Preparation of SA–PA–LA/EG/CF CPCM and Its Application in Battery Thermal Management
Abstract
:1. Introduction
2. Experiment Methodology
2.1. Preparation of CPCMs
2.1.1. Experimental Materials
2.1.2. Preparation Methods
2.2. Characterization of CPCMs
2.3. Battery Charge and Discharge Experiment
3. Results and Discussion
3.1. Binary and Ternary Eutectic PCMs
3.1.1. Step Cooling Characteristics of Binary PCMs
3.1.2. Phase Change Properties of Binary PCMs
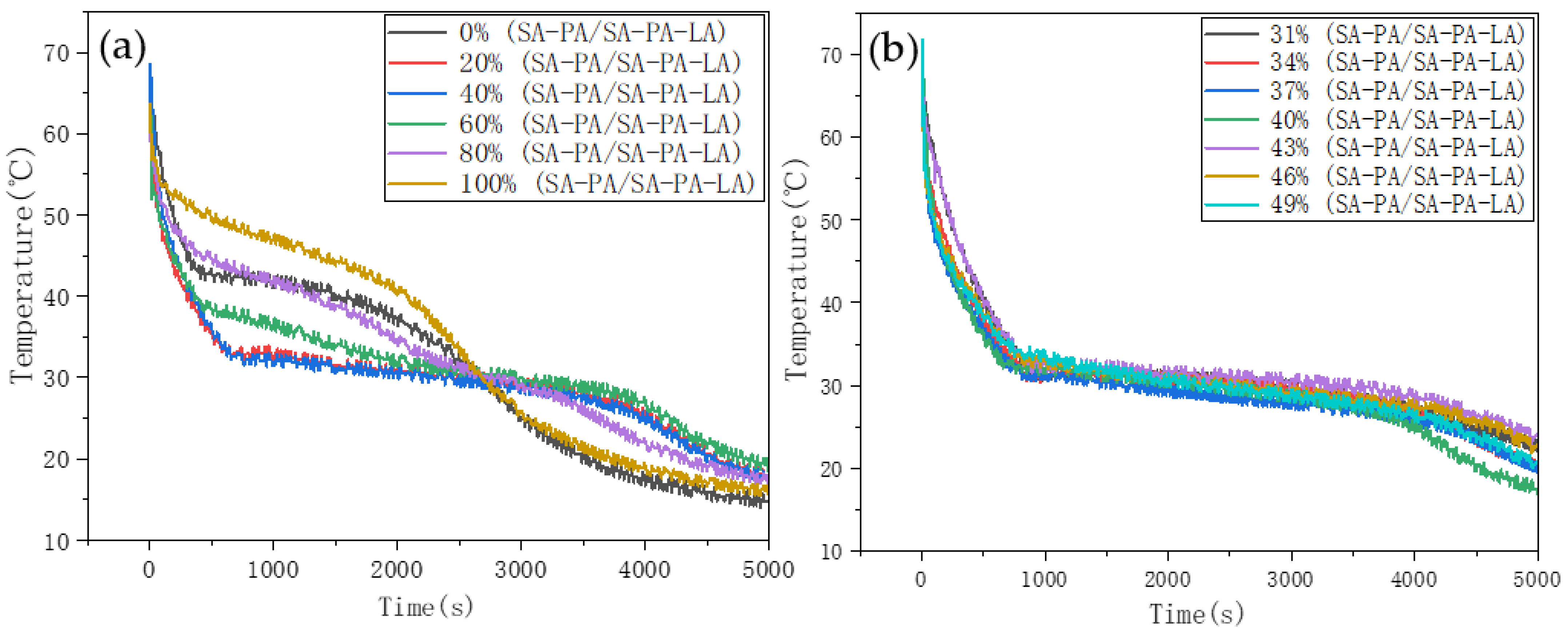
3.1.3. Step Cooling Characteristics of Ternary PCMs
3.1.4. Phase Change Properties of Ternary PCMs
3.2. CPCMs
3.2.1. Microscopic Characterization
3.2.2. Leakage and Thermal Conductivity Test
3.2.3. Thermal Stability Study
3.2.4. Infrared Spectrum Analysis
3.2.5. Heat Storage and Heat Release Performance
3.2.6. Mechanical Property Test
3.3. Temperature Response Curve of the Battery
3.3.1. Heat Dissipation without CPCM
3.3.2. Single-Layer CPCM Heat Dissipation
3.3.3. Double-Layer CPCM Heat Dissipation
4. Conclusions
Author Contributions
Funding
Institutional Review Board Statement
Informed Consent Statement
Data Availability Statement
Conflicts of Interest
Abbreviation
| SA | Stearic acid |
| PA | Palmitic acid |
| MA | Myristic acid |
| LA | Lauric acid |
| PCM | Phase change material |
| CPCM | Composite phase change materials |
| CF | Carbon fiber |
| EG | Expanded graphite |
| PW | Paraffin wax |
| 0.5C | Two-hour full discharge current |
| 1C | One-hour full discharge current |
| 2C | Half-an-hour full discharge current |
| 1Cdischarge-0.5Ccharge | First discharge with 1C current and then charge with 0.5C current |
| 2Cdischarge-0.5Ccharge | First discharge with 2C current and then charge with 0.5C current |
References
- Ding, X.; Zhang, D.; Cheng, J.; Wang, B.; Luk, P.C.K. An improved Thevenin model of lithium-ion battery with high accuracy for electric vehicles. Appl. Energy 2019, 254, 113615. [Google Scholar] [CrossRef]
- Zhuang, W.; Liu, Z.; Su, H.; Chen, G. An intelligent thermal management system for optimized lithium-ion battery pack. Appl. Therm. Eng. 2021, 189, 116767. [Google Scholar] [CrossRef]
- Cao, W.; Zhao, C.; Wang, Y.; Dong, T.; Jiang, F. Thermal modeling of full-size-scale cylindrical battery pack cooled by channeled liquid flow. Int. J. Heat Mass Trans. 2019, 138, 1178–1187. [Google Scholar] [CrossRef]
- Deng, T.; Zhang, G.; Ran, Y.; Liu, P. Thermal performance of lithium ion battery pack by using cold plate. Appl. Therm. Eng. 2019, 160, 114088. [Google Scholar] [CrossRef]
- Liao, Z.; Zhang, S.; Li, K.; Zhang, G.; Habetler, T.G. A survey of methods for monitoring and detecting thermal runaway of lithium-ion batteries. J. Power Sources 2019, 436, 226879. [Google Scholar] [CrossRef]
- Yates, M.; Akrami, M.; Javadi, A.A. Analysing the performance of liquid cooling designs in cylindrical lithium-ion batteries. J. Energy Storage 2019, 100913. [Google Scholar] [CrossRef]
- Jiang, K.; Liao, G.; Jiaqiang, E.; Zhang, F.; Chen, J.; Leng, E. Thermal management technology of power lithium-ion batteries based on the phase transition of materials: A review. J. Energy Storage 2020, 32, 101816. [Google Scholar] [CrossRef]
- Huang, R.; Li, Z.; Hong, W.; Wu, Q.; Yu, X. Experimental and numerical study of PCM thermophysical parameters on lithium-ion battery thermal management. Energy Rep. 2020, 6, 8–19. [Google Scholar] [CrossRef]
- Safdari, M.; Ahmadi, R.; Sadeghzadeh, S. Numerical investigation on PCM encapsulation shape used in the passive-active battery thermal management. Energy 2020, 193, 116840. [Google Scholar] [CrossRef]
- Shi, T.; Zhang, X.; Qiao, J.; Wu, X.; Chen, G.; Leng, G.; Lin, F.; Min, X.; Huang, Z. Preparation and characterization of composite phase change materials based on paraffin and carbon foams derived from starch. Polymer 2021, 212, 123–143. [Google Scholar] [CrossRef]
- Zhang, Y.; Ding, J.; Wang, X.; Yang, R.; Lin, K. Influence of additives on thermal conductivity of shape-stabilized phase change material. Sol. Energy Mater. Sol. Cells 2006, 90, 1692–1702. [Google Scholar] [CrossRef]
- Jiang, G.; Huang, J.; Fu, Y.; Cao, M.; Liu, M. Thermal optimization of composite phase change material/expanded graphite for Li-ion battery thermal management. Appl. Therm. Eng. 2016, 108, 1119–1125. [Google Scholar] [CrossRef]
- Ling, Z.; Wen, X.; Zhang, Z.; Fang, X.; Gao, X. Thermal management performance of phase change materials with different thermal conductivities for Li-ion battery packs operated at low temperatures. Energy 2018, 144, 977–983. [Google Scholar] [CrossRef]
- Zhang, S.; Wang, Z. Thermodynamics behavior of phase change latent heat materials in micro-/nanoconfined spaces for thermal storage and applications. Renew. Sustain. Energy Rev. 2018, 82, 2319–2331. [Google Scholar] [CrossRef]
- Hasan, M.I.; Tbena, H.L. Using of phase change materials to enhance the thermal performance of micro channel heat sink. Eng. Science Technol. 2018, 21, 517–526. [Google Scholar] [CrossRef]
- Li, R.; Zhou, Y.; Duan, X. A novel composite phase change material with paraffin wax in tailings porous ceramics. Appl. Therm. Eng. 2019, 151, 115–123. [Google Scholar] [CrossRef]
- Gulfam, R.; Zhang, P.; Meng, Z. Advanced thermal systems driven by paraffin-based phase change materials—A review. Appl. Energy 2019, 238, 582–611. [Google Scholar] [CrossRef]
- Prasath, K.G.; Alexpandi, R.; Parasuraman, R.; Pavithra, M.; Ravi, A.V.; Pandian, S.K. Anti-inflammatory potential of myristic acid and palmitic acid synergism against systemic candidiasis in Danio rerio (Zebrafish). Biomed. Pharmacother. 2021, 133, 111043. [Google Scholar] [CrossRef]
- Nazir, H.; Batool, M.; Ali, M.; Kannan, A.M. Fatty acids based eutectic phase change system for thermal energy storage applications. Appl. Therm. Eng. 2018, 142, 466–475. [Google Scholar] [CrossRef]
- Qiu, S.; Wang, X.; Zan, M.; Wang, Z.; Dang, L. The insight into separation of oleic, linoleic, and α-linolenic acid in peony seed oil from eutectic behaviors, polymorphic transition and solid-liquid phase equilibrium. LWT 2021, 138, 110738. [Google Scholar] [CrossRef]
- Kahwaji, S.; Johnson, M.B.; Kheirabadi, A.C.; Groulx, D.; White, M.A. Stable, low-cost phase change material for building applications: The eutectic mixture of decanoic acid and tetradecanoic acid. Appl. Energy 2016, 168, 457–464. [Google Scholar] [CrossRef]
- Alva, G.; Huang, X.; Liu, L.; Fang, G. Synthesis and characterization of microencapsulated myristic acid─palmitic acid eutectic mixture as phase change material for thermal energy storage. Appl. Energy 2017, 203, 677–685. [Google Scholar] [CrossRef]
- Zhang, X.; Huang, Z.; Yin, Z.; Zhang, W.; Huang, Y.; Liu, Y.; Fang, M.; Wu, X.; Min, X. Form stable composite phase change materials from palmitic-lauric acid eutectic mixture and carbonized abandoned rice: Preparation, characterization, and thermal conductivity enhancement. Energy Build. 2017, 154, 46–54. [Google Scholar] [CrossRef]
- Ramirez, C.C.; Botero, M.; Jaramillo, F. Comprehensive analysis of the thermal properties of capric-myristic, lauric-myristic and palmitic-stearic acids and their shape-stabilization in an inorganic support. J. Energy Storage 2021, 34, 102015. [Google Scholar] [CrossRef]
- Santos, R.B.d.; Rivelino, R.; Mota, F.d.B.; Kakanakova-Georgieva, A.; Gueorguiev, G.K. Feasibility of novel (H3C)nX(SiH3)3−n compounds (X=B, Al, Ga, In): Structure, stability, reactivity, and Raman characterization from ab initio calculations. Dalton Trans. 2015, 44, 3356–3366. [Google Scholar] [CrossRef] [PubMed] [Green Version]
- Freitas, R.R.Q.; Rivelino, R.; Mota, F.d.B.; Gueorguiev, G.K.; de Castilho, C.M.C. Energy Barrier Reduction for the Double Proton-Transfer Reaction in Guanine–Cytosine DNA Base Pair on a Gold Surface. J. Phys. Chem. C 2015, 119, 15735–15741. [Google Scholar] [CrossRef] [Green Version]
- Liu, Z.; Huang, J.; Cao, M.; Jiang, G.; Yan, Q.; Hu, J. Experimental study on the thermal management of batteries based on the coupling of composite phase change materials and liquid cooling. Appl. Therm. Eng. 2021, 185, 116415. [Google Scholar] [CrossRef]
- Cao, M.; Huang, J.; Liu, Z. The Enhanced Performance of Phase-Change Materials via 3D Printing with Prickly Aluminum Honeycomb for Thermal Management of Ternary Lithium Batteries. Adv. Mater. Sci. Eng. 2020, 2020, 8167386. [Google Scholar] [CrossRef] [Green Version]
- Liu, Z.; Huang, J.; Cao, M.; Jiang, G.; Hu, J.; Chen, Q. Preparation of Binary Thermal Silicone Grease and Its Application in Battery Thermal Management. Materials 2020, 13, 4763. [Google Scholar] [CrossRef] [PubMed]
- Dai, J.; Ma, F.; Fu, Z.; Li, C.; Jia, M.; Shi, K.; Wen, Y.; Wang, W. Applicability assessment of stearic acid/palmitic acid binary eutectic phase change material in cooling pavement. Renew. Energy 2021, 175, 748–759. [Google Scholar] [CrossRef]
- Jiao, C.; Ji, B.; Fang, D. Preparation and properties of lauric acid–stearic acid/expanded perlite composite as phase change materials for thermal energy storage. Mater. Lett. 2012, 67, 352–354. [Google Scholar] [CrossRef]
- Huang, X.; Cui, Y.D.; Zhang, B.N.; Yin, G.Q.; Feng, G.Z. Preparation and Properties of Capric-Lauric-Palmitic Acid Eutectic Mixtures/Expanded Graphite Composite as Phase Change Materials for Energy Storage. Adv. Mater. Res. 2014, 1028, 40–45. [Google Scholar] [CrossRef]



















| Parameters | Value |
|---|---|
| Thickness, width, height (mm) | 28, 148, 98 |
| Internal resistance (mΩ) | 0.5 |
| Capacity (Ah) | 50 |
| Weight (kg) | 1.2 |
| Charge and discharge cut-off voltage (V) | 2.7–4.2 |
| Nominal voltage (V) | 3.7 |
| Maximum charging current (C) | 1 |
| Maximum discharge current (C) | 2 |
Publisher’s Note: MDPI stays neutral with regard to jurisdictional claims in published maps and institutional affiliations. |
© 2021 by the authors. Licensee MDPI, Basel, Switzerland. This article is an open access article distributed under the terms and conditions of the Creative Commons Attribution (CC BY) license (https://creativecommons.org/licenses/by/4.0/).
Share and Cite
Liu, Z.; Huang, J.; Cao, M.; Zhang, Y.; Hu, J.; Chen, Q. Preparation of SA–PA–LA/EG/CF CPCM and Its Application in Battery Thermal Management. Nanomaterials 2021, 11, 1902. https://doi.org/10.3390/nano11081902
Liu Z, Huang J, Cao M, Zhang Y, Hu J, Chen Q. Preparation of SA–PA–LA/EG/CF CPCM and Its Application in Battery Thermal Management. Nanomaterials. 2021; 11(8):1902. https://doi.org/10.3390/nano11081902
Chicago/Turabian StyleLiu, Ziqiang, Juhua Huang, Ming Cao, Yafang Zhang, Jin Hu, and Qiang Chen. 2021. "Preparation of SA–PA–LA/EG/CF CPCM and Its Application in Battery Thermal Management" Nanomaterials 11, no. 8: 1902. https://doi.org/10.3390/nano11081902
APA StyleLiu, Z., Huang, J., Cao, M., Zhang, Y., Hu, J., & Chen, Q. (2021). Preparation of SA–PA–LA/EG/CF CPCM and Its Application in Battery Thermal Management. Nanomaterials, 11(8), 1902. https://doi.org/10.3390/nano11081902

