Graphene Oxide Electroreduced onto Boron-Doped Diamond and Electrodecorated with Silver (Ag/GO/BDD) Electrode for Tetracycline Detection in Aqueous Solution
Abstract
1. Introduction
2. Materials and Methods
3. Results
3.1. Morpho-Structural Characterization
3.2. Cyclic Voltammetric Measurements
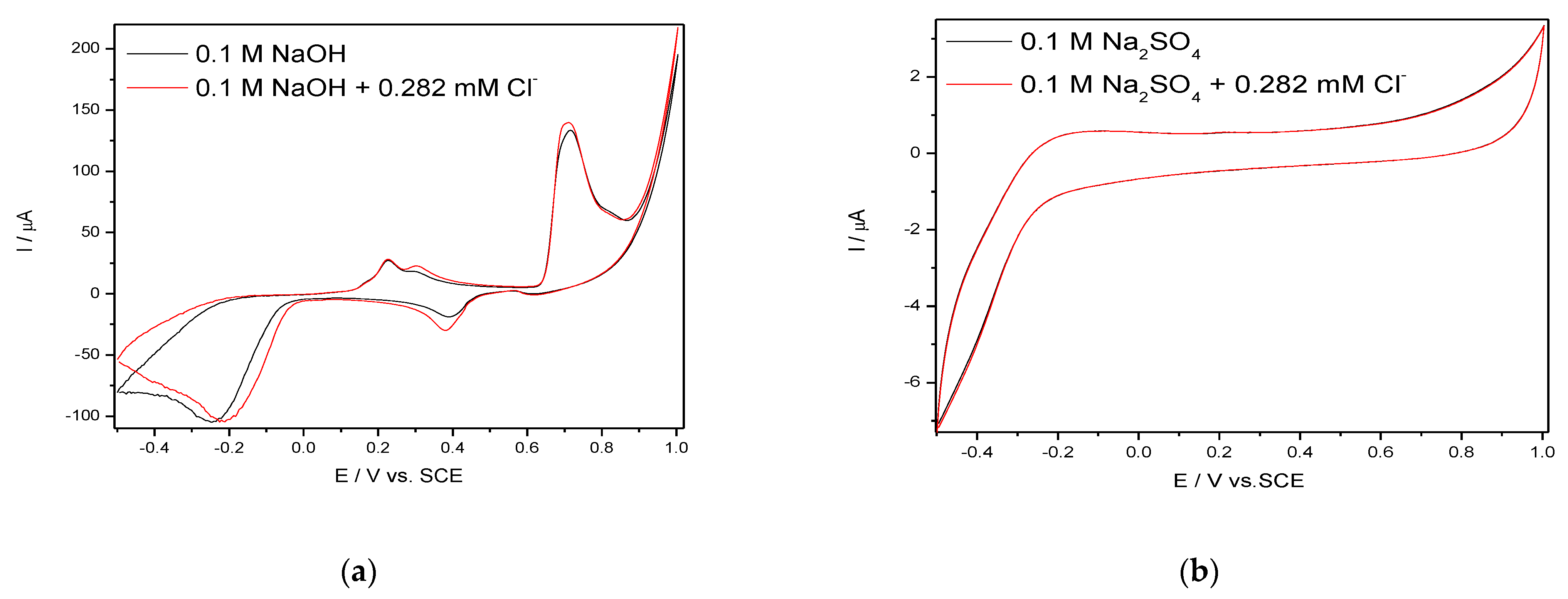
3.3. Silver/Graphene Oxide/Boron-Doped Diamond(Ag/GO/BDD)Characterization and Testing in TC Detection
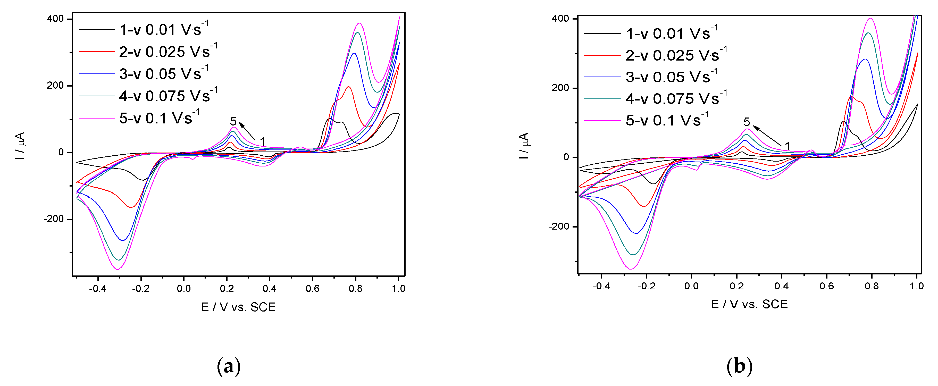
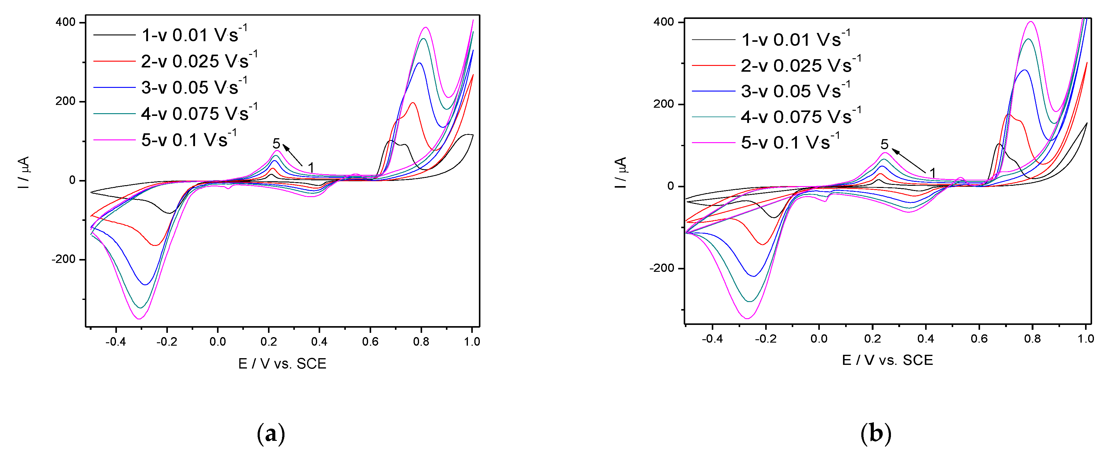
3.3.1. Influence of the Scan Rate
3.3.2. Testing Ag/GO/BDD Electrode for TC Detection in Tap Water Using Cyclic Voltammetry(CV)
3.3.3. Differential-Pulsed Voltammetry (DPV) and Square-Wave Voltammetry (SWV) for TC Detection
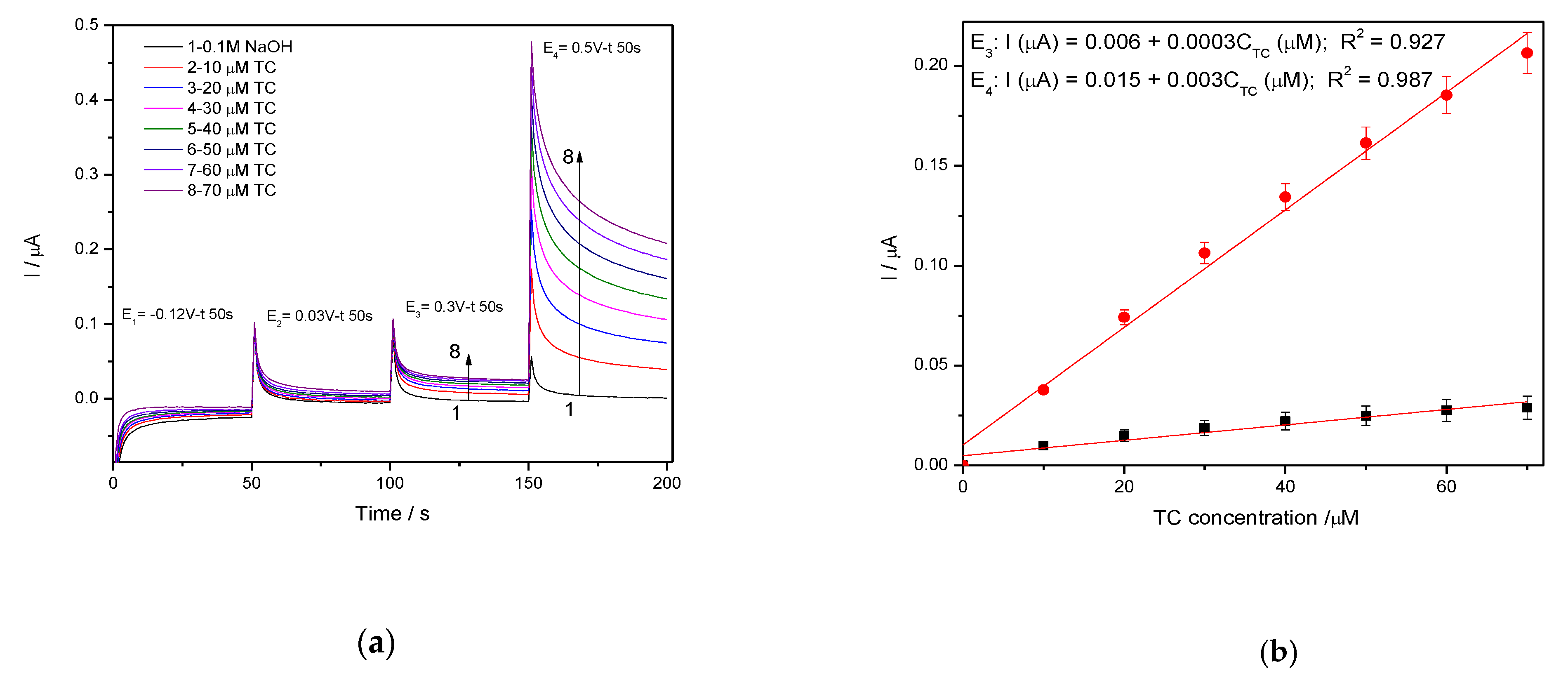
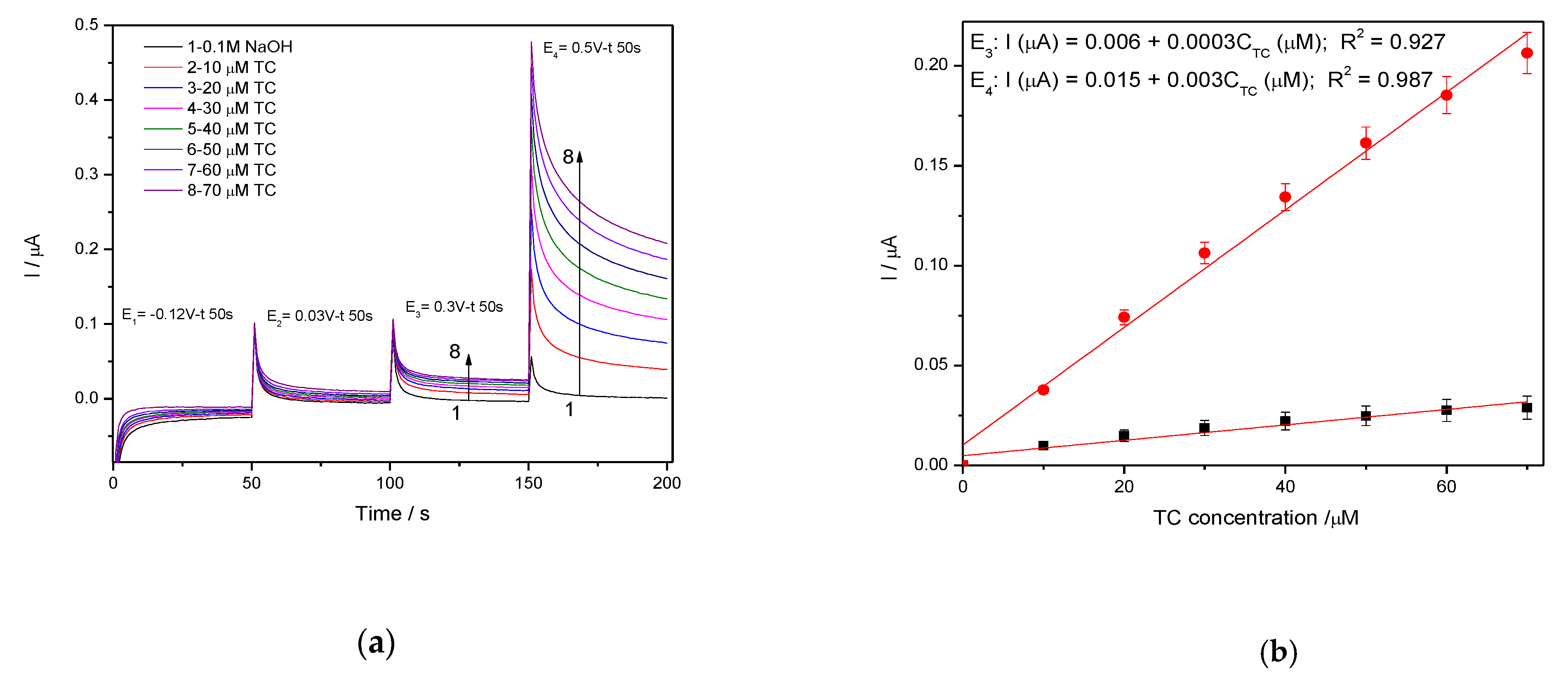
3.3.4. Chrono and Multiple-Pulsed Amperometry for Tetracycline Detection
4. Conclusions
Author Contributions
Funding
Institutional Review Board Statement
Informed Consent Statement
Data Availability Statement
Acknowledgments
Conflicts of Interest
References
- Swapna Priya, S.; Radha, K.V. A review on the adsorption studies of tetracycline onto various types of adsorbents. Chem. Eng. Commun. 2017, 204, 821–839. [Google Scholar] [CrossRef]
- Daghrir, R.; Drogui, P. Tetracycline antibiotics in the environment: A review. Environ. Chem. Lett. 2013, 11, 209–227. [Google Scholar] [CrossRef]
- Devkota, L.; Nguyen, L.T.; Vu, T.T.; Piro, B. Electrochemical determination of tetracycline using AuNP-coated molecularly imprinted overoxidized polypyrrole sensing interface. Electrochim. Acta 2018, 270, 535–542. [Google Scholar] [CrossRef]
- Zhou, Y.; Yang, Q.; Zhang, D.; Gan, N.; Li, Q.; Cuan, J. Detection and removal of antibiotic tetracycline in water with a highly stable luminescent MOF. Sens. Actuators B Chem. 2018, 262, 137–143. [Google Scholar] [CrossRef]
- Xu, L.; Zhang, H.; Xiong, P.; Zhu, O.; Liao, C.; Jiang, G. Occurrence, fate, and risk assessment of typical tetracycline antibiotics in the aquatic environment: A review. Sci. Total Environ. 2021, 753, 141975. [Google Scholar] [CrossRef] [PubMed]
- Kumunda, C.; Adekunle, S.A.; Mamba, B.B.; Hlongwa, N.W.; Nkambule, T.T.I. Electrochemical detection of environmental pollutants based on graphene derivatives: A review. Front Mater. 2021, 7, 616787. [Google Scholar] [CrossRef]
- Teodosiu, C.; Gilca, A.F.; Barjoveanu, G.; Fiore, S. Emerging pollutants removal through advanced drinking water treatment: A review on processes and environmental performances assessment. J. Clean. Prod. 2018, 197, 1210–1221. [Google Scholar] [CrossRef]
- Silwana, B.; Van Der Horst, C.; Iwuoha, E.; Somerset, V. A brief review on recent developments of electrochemical sensors in environmental application for PGMs. J. Environ. Sci. Health A Tox. Hazard Subst. Environ. Eng. 2016, 51, 1233–1247. [Google Scholar] [CrossRef] [PubMed]
- Bansod, B.; Kumar, T.; Thakur, R.; Rana, S.; Singh, I. A review on various electrochemical techniques for heavy metal ions detection with different sensing platforms. Biosens. Bioelectron. 2017, 94, 443–455. [Google Scholar] [CrossRef]
- Smith, A.T.; Anna, M.L.C.; Songshan, Z.; Bin, L.; Luyi, S. Synthesis, properties, and applications of graphene oxide/reduced graphene oxide and their nanocomposites. Nano Mater. Sci. 2019, 1, 31–47. [Google Scholar] [CrossRef]
- Wong, A.; Scontri, M.; Materon, E.M.; Lanza, M.R.V.; Sotomayor, M.D.P.T. Development and application of an electrochemical sensor modified with multi-walled carbon nanotubes and graphene oxide for the sensitive and selective detection of tetracycline. J. Electroanal. Chem. 2015, 757, 250–257. [Google Scholar] [CrossRef]
- Osikoya, A.O.; Govender, P.P. Electrochemical detection of tetracycline on highly sensitive benzene sourced cvd graphene-gold nanoparticles nanointerfaces. Electroanalysis 2020, 32, 1–10. [Google Scholar] [CrossRef]
- Li, Z.; Liu, C.; Sarpong, V.; Gu, Z. Multisegment nanowire/nanoparticle hybrid arrays as electrochemical biosensors for simultaneous detection of antibiotics. Biosens. Bioelectron. 2019, 126, 632–639. [Google Scholar] [CrossRef] [PubMed]
- Hang, T.; Xiao, S.; Cheng, Y.; Li, X.; Guo, C.; Gen, H.; Li, B.; Yang, C.; Chen, H.; Liu, F.; et al. Hierarchical graphene/nanorods-based H2O2 electrochemical sensor with self-cleaning and anti-biofouling properties. Sens. Actuators B Chem. 2019, 289, 15–23. [Google Scholar] [CrossRef]
- Lee, C.S.; Su, H.; Kim, T.H. One-step electrochemical fabrication of reduced graphene oxide/gold nanoparticles nanocomposite-modified electrode for simultaneous detection of dopamine, ascorbic acid, and uric acid. Nanomaterials 2018, 8, 112. [Google Scholar] [CrossRef]
- He, Q.; Tian, Y.; Wu, Y.; Liu, J.; Li, G.; Deng, P. Electrochemical sensor for rapid and sensitive detection of tryptophan by a Cu2O nanoparticles-coated reduced graphene oxide nanocomposite. Biomolecules 2019, 9, 176. [Google Scholar] [CrossRef]
- Salih, E.; Mekawy, M.; Hassan, R.Y.A. Synthesis, characterization and electrochemical-sensor applications of zinc oxide/graphene oxide nanocomposite. J. Nanostruct. Chem. 2016, 6, 137–144. [Google Scholar] [CrossRef]
- Krishnan, S.K.; Singh, E.; Singh, P.; Meyyappan, M.; Singh Nalwa, H. A review on graphene-based nanocomposites for electrochemical and fluorescent biosensors. RSC Adv. 2019, 9, 8778–8781. [Google Scholar] [CrossRef]
- Jerome, R.; Sundramoorthy, A.K. Preparation of hexagonal boron nitride doped graphene film modified sensor for selective electrochemical detection of nicotine in tobacco sample. Anal. Chim. Acta 2020, 1132, 110–120. [Google Scholar] [CrossRef]
- Islam, R.; Tran Le Luu, H.; Kuss, S. Review—Electrochemical approaches and advances towards the detection of drug resistance. J. Electrochem. Soc. 2020, 167, 45501. [Google Scholar] [CrossRef]
- Guo, G.; Zhao, F.; Xiao, F.; Zeng, B. Voltammetric determination of tetracycline by using multi-wall carbon nanotube—Ionic liquid film coated glassy carbon electrode. Int. J. Electrochem. Sci. 2009, 4, 1365–1372. [Google Scholar]
- Ardelean, M.; Pode, R.; Schoonman, J.; Pop, A.; Manea, F. Fast simultaneous electrochemical detection of tetracycline and fluoxetine in water. WIT Trans. Ecol. Environ. 2017, 216, 213–220. [Google Scholar] [CrossRef]
- Taghdisi, S.M.; Danesh, N.M.; Ramezani, M.; Abnous, K. A novel M—Shape electrochemical aptasensor for ultrasensitive detection of tetracyclines. Biosens. Bioelectron. 2016, 85, 509–514. [Google Scholar] [CrossRef] [PubMed]
- Dumitru, R.; Manea, F.; Lupa, L.; Pacurariu, C.; Ianculescu, A.; Baciu, A.; Negrea, S. Synthesis, characterization of nanosized CoAl2O4 and its electrocatalytic activity for enhanced sensing application. J. Therm. Anal. Calorim. 2017, 128, 1305–1312. [Google Scholar] [CrossRef]
- Palisoc, S.; Gene De Leon, P.; Alzona, A.; Racines, L.; Natividad, M. Highly sensitive determination of tetracycline in chicken meat and eggs using AuNP/MWCNT-modified glassy carbon electrodes. Heliyon 2019, 5, e02147. [Google Scholar] [CrossRef] [PubMed]
- Pop, A.; Lung, S.; Orha, C.; Manea, F. Silver/graphene-modified boron doped diamond electrode for selective detection of carbaryl and paraquat from water. Int. J. Electrochem. Sci. 2018, 13, 2651–2660. [Google Scholar] [CrossRef]
- Konopka, S.J.; McDuffie, B. Diffusion coefficients of ferri- and ferrocyanide ions in aqueous media, using twin-electrode thin-layer electrochemistry. Anal. Chem. 1970, 42, 1741–1746. [Google Scholar] [CrossRef]
- Abd El Rehim, S.S.; Hassan, H.H.; Ibrahim, M.A.M.; Amin, M.A. Electrochemical behaviour of a silver electrode in NaOH solutions. Mon. Chem. 1998, 129, 1103–1117. [Google Scholar] [CrossRef]
- Kushikawa, T.R.; Silva, R.M.; Angelo, A.C.D.; Teixeira, M.F.S. Construction of an electrochemical sensing platform based onplatinum nanoparticles supported on carbon for tetracyclinedetermination. Sens. Actuators B Chem. 2016, 228, 207–213. [Google Scholar] [CrossRef]
- Wang, H.; Zhao, H.; Quan, X.; Chen, S. Electrochemical determination of tetracycline using molecularly imprinted polymer modified carbon nanotube-gold nanoparticles electrode. Electroanalysis 2011, 23, 1863–1869. [Google Scholar] [CrossRef]
- Wang, J. Analytical Electrochemistry, 2nd ed.; Wiley: Hoboken, NJ, USA, 2000; pp. 68–74. [Google Scholar]
- Calixto, M.F.C.; Cervini, P.; Cavalheiro, P.E.T.G. Determination of tetracycline in environmental water samples at a graphite-polyurethane composite electrode. J. Braz. Chem. Soc. 2012, 23, 938–943. [Google Scholar] [CrossRef]
- Vega, D.; Agui, L.; Gonzalez-Cortes, A.; Yanez-Sedeno, P.; Pingarron, J.M. Voltammetry and amperometric detection of tetracyclines at multi-wall carbon nanotube modified electrodes. Anal. Bioanal. Chem. 2007, 389, 951–958. [Google Scholar] [CrossRef] [PubMed]















| Electrode | Apparent Diffusion Coefficient ·106/cm2·s−1 | Electroactive Surface Area/cm2 |
|---|---|---|
| BDD | 1.54 | 0.037 |
| GO/BDD | 1.60 | 0.038 |
| Ag/BDD | 1.91 | 0.041 |
| Ag/GO/BDD | 2.50 | 0.045 |
| Electrode Type | Potential Range | Edet (V/SCE) | Sensitivity (µA·µM−1·cm−2) |
|---|---|---|---|
| BDD | Anodic | +0.700 | 0.085 |
| GO/BDD | Anodic | +0.700 | 0.076 |
| Ag/BDD | Anodic | +0.285 | 3.0 |
| +0.550 | 1.03 | ||
| Ag/GO/BDD | Anodic | +0.296 | 3.17 |
| +0.550 | 2.86 | ||
| Cathodic | +0.039 | 2.16 |
| Operating Conditions | Electroanalytical Performance | |||
|---|---|---|---|---|
| Potential Range/V | Preconditioning | Edet (V/SCE) | Sensitivity (µA/µM·cm−2) | Lowest Limit of Detection, LOD (µM) |
| −0.500 → +1.00 | - | +0.300 | 8.01 | 0.224 |
| +0.640 | 15.0 | 0.139 | ||
| −0.350 → +0.850 | - | +0.260 | 6.77 | 0.221 |
| −0.350 → +0.850 | +1.00 V for 60s | +0.220 | 3.30 | 1.41 |
| +0.566 | 1.74 | 0.120 | ||
| Operating Conditions | Electroanalytical Performance | |||
|---|---|---|---|---|
| Supporting Electrolyte | MA (mV)/ SP (mV) | Edet (V/SCE) | Sensitivity (µA/µM·cm−2) | Lowest Limit of Detection, LOD (µM) |
| 0.1 M NaOH | 200/10 | +0.766 | 27.9 | 0.101 |
| 200/5 | +0.750 | 46.6 | 0.035 | |
| 0.1 M Na2SO4 * | 100/10 | +0.436 | 2.47 | 0.623 |
| +0.670 | 8.30 | 0.155 | ||
| Supporting Electrolyte | Technique | Conditions | Edet (V/SCE) | Sensitivity (µA·µM·cm−2) | R2 | LOD 1 (µM) | LQ 2 (µM) | RSD 3 (%) |
|---|---|---|---|---|---|---|---|---|
| 0.1 M NaOH | CV | v = 0.05 V·s−1 | +0.296 | 3.17 | 0.990 | 1.22 | 4.08 | 3.15 |
| +0.550 | 2.86 | 0.966 | 1.10 | 3.68 | 4.71 | |||
| −0.039 | 2.16 | 0.908 | 0.100 | 0.330 | 1.84 | |||
| DPV | SP 10 mV, | +0.300 | 8.01 | 0.988 | 0.224 | 0.748 | 2.58 | |
| MA 100 mV | +0.640 | 15.0 | 0.918 | 0.013 | 0.464 | 0.768 | ||
| SWV | SP 5 mV, MA 200 mV, f 10 Hz | +0.750 | 46.6 | 0.969 | 0.005 | 0.017 | 0.135 | |
| CA | 4 levels | +0.300 | 0.004 | 0.927 | 0.567 | 1.89 | 6.25 | |
| +0.500 | 0.043 | 0.987 | 0.500 | 1.770 | 9.25 | |||
| MPA | t 0.05 s | −0.150 | 0.643 | 0.979 | 0.670 | 2.22 | 0.100 | |
| t 0.05 s | +0.300 | 2.59 | 0.972 | 0.160 | 0.56 | 0.126 | ||
| t 0.05 s | +0.300 | 0.343 | 0.951 | 1.47 | 4.91 | 0.145 | ||
| t 0.05 s | +1.00 | 0.714 | 0.963 | 1.36 | 4.54 | 0.158 | ||
| 0.1 M Na2SO4 | CV | v = 0.05 V·s−1 | +0.550 | 1.24 | 0.997 | 1.05 | 3.51 | 4.59 |
| +0.830 | 4.34 | 0.999 | 0.536 | 1.79 | 3.79 | |||
| DPV | SP 10 mV, | +0.433 | 3.01 | 0.990 | 0.350 | 1.17 | 0.797 | |
| MA 100 mV | +0.650 | 5.80 | 0.955 | 0.216 | 0.722 | 0.763 | ||
| SWV | SP 10 mV, MA 100 mV, f 10 Hz | +0.436 | 2.47 | 0.982 | 0.423 | 2.08 | 0.483 | |
| +0.670 | 8.30 | 0.964 | 0.155 | 0.516 | 0.368 | |||
| SWV water tap | SP 10 mV, MA 100 mV, f 10 Hz | +0.436 | 2.50 | 0.980 | 0.194 | 0.640 | 0.297 | |
| +0.670 | 8.24 | 0.975 | 0.230 | 0.768 | 0.709 | |||
| MPA | t 0.05 s t 0.05 s | +0.3V | 0.060 | 0.972 | 1.89 | 6.29 | 0.260 | |
| +1V | 0.100 | 0.980 | 2.45 | 8.16 | 0.716 |
| Modified Electrode | LOD (µM) | Reference |
|---|---|---|
| Screen-printed carbon electrodes modified with imprinted overoxidized polypyrrole (MIOPPY) and gold nanoparticles (AuNP) | 0.650 | [3] |
| Carbon paste electrode modified with a combination of multiwalled carbon nanotubes functionalized with carboxyl groups | 0.360 | [11] |
| Benzene sourced graphene-gold nanoparticle sensor | 0.160 | [12] |
| Multisegment nanoparticles | 15.2 | [13] |
| Reduced graphene oxide and magnetite nanoparticles | 0.585 | [23] |
| Boron-doped diamond electrode modified with CoAl2O4 | 0.500 | [24] |
| Electrodeposited carbon nanotubes on gold coated glassy carbon electrode | 0.0945 | [25] |
| Graphite-polyurethane composite electrode | 2.80 | [32] |
| Multi-wall carbon nanotube modified glassy carbon electrode (MWCNT-GCE) | 0.810 | [33] |
| Silver decorated graphene oxide reduced onto boron-doped diamond (Ag/GO/BDD) | 0.005 | This work |
Publisher’s Note: MDPI stays neutral with regard to jurisdictional claims in published maps and institutional affiliations. |
© 2021 by the authors. Licensee MDPI, Basel, Switzerland. This article is an open access article distributed under the terms and conditions of the Creative Commons Attribution (CC BY) license (https://creativecommons.org/licenses/by/4.0/).
Share and Cite
Negrea, S.; Diaconu, L.A.; Nicorescu, V.; Motoc, S.; Orha, C.; Manea, F. Graphene Oxide Electroreduced onto Boron-Doped Diamond and Electrodecorated with Silver (Ag/GO/BDD) Electrode for Tetracycline Detection in Aqueous Solution. Nanomaterials 2021, 11, 1566. https://doi.org/10.3390/nano11061566
Negrea S, Diaconu LA, Nicorescu V, Motoc S, Orha C, Manea F. Graphene Oxide Electroreduced onto Boron-Doped Diamond and Electrodecorated with Silver (Ag/GO/BDD) Electrode for Tetracycline Detection in Aqueous Solution. Nanomaterials. 2021; 11(6):1566. https://doi.org/10.3390/nano11061566
Chicago/Turabian StyleNegrea, Sorina, Lidia Ani Diaconu, Valeria Nicorescu, Sorina Motoc (m. Ilies), Corina Orha, and Florica Manea. 2021. "Graphene Oxide Electroreduced onto Boron-Doped Diamond and Electrodecorated with Silver (Ag/GO/BDD) Electrode for Tetracycline Detection in Aqueous Solution" Nanomaterials 11, no. 6: 1566. https://doi.org/10.3390/nano11061566
APA StyleNegrea, S., Diaconu, L. A., Nicorescu, V., Motoc, S., Orha, C., & Manea, F. (2021). Graphene Oxide Electroreduced onto Boron-Doped Diamond and Electrodecorated with Silver (Ag/GO/BDD) Electrode for Tetracycline Detection in Aqueous Solution. Nanomaterials, 11(6), 1566. https://doi.org/10.3390/nano11061566

