Metal-Free Phosphated Mesoporous SiO2 as Catalyst for the Low-Temperature Conversion of SO2 to H2S in Hydrogen
Abstract
:1. Introduction
2. Experimental Section
2.1. Chemicals
2.2. Catalyst Synthesis
2.3. Catalytic Assessment: Reaction Metrics
2.4. Characterization of Catalyst Structure
3. Results and Discussion
3.1. Catalyst Characterization
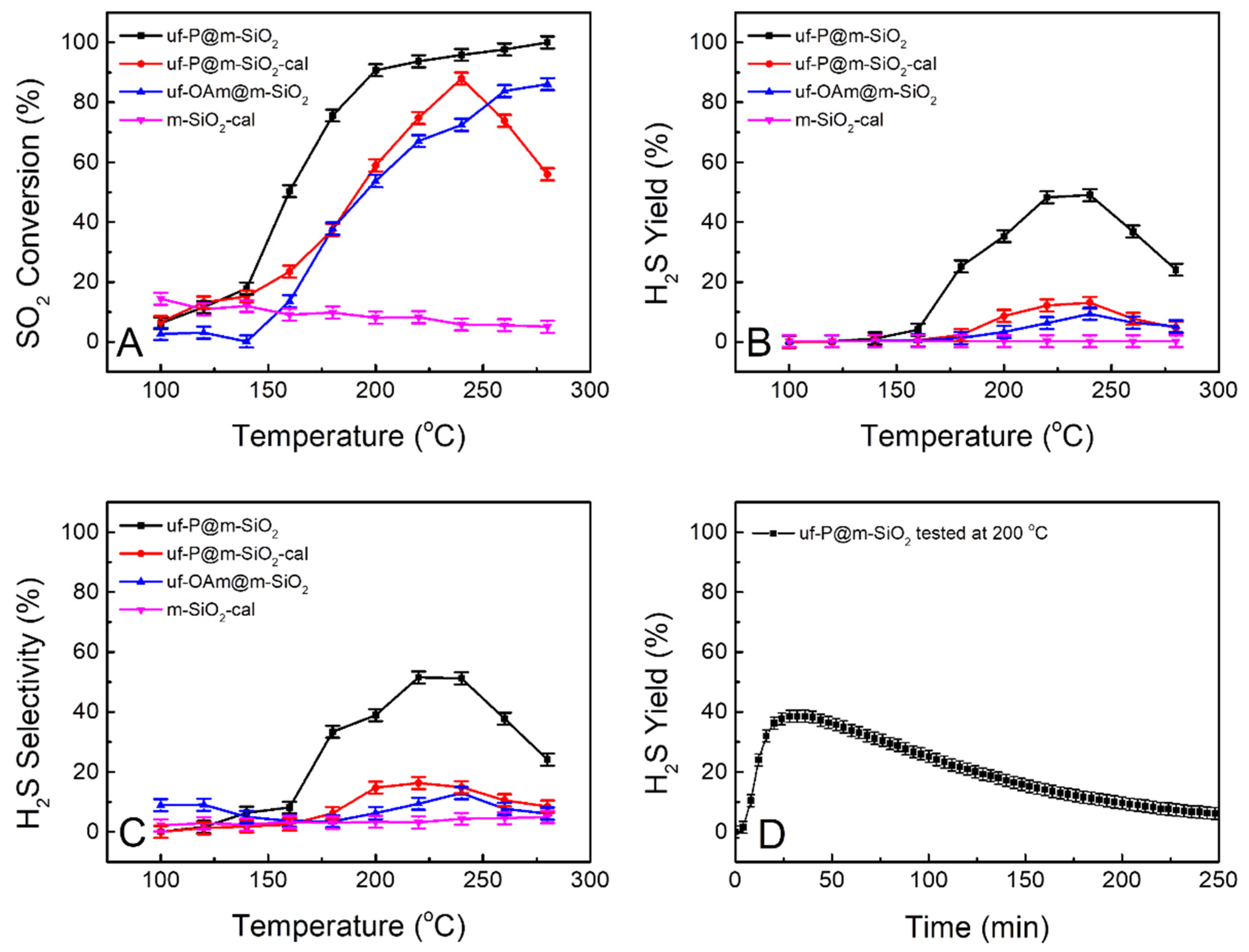
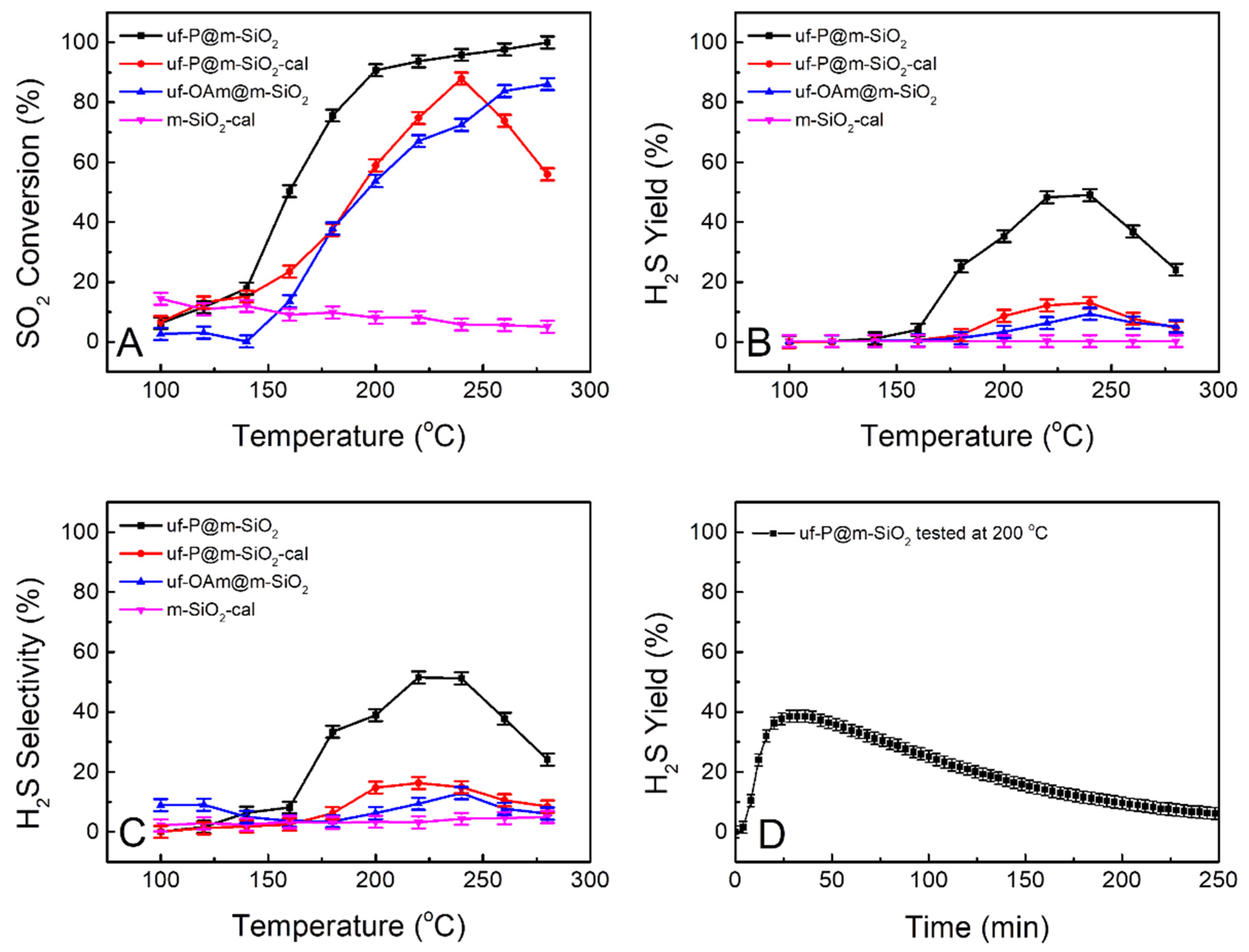
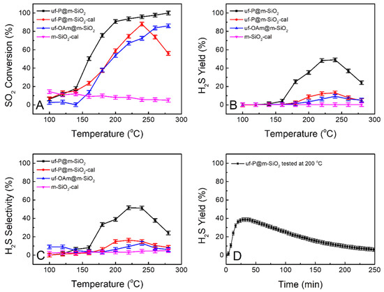
3.2. Catalytic Performance
4. Conclusions
Supplementary Materials
Author Contributions
Funding
Institutional Review Board Statement
Informed Consent Statement
Data Availability Statement
Acknowledgments
Conflicts of Interest
References
- Chorkendorff, I.; Niemantsverdriet, J.W. Concepts of Modern Catalysis and Kinetics; Wiley-VCH Verlag GmbH & Co. KGaA: Weinheim, Germany, 2017; Volume 9, p. 399. [Google Scholar]
- GRAND VIEW RESEARCH, Hydrodesulfurization Catalysts Market Size, Share & Trends Analysis Report by Type (Load Type, Non-load Type), By Application (Diesel, Naphtha), By Region, and Segment Forecasts, 2020–2027. 2020. Available online: https://www.grandviewresearch.com/industry-analysis/hydrodesulfurization-catalysts-market (accessed on 7 September 2021).
- Eow, J.S. Recovery of sulfur from sour acid gas: A review of the technology. Environ. Prog. Sustain. Energy 2002, 21, 143–162. [Google Scholar] [CrossRef]
- Brunet, S.; Mey, D.; Pérot, G.; Bouchy, C.; Diehl, F. On the hydrodesulfurization of FCC gasoline: A review. Appl. Catal. A 2005, 278, 143–172. [Google Scholar] [CrossRef]
- Ishiguro, A.; Liu, Y.; Nakajima, T.; Wakatsuki, Y. Efficient reduction of sulfur dioxide with hydrogen over TiO2-supported catalysts derived from ruthenium salts and ruthenium cluster complexes. J. Catal. 2002, 206, 159–164. [Google Scholar] [CrossRef]
- Paik, S.C.; Kim, H.; Chung, J.S. The catalytic reduction of SO2 to elemental sulfur with H2 or CO. Catal. Today 1997, 38, 193–198. [Google Scholar] [CrossRef]
- Paik, S.C.; Chung, J.S. Selective hydrogenation of SO2 to elemental sulfur over transition metal sulfides supported on Al2O3. Appl. Catal. B 1996, 8, 267–279. [Google Scholar] [CrossRef]
- Gengfeng, D.E.; Jiang, K.; Xia, C.A.; Chunfa, L.I. Reduction of SO2 to elemental sulfur over rare earth-iron catalysts. J. Rare Earths 2009, 27, 744–748. [Google Scholar]
- Li, K.T.; Hung, Y.C. Hydrogenation of sulfur dioxide to hydrogen sulfide over Fe/γ-Al2O3 catalysts. Appl. Catal. B 2003, 40, 13–20. [Google Scholar] [CrossRef]
- Polychronopoulou, K.; Galisteo, F.C.; Granados, M.L.; Fierro, J.L.; Bakas, T.; Efstathiou, A.M. Novel Fe–Mn–Zn–Ti–O mixed-metal oxides for the low-temperature removal of H2S from gas streams in the presence of H2, CO2, and H2O. J. Catal. 2005, 236, 205–220. [Google Scholar] [CrossRef]
- Polychronopoulou, K.; Fierro, J.L.G.; Efstathiou, A.M. Novel Zn–Ti-based mixed metal oxides for low-temperature adsorption of H2S from industrial gas streams. Appl. Catal. B 2005, 57, 125–137. [Google Scholar] [CrossRef]
- Polychronopoulou, K.; Efstathiou, A.M. Effects of sol−gel synthesis on 5Fe−15Mn−40Zn−40Ti−O mixed oxide structure and its H2S removal efficiency from industrial gas streams. Environ. Sci. Technol. 2009, 43, 4367–4372. [Google Scholar] [CrossRef]
- Georgiadis, A.G.; Charisiou, N.D.; Goula, M.A. Removal of hydrogen sulfide from various industrial gases: A re-view of the most promising adsorbing materials. Catalysts 2020, 10, 521. [Google Scholar] [CrossRef]
- Oyama, S.T. Novel catalysts for advanced hydroprocessing: Transition metal phosphides. J. Catal. 2003, 216, 343–352. [Google Scholar] [CrossRef]
- Oyama, S.T.; Gott, T.; Zhao, H.; Lee, Y.K. Transition metal phosphide hydroprocessing catalysts: A review. Catal. Today 2009, 143, 94–107. [Google Scholar] [CrossRef]
- Lu, X.; Baker, M.A.; Anjum, D.H.; Basina, G.; Hinder, S.J.; Papawassiliou, W.; Pell, A.J.; Karagianni, M.; Papavassiliou, G.; Shetty, D.; et al. Ni2P Nanoparticles Embedded in Mesoporous SiO2 for Catalytic Hydrogenation of SO2 to Elemental S. ACS Appl. Nano Mater. 2021, 4, 5665–5676. [Google Scholar] [CrossRef]
- Lu, X.; Baker, M.A.; Anjum, D.H.; Papawassiliou, W.; Pell, A.J.; Fardis, M.; Papavassiliou, G.; Hinder, S.J.; Gaber, S.A.A.; Gaber, D.A.A.; et al. Nickel Phosphide Nanoparticles for Selective Hydrogenation of SO2 to H2S. ACS Appl. Nano Mater. 2021, 4, 6568–6582. [Google Scholar] [CrossRef]
- Papawassiliou, W.; Carvalho, J.P.; Panopoulos, N.; Al Wahedi, Y.; Wadi, V.K.; Lu, X.; Polychronopoulou, K.; Lee, J.B.; Lee, S.; Kim, C.Y.; et al. Crystal and electronic facet analysis of ultrafine Ni2P particles by solid-state NMR nanocrystallography. Nat. Commun. 2021, 12, 1–11. [Google Scholar] [CrossRef]
- Elmutasim, O.; Sajjad, M.; Singh, N.; AlWahedi, Y.; Polychronopoulou, K. Combined DFT and microkinetic modeling study of SO2 hydrodesulfurization reaction on Ni5P4 catalyst. Appl. Surf. Sci. 2021, 559, 149872. [Google Scholar] [CrossRef]
- Bahamon, D.; Khalil, M.; Belabbes, A.; Alwahedi, Y.; Vega, L.F.; Polychronopoulou, K. A DFT study of the adsorption energy and electronic interactions of the SO2 molecule on a CoP hydrotreating catalyst. RSC Adv. 2021, 11, 2947–2957. [Google Scholar] [CrossRef]
- Chaignon, J.; Bouizi, Y.; Davin, L.; Calin, N.; Albela, B.; Bonneviot, L. Minute-made and low carbon fingerprint microwave synthesis of high quality templated mesoporous silica. Green Chem. 2015, 17, 3130–3140. [Google Scholar] [CrossRef]
- Lu, X.; Clément, R.; Lu, Y.; Albela, B.; Baker, R.T.; Bonneviot, L. Selective C-C Bond Cleavage in Diols and Lignin Models: High-throughput Screening of Metal Oxide-Anchored Vana-dium in Mesoporous Silica. Catalysts 2021, 11, 901. [Google Scholar] [CrossRef]
- Huo, C.; Ouyang, J.; Yang, H. CuO nanoparticles encapsulated inside Al-MCM-41 mesoporous materials via direct synthetic route. Sci. Rep. 2014, 4, 1–9. [Google Scholar] [CrossRef] [PubMed]
- Nhavene, E.P.; Andrade, G.F.; Faria, J.A.; Gomes, D.A.; Sousa, E.M. Biodegradable polymers grafted onto multifunctional mesoporous silica nanoparticles for gene delivery. ChemEngineering 2018, 2, 24. [Google Scholar] [CrossRef] [Green Version]
- Thommes, M.; Kaneko, K.; Neimark, A.V.; Olivier, J.P.; Rodriguez-Reinoso, F.; Rouquerol, J.; Sing, K.S.W. Physisorption of gases, with special reference to the evaluation of surface area and pore size distribution (IUPAC Technical Report). Pure Appl. Chem. 2015, 87, 1051–1069. [Google Scholar] [CrossRef] [Green Version]
- X-ray Photoelectron Spectroscopy (XPS) Reference Pages. Available online: http://www.xpsfitting.com/2013/01/phosphorus.html (accessed on 7 September 2021).
- Lu, X.; Zhao, G.; Lu, Y. Propylene epoxidation with O2 and H2: A high-performance Au/TS-1 catalyst prepared via a deposition–precipitation method using urea. Catal. Sci. Technol. 2013, 3, 2906–2909. [Google Scholar] [CrossRef]








| Catalyst Name | SiO2 | Calcination | Phosphorization |
|---|---|---|---|
| uf-P@m-SiO2 | Yes | No | Yes |
| uf-P@m-SiO2-cal | Yes | Yes | Yes |
| uf-OAm@m-SiO2 | Yes | No | No |
| m-SiO2-cal | Yes | Yes | No |
| Catalyst | EDX | XPS | ||
|---|---|---|---|---|
| P/Si (Atomic Concentration Ratio) | ||||
| Fresh | Spent | Fresh | Spent | |
| uf-P@m-SiO2 | 0.004 | 0.004 | 0.004 | 0.004 |
| uf-P@m-SiO2-cal | 0.008 | 0.011 | 0.004 | / |
| uf-OAm@m-SiO2 | 0.0 | 0.0 | / | / |
| m-SiO2-cal | 0.0 | 0.0 | / | / |
Publisher’s Note: MDPI stays neutral with regard to jurisdictional claims in published maps and institutional affiliations. |
© 2021 by the authors. Licensee MDPI, Basel, Switzerland. This article is an open access article distributed under the terms and conditions of the Creative Commons Attribution (CC BY) license (https://creativecommons.org/licenses/by/4.0/).
Share and Cite
Lu, X.; Gaber, S.; Baker, M.A.; Hinder, S.J.; Polychronopoulou, K. Metal-Free Phosphated Mesoporous SiO2 as Catalyst for the Low-Temperature Conversion of SO2 to H2S in Hydrogen. Nanomaterials 2021, 11, 2440. https://doi.org/10.3390/nano11092440
Lu X, Gaber S, Baker MA, Hinder SJ, Polychronopoulou K. Metal-Free Phosphated Mesoporous SiO2 as Catalyst for the Low-Temperature Conversion of SO2 to H2S in Hydrogen. Nanomaterials. 2021; 11(9):2440. https://doi.org/10.3390/nano11092440
Chicago/Turabian StyleLu, Xinnan, Safa Gaber, Mark A. Baker, Steven J. Hinder, and Kyriaki Polychronopoulou. 2021. "Metal-Free Phosphated Mesoporous SiO2 as Catalyst for the Low-Temperature Conversion of SO2 to H2S in Hydrogen" Nanomaterials 11, no. 9: 2440. https://doi.org/10.3390/nano11092440
APA StyleLu, X., Gaber, S., Baker, M. A., Hinder, S. J., & Polychronopoulou, K. (2021). Metal-Free Phosphated Mesoporous SiO2 as Catalyst for the Low-Temperature Conversion of SO2 to H2S in Hydrogen. Nanomaterials, 11(9), 2440. https://doi.org/10.3390/nano11092440

