yi, Z.; Poursorkhabi, V.; Tjong, J.; Jaffer, S.; Lu, Z.H.; Sain, M. Future Perspectives and Review on Organic Carbon Dots in Electronic Applications. ACS Nano 2019, 13, 6224–6255. [Google Scholar] [CrossRef] [PubMed]
- Shi, X.; Wei, W.; Fu, Z.; Gao, W.; Zhang, C.; Zhao, Q.; Deng, F.; Lu, X. Review on carbon dots in food safety applications. Talanta 2019, 194, 809–821. [Google Scholar] [CrossRef] [PubMed]
- Long, C.; Jiang, Z.; Shangguan, J.; Qing, T.; Zhang, P.; Feng, B. Applications of carbon dots in environmental pollution control: A review. Chem. Eng. J. 2021, 406, 126848. [Google Scholar] [CrossRef]
- Li, S.; Zhang, Z. Recent advances in the construction and analytical applications of carbon dots-based optical nanoassembly. Talanta 2021, 223, 121691. [Google Scholar] [CrossRef] [PubMed]
- Fedorenko, S.; Stepanov, A.; Bochkova, O.; Kholin, K.; Dovjenko, A.; Zairov, R.; Nizameev, I.; Gerasimova, T.; Strelnik, I.; Voloshina, A.; et al. Tailoring of silica nanoarchitecture to optimize Cu(2-x)S based image-guided chemodynamic therapy agent. Colloids Surf. A 2021, 626, 126996. [Google Scholar] [CrossRef]
- Zairov, R.R.; Dovzhenko, A.P.; Sarkanich, K.A.; Nizameev, I.R.; Luzhetskiy, A.V.; Sudakova, S.N.; Podyachev, S.N.; Burilov, V.A.; Vatsouro, I.M.; Vomiero, A.; et al. Single excited dual band luminescent hybrid carbon dots-terbium chelate nanothermometer. Nanomaterials 2021, 11, 3080. [Google Scholar] [CrossRef] [PubMed]
- Kamyshnikov, A.G.; Zaripov, A.T.; Beregovoy, A.N.; Ibatullin, R.R.; Zairov, R.R.; Dovzhenko, A.P. Carbon quantum dots used as tracers in ecological, hydrogeologicalmonitoring and reservoir management. Oil Ind. J. 2021, 7, 44–48. [Google Scholar]
- Khatamian, N.; Soltani, M.; Shadan, B.; Neamati, A.; Tabrizi, M.H.; Hormozi, B. Pinus morrisonicola needles essential oil nanoemulsions as a novel strong antioxidant and anticancer agent. Inorg. Nano-Met. Chem. 2021, 5, 1–9. [Google Scholar] [CrossRef]
- Sameiyan, E.; Hayes, A.W.; Karimi, G. The effect of medicinal plants on multiple drug resistance through autophagy: A review of in vitro studies. Eur. J. Pharmacol. 2019, 852, 244–253. [Google Scholar] [CrossRef]
- Chen, G.H.; Li, Y.C.; Lin, N.H.; Kuo, P.C.; Tzen, J. Characterization of Vasorelaxant Principles from the Needles of Pinus morrisonicola Hayata. Molecules 2018, 23, 86. [Google Scholar] [CrossRef] [Green Version]
- Cheng, M.C.; Chang, W.H.; Chen, C.W.; Li, W.W.; Tseng, C.Y.; Song, T.Y. Antioxidant Properties of Essential Oil Extracted from Pinus morrisonicola Hay Needles by Supercritical Fluid and Identification of Possible Active Compounds by GC/MS. Molecules 2015, 20, 19051–19065. [Google Scholar] [CrossRef] [Green Version]
- Singh, R.K.; Kuma, R.; Singh, D.P.; Savu, R.; Moshkalev, S.A. Progress in microwave-assisted synthesis of quantum dots for bioapplications: A review. Mater. Today Chem. 2019, 12, 282–314. [Google Scholar] [CrossRef]
- Yang, G.; Park, S.J. Conventional and microwave hydrothermal synthesis and application of functional materials: A review. Materials 2019, 12, 1177. [Google Scholar] [CrossRef] [Green Version]
- Borrebaeck, C.A.K. Precision diagnostics: Moving towards protein biomarker signatures of clinical utility in cancer. Nat. Rev. Cancer 2017, 17, 199–204. [Google Scholar] [CrossRef] [PubMed]
- O’Connor, J.P.B.; Waterton, J.C. Imaging biomarker roadmap for cancer studies. Nat. Rev. Clin. Oncol. 2017, 14, 169–186. [Google Scholar] [CrossRef]
- Tsai, H.Y.; Chan, J.R.; Li, Y.C.; Cheng, F.C.; Fuh, C.B. Determination of Hepatitis B Surface Antigen Using Magnetic Immunoassays in a Thin Channel. Biosens. Bioelectron. 2010, 25, 2701–2705. [Google Scholar] [CrossRef]
- Yang, S.F.; Gao, B.Z.; Tsai, H.Y.; Fuh, C.B. Detection of c-reactive protein based on a magnetic immunoassay by using functional magnetic and fluorescent nanoparticles in microplates. Analyst 2014, 139, 5576–5581. [Google Scholar] [CrossRef]
- Tsai, H.Y.; Lin, W.M.; Chuang, M.C.; Lu, Y.S.; Fuh, C.B. Multifunctional nanoparticles for protein detections in thin channels. Biosens. Bioelectron. 2017, 90, 153–158. [Google Scholar] [CrossRef] [PubMed]
- Tsai, H.Y.; Wu, H.H.; Chou, B.C.; Li, C.S.; Gau, B.Z.; Lin, Z.Y.; Fuh, C.B. A magneto-microfluidic platform for fluorescence immunosensing using quantum dot nanoparticles. Nanotechnology 2019, 3, 505101. [Google Scholar] [CrossRef]
- Hou, L.; Huang, J.; Liu, S.; Lin, T.; Zhao, S. Magneto-controlled fluorescent immunosensor for sensitive determination of biomarker via three-dimensional AuNCs/liposome networks. Sens. Actuators B Chem. 2021, 342, 130075. [Google Scholar] [CrossRef]
- Yu, Z.; Cai, G.; Liu, X.; Tan, D. Pressure-Based Biosensor Integrated with a Flexible Pressure Sensor and an Electrochromic Device for Visual Detection. Anal. Chem. 2021, 93, 2916–2925. [Google Scholar] [CrossRef]
- Zheng, J.; Wang, J.; Song, D.; Xu, J.; Zhang, M. Electrochemical aptasensor of carcinoembryonic Antigen Based on concanavalin A-functionalized magnetic copper silicate carbon microtubes and gold-nanocluster-assisted signal amplification. ACS Appl. Nano Mater. 2020, 3, 3449–3458. [Google Scholar] [CrossRef]
- Gao, J.; Liu, H.; Wu, K.; Yan, J.; Li, H.; Yang, R.; Tong, C.; Pang, L.; Li, J. Biocatalyst and colorimetric biosensor of carcinoembryonic antigen constructed via chicken egg white-copper phosphate organic/inorganic hybrid nanoflowers. J. Colloid Interface Sci. 2021, 601, 50–59. [Google Scholar] [CrossRef] [PubMed]
- Shen, Z.; Ni, S.; Yang, W.; Sun, W.; Yang, G.; Liu, G. Redox probes tagged electrochemical aptasensing device for simultaneous detection of multiple cytokines in real time. Sens. Actuators B. Chem. 2021, 336, 129747. [Google Scholar] [CrossRef]
- Baria, S.M.I.; Reisb, L.G.; Nestorova, G.G. Calorimetric sandwich-type immunosensor for quantification of TNF-α. Biosens. Bioelectron. 2019, 126, 82–87. [Google Scholar] [CrossRef]
- Arya, S.K.; Estrela, P. Electrochemical ELISA protein biosensing in undiluted serum using a polypy role based platform. Sensors 2020, 20, 2857. [Google Scholar] [CrossRef]






| Biomarker | Literature | Detection Limit (ng mL−1) | Linear Range (ng mL−1) | Ref. |
|---|---|---|---|---|
| CEA | Sens. Actuator. B chem. 2021, 342, 130075 | 0.013 | 0.05–40 | [20] |
| Anal. Chem. 2021, 93, 2916–2925 | 0.094 | 0.2–50 | [21] | |
| ACS Apple Nano Mater. 2020, 3, 3449–3458 | 0.0054 | 0.03–6 | [22] | |
| J Colloid Interface Sci. 2021, 601, 50–59 | 0.00352 | 0.05–40 | [23] | |
| This study | 0.0031 | 0.009–18 | ||
| TNF-α | Sens. Actuator. B chem. 2021, 336, 129747 | 0.005 | 0.005–0.20 | [24] |
| Bios. Bioelectron. 2019, 126, 82–87 | 0.014 | 0.014–2.0 | [25] | |
| Sensor 2021, 20, 2857 | 0.078 | 0.1–100 | [26] | |
| This study | 0.0028 | 0.0085–17 |
Publisher’s Note: MDPI stays neutral with regard to jurisdictional claims in published maps and institutional affiliations. |
© 2021 by the authors. Licensee MDPI, Basel, Switzerland. This article is an open access article distributed under the terms and conditions of the Creative Commons Attribution (CC BY) license (https://creativecommons.org/licenses/by/4.0/).
Share and Cite
Tsai, H.; Chang, K.; Lee, W.; Fuh, C.B. Rapid Preparation of Fluorescent Carbon Dots from Pine Needles for Chemical Analysis. Nanomaterials 2022, 12, 66. https://doi.org/10.3390/nano12010066
Tsai H, Chang K, Lee W, Fuh CB. Rapid Preparation of Fluorescent Carbon Dots from Pine Needles for Chemical Analysis. Nanomaterials. 2022; 12(1):66. https://doi.org/10.3390/nano12010066
Chicago/Turabian StyleTsai, Hweiyan, Kaiying Chang, Wanshing Lee, and C. Bor Fuh. 2022. "Rapid Preparation of Fluorescent Carbon Dots from Pine Needles for Chemical Analysis" Nanomaterials 12, no. 1: 66. https://doi.org/10.3390/nano12010066
APA StyleTsai, H., Chang, K., Lee, W., & Fuh, C. B. (2022). Rapid Preparation of Fluorescent Carbon Dots from Pine Needles for Chemical Analysis. Nanomaterials, 12(1), 66. https://doi.org/10.3390/nano12010066

