1D/2D van der Waals Heterojunctions Composed of Carbon Nanotubes and a GeSe Monolayer
Abstract
1. Introduction
2. Computational Method and Model
3. Results and Discussion
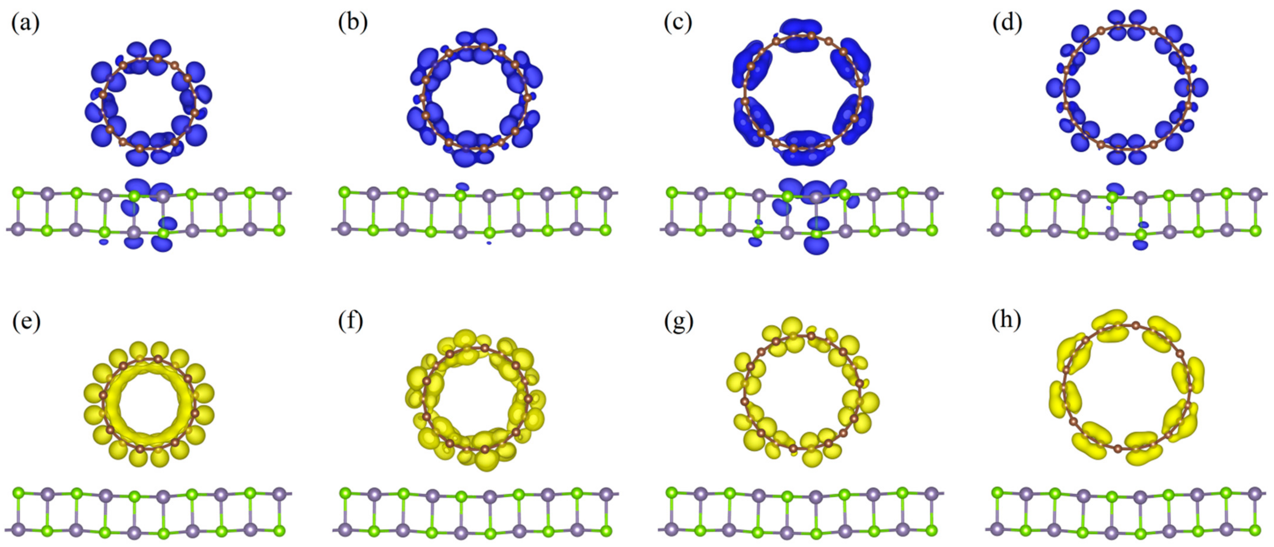
3.1. Configurations and Stability of 1D/2D Heterostructures
3.2. Band Structure and Density of States
3.3. Optical Absorption Properties
4. Conclusions
Author Contributions
Funding
Data Availability Statement
Conflicts of Interest
References
- Iijima, S.; Ichihashi, T. Single-shell carbon nanotubes of 1-nm diameter. Nat. Cell Biol. 1993, 363, 603–605. [Google Scholar] [CrossRef]
- Saito, R.; Dresselhaus, G.; Dresselhaus, M.S. Physical Properties of Carbon Nanotubes; World Scientific: Singapore, 1998. [Google Scholar]
- Ajayan, P.M.; Zhou, O.Z. Applications of carbon nanotubes. Carbon Nanotubes 2001, 80, 391–425. [Google Scholar]
- Endo, M.; Strano, M.S.; Ajayan, P.M. Potential Applications of Carbon Nanotubes. Carbon Nanotubes 2008, 111, 13–62. [Google Scholar]
- Zólyomi, V.; Kürti, J. First-principles calculations for the electronic band structures of small diameter single-wall carbon nanotubes. Phys. Rev. B 2004, 70, 085403. [Google Scholar] [CrossRef]
- Wilder, J.W.G.; Venema, L.C.; Rinzler, A.G.; Smalley, R.E.; Dekker, C. Electronic structure of atomically resolved carbon nanotubes. Nat. Cell Biol. 1998, 391, 59–62. [Google Scholar] [CrossRef]
- Cabria, I.; Mintmire, J.; White, C.T. Metallic and semiconducting narrow carbon nanotubes. Phys. Rev. B 2003, 67, 121406. [Google Scholar] [CrossRef]
- Blase, X.; Benedict, L.X.; Shirley, E.L.; Louie, S.G. Hybridization Effects and Metallicity in Small Radius Carbon Nanotubes. Phys. Rev. Lett. 1994, 72, 1878–1881. [Google Scholar] [CrossRef] [PubMed]
- Gülseren, O.; Yildirim, T.; Ciraci, S. Systematic ab initio study of curvature effects in carbon nanotubes. Phys. Rev. B 2002, 65, 153405. [Google Scholar] [CrossRef]
- Kanamitsu, K.; Saito, S. Geometries, Electronic Properties, and Energetics of Isolated Single Walled Carbon Nanotubes. J. Phys. Soc. Jpn. 2002, 71, 483–486. [Google Scholar] [CrossRef]
- Sun, G.; Jeno, K.; Miklos, K.; Ray, H. Variations of the Geometries and Band Gaps of Single-Walled Carbon Nanotubes and the Effect of Charge Injection. J. Phys. Chem. B 2003, 107, 6924–6931. [Google Scholar] [CrossRef]
- Li, Z.M.; Tang, Z.K.; Liu, H.J.; Wang, N.; Chan, C.T.; Saito, R.; Okada, S.; Li, G.D.; Chen, J.S.; Nagasawa, N.; et al. Polarized Absorption Spectra of Single-Walled 4 Å Carbon Nanotubes Aligned in Channels of an AlPO4-5 Single Crystal. Phys. Rev. Lett. 2001, 87, 127401. [Google Scholar] [CrossRef]
- Liu, H.J.; Chan, C.T. Properties of 4 Å carbon nanotubes from first-principles calculations. Phys. Rev. B 2002, 66, 115416. [Google Scholar] [CrossRef]
- Machon, M.; Reich, S.; Thomsen, C. Ab initio calculations of the optical properties of 4-Å-diameter single-walled nanotubes. Phys. Rev. B 2002, 66, 155410. [Google Scholar] [CrossRef]
- Kürti, J.; Zólyomi, V.; Kertesz, M.; Sun, G.; Baughman, R.; Kuzmany, H. Individualities and average behavior in the physical properties of small diameter single-walled carbon nanotubes. Carbon 2004, 42, 971–978. [Google Scholar] [CrossRef]
- Xue, D.-J.; Liu, S.-C.; Dai, C.-M.; Chen, S.; He, C.; Zhao, L.; Hu, J.-S.; Wan, L.-J. GeSe Thin-Film Solar Cells Fabricated by Self-Regulated Rapid Thermal Sublimation. J. Am. Chem. Soc. 2017, 139, 958–965. [Google Scholar] [CrossRef] [PubMed]
- Hsueh, H.C.; Vass, H.; Clark, S.J.; Ackland, G.J.; Crain, J. High-pressure effects in the layered semiconductor germanium selenide. Phys. Rev. B 1995, 51, 16750–16760. [Google Scholar] [CrossRef]
- Makinistian, L.; Albanesi, E. Ab initio calculations of the electronic and optical properties of germanium selenide. J. Phys. Condens. Matter 2007, 19, 186211–186234. [Google Scholar] [CrossRef]
- Zhao, H.; Mao, Y.; Mao, X.; Shi, X.; Xu, C.; Wang, C.; Zhang, S.; Zhou, D. Band Structure and Photoelectric Characterization of GeSe Monolayers. Adv. Funct. Mater. 2017, 28, 1704855–1704864. [Google Scholar] [CrossRef]
- Mao, Y.; Xu, C.; Yuan, J.; Zhao, H. Effect of stacking order and in-plane strain on the electronic properties of bilayer GeSe. Phys. Chem. Chem. Phys. 2018, 20, 6929–6935. [Google Scholar] [CrossRef] [PubMed]
- Rohr, F.O.V.; Ji, H.W.; Cevallos, F.A.; Gao, T.; Ong, N.P.; Cava, R.J. High-Pressure Synthesis and Characterization of β-GeSe—A Six-Membered-Ring Semiconductor in an Uncommon Boat Conformation. J. Am. Chem. Soc. 2017, 139, 2771–2777. [Google Scholar] [CrossRef] [PubMed]
- Mao, Y.; Long, L.; Yuan, J.; Zhong, J.; Zhao, H. Toxic gases molecules (NH3, SO2 and NO2) adsorption on GeSe monolayer with point defects engineering. Chem. Phys. Lett. 2018, 706, 501–508. [Google Scholar] [CrossRef]
- Mao, Y.; Xu, C.; Yuan, J.; Zhao, H. A two-dimensional GeSe/SnSe heterostructure for high performance thin-film solar cells. J. Mater. Chem. A 2019, 7, 11265–11271. [Google Scholar] [CrossRef]
- Liu, Y.; Huang, Y.; Duan, X. Van der Waals integration before and beyond two-dimensional materials. Nat. Cell Biol. 2019, 567, 323–333. [Google Scholar] [CrossRef] [PubMed]
- Xia, C.; Du, J.; Xiong, W.; Jia, Y.; Wei, Z.; Li, J. A type-II GeSe/SnS heterobilayer with a suitable direct gap, superior optical absorption and broad spectrum for photovoltaic applications. J. Mater. Chem. A 2017, 5, 13400–13410. [Google Scholar] [CrossRef]
- Jiang, S.; Cheng, R.; Wang, X.; Xue, T.; Liu, Y.; Nel, A.; Huang, Y.; Duan, X. Real-time electrical detection of nitric oxide in biological systems with sub-nanomolar sensitivity. Nat. Commun. 2013, 4, 2225. [Google Scholar] [CrossRef]
- Jia, C.; Famili, M.; Carlotti, M.; Liu, Y.; Wang, P.; Grace, I.; Feng, Z.; Wang, Y.; Zhao, Z.; Ding, M.; et al. Quantum interference mediated vertical molecular tunneling transistors. Sci. Adv. 2018, 4, eaat8237. [Google Scholar] [CrossRef]
- Bediako, D.K.; Rezaee, M.; Yoo, H.; Larson, D.; Zhao, S.Y.F.; Taniguchi, T.; Watanabe, K.; Brower-Thomas, T.L.; Kaxiras, E.; Kim, P. Heterointerface effects in the electrointercalation of van der Waals heterostructures. Nat. Cell Biol. 2018, 558, 425–429. [Google Scholar] [CrossRef]
- Liao, L.; Lin, Y.-C.; Bao, M.; Cheng, R.; Bai, J.; Liu, Y.; Qu, Y.; Wang, K.L.; Huang, Y.; Duan, X. High-speed graphene transistors with a self-aligned nanowire gate. Nat. Cell Biol. 2010, 467, 305–308. [Google Scholar] [CrossRef]
- Liao, L.; Bai, J.; Cheng, R.; Lin, Y.-C.; Jiang, S.; Qu, Y.; Huang, Y.; Duan, X. Sub-100 nm Channel Length Graphene Transistors. Nano Lett. 2010, 10, 3952–3956. [Google Scholar] [CrossRef]
- Cheng, R.; Bai, J.; Liao, L.; Zhou, H.; Chen, Y.; Liu, L.; Lin, Y.-C.; Jiang, S.; Huang, Y.; Duan, X. High-frequency self-aligned graphene transistors with transferred gate stacks. Proc. Natl. Acad. Sci. USA 2012, 109, 11588–11592. [Google Scholar] [CrossRef]
- Cheng, R.; Jiang, S.; Chen, Y.; Liu, Y.; Weiss, N.O.; Cheng, H.-C.; Wu, H.; Huang, Y.; Duan, X. Few-layer molybdenum disulfide transistors and circuits for high-speed flexible electronics. Nat. Commun. 2014, 5, 1–9. [Google Scholar] [CrossRef]
- Kresse, G.; Hafner, J. Ab initio molecular dynamics for liquid metals. Phys. Rev. B 1995, 192, 222–229. [Google Scholar] [CrossRef]
- Kresse, G.; Furthmüller, J. Efficient iterative schemes for ab initio total-energy calculations using a plane-wave basis set. Phys. Rev. B 1996, 5, 11169–11186. [Google Scholar] [CrossRef] [PubMed]
- Ernzerhof, M.; Scuseria, G.E. Assessment of the Perdew–Burke–Ernzerhof exchange-correlation Functional. J. Chem. Phys. 1999, 110, 5029–5036. [Google Scholar] [CrossRef]
- Perdew, J.P.; Burke, K.; Ernzerhof, M. Generalized gradient approximation made simple. Phys. Rev. Lett. 1996, 77, 3865–3868. [Google Scholar] [CrossRef] [PubMed]
- Monkhorst, H.J.; Pack, J.D. Special points for Brillonin-zone integrations. Phys. Rev. B 1976, 13, 5188–5192. [Google Scholar] [CrossRef]
- Grimme, S.; Antony, J.; Ehrlich, S.; Krieg, H. A consistent and accurate ab initio parametrization of density functional dispersion correction (DFT-D) for the 94 elements H-Pu. J. Chem. Phys. 2010, 132, 154104. [Google Scholar] [CrossRef] [PubMed]
- Gajdos, M.; Hummer, K.; Kresse, G.; Uller, J.F.; Bechstedt, F. Linear optical properties in the PAW methodology. Phys. Rev. B 2006, 73, 045112. [Google Scholar] [CrossRef]
- Zhang, Z.; Huang, W.-Q.; Xie, Z.; Hu, W.; Peng, P.; Huang, G.-F. Noncovalent Functionalization of Monolayer MoS2 with Carbon Nanotubes: Tuning Electronic Structure and Photocatalytic Activity. J. Phys. Chem. C 2017, 121, 21921–21929. [Google Scholar] [CrossRef]
- Zhang, Z.; Cheng, M.-Q.; Chen, Q.; Wu, H.-Y.; Hu, W.; Peng, P.; Huang, G.-F.; Huang, W.-Q. Monolayer Phosphorene–Carbon Nanotube Heterostructures for Photocatalysis: Analysis by Density Functional Theory. Nanoscale Res. Lett. 2019, 14, 1–11. [Google Scholar] [CrossRef] [PubMed]
- Zhang, Z.; Huang, W.-Q.; Xie, Z.; Hu, W.; Peng, P.; Huang, G.-F. Simultaneous covalent and noncovalent carbon nanotube/Ag3PO4 hybrids: New insights into the origin of enhanced visible light photocatalytic performance. Phys. Chem. Chem. Phys. 2017, 19, 7955–7963. [Google Scholar] [CrossRef] [PubMed]
- Gomes, L.C.; Carvalho, A. Phosphorene analogues: Isoelectronic two-dimensional group-IV monochalcogenides with orthorhombic structure. Phys. Rev. B 2015, 92, 085406. [Google Scholar] [CrossRef]
- Scharber, M.C.; Mühlbacher, D.; Koppe, M.; Denk, P.; Waldauf, C.; Heeger, A.J.; Brabec, C.J. Design Rules for Donors in Bulk-Heterojunction Solar Cells—Towards 10 % Energy-Conversion Efficiency. Adv. Mater. 2006, 18, 789–794. [Google Scholar] [CrossRef]
- Dai, J.; Zeng, X.C. Bilayer Phosphorene: Effect of Stacking Order on Bandgap and Its Potential Applications in Thin-Film Solar Cells. J. Phys. Chem. Lett. 2014, 5, 1289–1293. [Google Scholar] [CrossRef] [PubMed]
- Cheng, K.; Guo, Y.; Han, N.; Jiang, X.; Zhang, J.; Ahuja, R.; Su, Y.; Zhao, J. 2D lateral heterostructures of group-III monochalcogenide: Potential photovoltaic applications. Appl. Phys. Lett. 2018, 112, 143902. [Google Scholar] [CrossRef]








| Hybrid | Diameter (Å) | Eg (eV) | Ega (eV) | Ef (eV) | d (Å) | Bader Charge (e) | |
|---|---|---|---|---|---|---|---|
| GeSe | CNT | ||||||
| CNT(5,0)/GeSe | 3.92 | 0 | 0 | −3.517 | 2.97 | −0.1098 | 0.1098 |
| CNT(6,0)/GeSe | 4.70 | 0 | 0 | −3.959 | 3.02 | −0.0490 | 0.0490 |
| CNT(7,0)/GeSe | 5.48 | 0.1746 | 0 | −4.078 | 3.02 | −0.0280 | 0.0280 |
| CNT(8,0)/GeSe | 6.27 | 0.5908 | 0.2112 | −4.273 | 3.00 | −0.0204 | 0.0204 |
| CNT(9,0)/GeSe | 7.05 | 0.1568 | 0.1643 | −4.283 | 3.02 | −0.0159 | 0.0159 |
| CNT(10,0)/GeSe | 7.83 | 0.7222 | 0.4669 | −4.513 | 3.01 | −0.0280 | 0.0280 |
| CNT(11,0)/GeSe | 8.59 | 0.9519 | 0.5924 | −4.709 | 3.01 | −0.0174 | 0.0174 |
Publisher’s Note: MDPI stays neutral with regard to jurisdictional claims in published maps and institutional affiliations. |
© 2021 by the authors. Licensee MDPI, Basel, Switzerland. This article is an open access article distributed under the terms and conditions of the Creative Commons Attribution (CC BY) license (https://creativecommons.org/licenses/by/4.0/).
Share and Cite
Mao, Y.; Guo, Z.; Yuan, J.; Sun, T. 1D/2D van der Waals Heterojunctions Composed of Carbon Nanotubes and a GeSe Monolayer. Nanomaterials 2021, 11, 1565. https://doi.org/10.3390/nano11061565
Mao Y, Guo Z, Yuan J, Sun T. 1D/2D van der Waals Heterojunctions Composed of Carbon Nanotubes and a GeSe Monolayer. Nanomaterials. 2021; 11(6):1565. https://doi.org/10.3390/nano11061565
Chicago/Turabian StyleMao, Yuliang, Zheng Guo, Jianmei Yuan, and Tao Sun. 2021. "1D/2D van der Waals Heterojunctions Composed of Carbon Nanotubes and a GeSe Monolayer" Nanomaterials 11, no. 6: 1565. https://doi.org/10.3390/nano11061565
APA StyleMao, Y., Guo, Z., Yuan, J., & Sun, T. (2021). 1D/2D van der Waals Heterojunctions Composed of Carbon Nanotubes and a GeSe Monolayer. Nanomaterials, 11(6), 1565. https://doi.org/10.3390/nano11061565
