Electrical Conductivity of Multiwall Carbon Nanotube Bundles Contacting with Metal Electrodes by Nano Manipulators inside SEM
Abstract
1. Introduction
2. Materials and Methods
3. Results and Discussion
3.1. Establishing Electrical Contact
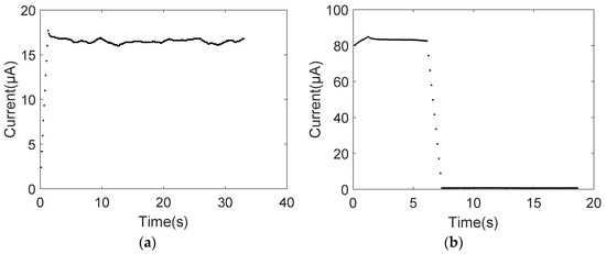
3.2. Single-Electrode Contact
3.3. Double-Electrode Contact
3.4. Molecular Dynamics Simulation
3.5. DFT Simulation
4. Conclusions
Supplementary Materials
Author Contributions
Funding
Data Availability Statement
Acknowledgments
Conflicts of Interest
References
- Hills, G.; Lau, C.; Wright, A.; Fuller, S.; Bishop, M.D.; Srimani, T.; Kanhaiya, P.; Ho, R.; Amer, A.; Stein, Y.; et al. Modern microprocessor built from complementary carbon nanotube transistors. Nat. Cell Biol. 2019, 572, 595–602. [Google Scholar] [CrossRef]
- Peng, L.-M.; Zhang, Z.; Qiu, C. Carbon nanotube digital electronics. Nat. Electron. 2019, 2, 499–505. [Google Scholar] [CrossRef]
- Liang, X.L.; Wang, S.; Duan, X.J.; Zhang, Z.Y.; Chen, Q.; Zhang, J.; Peng, L.-M. A comparative study on SWCNT and DWCNT field-effect transistors. J. Nanosci. Nanotechnol. 2007, 7, 1568–1572. [Google Scholar] [CrossRef] [PubMed]
- Zhang, Z.; Liang, X.; Wang, S.; Yao, K.; Hu, Y.; Zhu, Y.; Chen, Q.; Zhou, W.; Li, Y.; Yao, Y.; et al. Doping-Free Fabrication of Carbon Nanotube Based Ballistic CMOS Devices and Circuits. Nano Lett. 2007, 7, 3603–3607. [Google Scholar] [CrossRef]
- Zhang, Z.Y.; Wang, S.; Ding, L.; Liang, X.L.; Xu, H.L.; Shen, J.; Chen, Q.; Cui, R.L.; Li, Y.; Peng, L.-M. High-performance n-type carbon nanotube field-effect transistors with estimated sub-10-ps gate delay. Appl. Phys. Lett. 2008, 92, 133117. [Google Scholar] [CrossRef]
- Lambin, P.; Philippe, L.; Charlier, J.; Michenaud, J.; Lambin, P. Electronic band structure of multilayered carbon tubules. Comput. Mater. Sci. 1994, 2, 350–356. [Google Scholar] [CrossRef]
- Ebbesen, T.W.; Lezec, H.J.; Hiura, H.; Bennett, J.W.; Ghaemi, H.F.; Thio, T. Electrical conductivity of individual carbon nanotubes. Nature 1996, 382, 54–56. [Google Scholar] [CrossRef]
- Yu, M.; Dyer, M.J.; Skidmore, G.D.; Rohrs, H.W.; Lu, X.; Ausman, K.D.; Von Ehr, J.R.; Ruoff, R.S. Three-dimensional manipulation of carbon nanotubes under a scanning electron microscope. Nanotechnology 1999, 10, 244–252. [Google Scholar] [CrossRef]
- Fukuda, T.; Arai, F.; Dong, L. Assembly of nanodevices with carbon nanotubes through nanorobotic manipulations. Proc. IEEE 2003, 9, 1803–1818. [Google Scholar] [CrossRef]
- Tsukagoshi, K.; Watanabe, E.; Yagi, I.; Yoneya, N.; Aoyagi, Y. Multiple-layer conduction and scattering property in multi-walled carbon nanotubes. New J. Phys. 2004, 6, 3. [Google Scholar] [CrossRef]
- Collins, P.G.; Arnold, M.S.; Avouris, P. Engineering Carbon Nanotubes and Nanotube Circuits Using Elec-trical Breakdown. Science 2001, 292, 706–709. [Google Scholar] [CrossRef]
- Li, P.-J.; Zhang, W.-J.; Zhang, Q.-F.; Wu, J.-L. Nanoelectronic logic circuits with carbon nanotube transistors. Acta Phys. Sin. 2007, 56, 1054–1060. [Google Scholar] [CrossRef]
- Dong, L.; Youkey, S.; Bush, J.; Jiao, J.; Dubin, V.M.; Chebiam, R.V. Effects of local Joule heating on the reduction of contact resistance between carbon nanotubes and metal electrodes. J. Appl. Phys. 2007, 101, 024320. [Google Scholar] [CrossRef]
- Monteverde, M.; Garbarino, G.; Núñez-Regueiro, M.; Souletie, J.; Acha, C.; Jing, X.; Lu, L.; Pan, Z.; Xie, S.S.; Egger, R. Tomonaga-Luttinger Liquid and Coulomb Blockade in Multiwall Carbon Nanotubes under Pressure. Phys. Rev. Lett. 2006, 97, 176401. [Google Scholar] [CrossRef] [PubMed]
- Nieuwoudt, A.; Massoud, Y. On the Optimal Design, Performance, and Reliability of Future Carbon Nanotube-Based Interconnect Solutions. IEEE Trans. Electron. Devices 2008, 55, 2097–2110. [Google Scholar] [CrossRef]
- De Jonge, N.; Lamy, Y.; Kaiser, M. Controlled Mounting of Individual Multiwalled Carbon Nanotubes on Support Tips. Nano Lett. 2003, 3, 1621–1624. [Google Scholar] [CrossRef]
- Li, H.J.; Lu, W.G.; Li, J.J.; Bai, X.D.; Gu, C.Z. Multichannel Ballistic Transport in Multiwall Carbon Nanotubes. Phys. Rev. Lett. 2005, 95, 086601. [Google Scholar] [CrossRef]
- Asaka, K.; Karita, M.; Saito, Y. Modification of interface structure and contact resistance between a carbon nanotube and a gold electrode by local melting. Appl. Surf. Sci. 2011, 257, 2850–2853. [Google Scholar] [CrossRef]
- Madsen, D.N.; Mølhave, K.; Mateiu, R.V.; Rasmussen, A.M.; Brorson, M.; Jacobsen, C.J.H.; Bøggild, P. Soldering of Nanotubes onto Microelectrodes. Nano Lett. 2003, 3, 47–49. [Google Scholar] [CrossRef]
- Wang, Y.-Z.; Ma, L.; Yang, Q.; Geng, S.-C.; Lin, Y.-N.; Chen, T.; Sun, L.-N. Length-controllable picking method and conductivity analysis of carbon nanotubes. Acta Phys. Sin. 2020, 69, 068801. [Google Scholar] [CrossRef]
- Kong, J.; Soh, H.T.; Cassell, A.M.; Quate, C.F.; Dai, H. Synthesis of individual single-walled carbon nanotubes on patterned silicon wafers. Nat. Cell Biol. 1998, 395, 878–881. [Google Scholar] [CrossRef]
- Lee, J.-O.; Park, C.; Kim, J.-J.; Kim, J.; Park, J.W.; Yoo, K.-H. Formation of low-resistance ohmic contacts between carbon nanotube and metal electrodes by a rapid thermal annealing method. J. Phys. D Appl. Phys. 2000, 33, 1953–1956. [Google Scholar] [CrossRef]
- Woo, Y.; Duesberg, G.S.; Roth, S. Reduced contact resistance between an individual single-walled carbon nanotube and a metal electrode by a local point annealing. Nanotechnology 2007, 18, 095203. [Google Scholar] [CrossRef]
- Quan, Y.; Li, M.; Bin, Y.; Hui-Yang, D.; Tao, C.; Zhan, Y.; Li-Ning, S.; Fukuda, T. Method of picking up carbon nanotubes inside scanning electron microscope. Acta Phys. Sin. 2018, 67, 136801. [Google Scholar] [CrossRef]
- Yang, Q. Determination of Hamaker constant for CNT and AFM probe configuration inside SEM. Micro Nano Lett. 2020, 15, 883–886. [Google Scholar] [CrossRef]
- Cox, D.C.; Forrest, R.D.; Smith, P.R.; Stolojan, V.; Silva, S.R.P. Study of the current stressing in nanomanipulated three-dimensional carbon nanotube structures. Appl. Phys. Lett. 2005, 87, 33102. [Google Scholar] [CrossRef]
- Chen, Q.; Wang, S.; Peng, L.-M. Establishing Ohmic contacts forin situcurrent–voltage characteristic measurements on a carbon nanotube inside the scanning electron microscope. Nanotechnology 2006, 17, 1087–1098. [Google Scholar] [CrossRef] [PubMed][Green Version]
- Kahng, Y.H.; Choi, J.; Park, B.C.; Kim, D.-H.; Choi, J.-H.; Lyou, J.; Ahn, S.J. The role of an amorphous carbon layer on a multi-wall carbon nanotube attached atomic force microscope tip in making good electrical contact to a gold electrode. Nanotechnology 2008, 19, 195705. [Google Scholar] [CrossRef] [PubMed]
- Lan, C.; Srisungsitthisunti, P.; Amama, P.B.; Fisher, T.S.; Xu, X.; Reifenberger, R.G. Measurement of metal/carbon nanotube contact resistance by adjusting contact length using laser ablation. Nanotechnology 2008, 19, 125703. [Google Scholar] [CrossRef]
- Rykaczewski, K.; Henry, M.R.; Kim, S.-K.; Fedorov, A.G.; Kulkarni, D.; Singamaneni, S.; Tsukruk, V.V. The effect of the geometry and material properties of a carbon joint produced by electron beam induced deposition on the electrical resistance of a multiwalled carbon nanotube-to-metal contact interface. Nanotechnology 2009, 21, 035202. [Google Scholar] [CrossRef]
- Smith, P.R.; Carey, J.D.; Cox, D.C.; Forrest, R.D.; Silva, S.R.P. On the importance of the electrostatic environment for the transport properties of freestanding multiwall carbon nanotubes. Nanotechnology 2009, 20, 145202. [Google Scholar] [CrossRef]
- Cui, J.; Zhang, J.; He, X.; Mei, X.; Wang, W.; Yang, X.; Xie, H.; Yang, L.; Wang, Y. Investigating interfacial contact configuration and behavior of single-walled carbon nanotube-based nanodevice with atomistic simulations. J. Nanoparticle Res. 2017, 19, 110. [Google Scholar] [CrossRef]
- Cui, J.; Zhang, J.; Wang, X.; Theogene, B.; Wang, W.; Tohmyoh, H.; He, X.; Mei, X. Atomic-Scale Simulation of the Contact Behavior and Mechanism of the SWNT–AgNW Heterostructure. J. Phys. Chem. C 2019, 123, 19693–19703. [Google Scholar] [CrossRef]
- Xiao, S.; Liu, S.; Song, M.; Ang, N.; Zhang, H. Coupling rub-impact dynamics of double translational joints with subsidence for time-varying load in a planar mechanical system. Multibody Syst. Dyn. 2020, 48, 451–486. [Google Scholar] [CrossRef]
- Xiao, S.; Liu, S.; Wang, H.; Lin, Y.; Song, M.; Zhang, H. Nonlinear dynamics of coupling rub-impact of double translational joints with subsidence considering the flexibility of piston rod. Nonlinear Dyn. 2020, 100, 1203–1229. [Google Scholar] [CrossRef]
- Yan, K.; Xue, Q.; Xia, D.; Chen, H.; Xie, J.; Dong, M. The Core/Shell Composite Nanowires Produced by Self-Scrolling Carbon Nanotubes onto Copper Nanowires. ACS Nano 2009, 3, 2235–2240. [Google Scholar] [CrossRef]
- Yan, K.; Xue, Q.; Zheng, Q.; Xia, D.; Chen, H.; Xie, J. Radial Collapse of Single-Walled Carbon Nanotubes Induced by the Cu2O Surface. J. Phys. Chem. C 2009, 113, 3120–3126. [Google Scholar] [CrossRef]
- Rui, L.; Yuan-Zhong, H.; Hui, W. Molecular dynamics simulation on carbon nanotube bundles sandwitched between Si surfaces. Acta Phys. Sin. 2011, 60, 016106. [Google Scholar] [CrossRef]
- Wei, W.; Kai-Wang, Z.; Li-Jun, M.; Zhong-Qiu, L.; Xue-Yun, Z.; Jian-Xin, Z. Molecular dynamics simulation of the evaporation of the surface wall of multi-wall carbon nanotubes at high temperature. Acta Phys. Sin. 2010, 59, 2672–2678. [Google Scholar] [CrossRef]
- Maiti, A.; Ricca, A. Metal–nanotube interactions–binding energies and wetting properties. Chem. Phys. Lett. 2004, 395, 7–11. [Google Scholar] [CrossRef]
- Liang, W.; Zhao-Hui, Z. First-principles calculation on interaction between a semiconducting single-walled carbon nanotube and its graphite substrate. Acta Phys. Sin. 2009, 58, 7147–7150. [Google Scholar] [CrossRef]
- Buonocore, F. First-principles investigation of the interaction of gold and palladium with armchair carbon nanotube. Mol. Simul. 2010, 36, 729–735. [Google Scholar] [CrossRef]
- Zhao, H.-B.; Wang, L.; Zhang, Z.-H. Effect of palladium adsorption on the electrical transport of semiconducting carbon nanotubes. Acta Phys. Sin. 2011, 60, 087302. [Google Scholar] [CrossRef]
- Zhang, G.; Shi, Q. Impacts of image force on the Schottky barrier height at metal-carbon nanotube contacts. Appl. Phys. Lett. 2012, 100, 173104. [Google Scholar] [CrossRef]
- Zhou, X.; Zhao, C.; Chen, C.; Chen, J.; Li, Y. DFT study on adsorption of formaldehyde on pure, Pd-doped, Si-doped single-walled carbon nanotube. Appl. Surf. Sci. 2020, 525, 146595. [Google Scholar] [CrossRef]
- Yoshikawa, Y.; Akita, S.; Nakayama, Y. Barrier Modification at Contacts between Carbon Nanotube and Pt Electrode Using Well-Controlled Joule Heating. Jpn. J. Appl. Phys. 2007, 46, L359–L361. [Google Scholar] [CrossRef]
- Collins, P.G.; Hersam, M.; Arnold, M.; Martel, R.; Avouris, P. Current Saturation and Electrical Breakdown in Multiwalled Carbon Nanotubes. Phys. Rev. Lett. 2001, 86, 3128–3131. [Google Scholar] [CrossRef] [PubMed]
- Liang, X.L.; Peng, L.-M.; Chen, Q.; Che, R.C.; Xia, Y.; Xue, Z.Q.; Wu, Q.D. High-field response and direct identification of metallic and semiconducting multiwalled carbon nanotubes. Phys. Rev. B 2003, 68, 073403. [Google Scholar] [CrossRef]
- Lim, S.C.; Kim, K.S.; Lee, I.B.; Jeong, S.Y.; Cho, S.; Yoo, J.-E.; Lee, Y.H. Nanomanipulator-assisted fabrication and characterization of carbon nanotubes inside scanning electron microscope. Micron 2005, 36, 471–476. [Google Scholar] [CrossRef]
- Zhang, X.-X.; Meng, F.-S.; Tang, J.; Yang, B. DFT calculations on the adsorption of component SF6 decomposed under partial discharge onto carbon nanotubes modified by –OH. Acta Phys. Sin. 2012, 61, 156101. [Google Scholar] [CrossRef]
















Publisher’s Note: MDPI stays neutral with regard to jurisdictional claims in published maps and institutional affiliations. |
© 2021 by the authors. Licensee MDPI, Basel, Switzerland. This article is an open access article distributed under the terms and conditions of the Creative Commons Attribution (CC BY) license (https://creativecommons.org/licenses/by/4.0/).
Share and Cite
Yang, Q.; Ma, L.; Xiao, S.; Zhang, D.; Djoulde, A.; Ye, M.; Lin, Y.; Geng, S.; Li, X.; Chen, T.; et al. Electrical Conductivity of Multiwall Carbon Nanotube Bundles Contacting with Metal Electrodes by Nano Manipulators inside SEM. Nanomaterials 2021, 11, 1290. https://doi.org/10.3390/nano11051290
Yang Q, Ma L, Xiao S, Zhang D, Djoulde A, Ye M, Lin Y, Geng S, Li X, Chen T, et al. Electrical Conductivity of Multiwall Carbon Nanotube Bundles Contacting with Metal Electrodes by Nano Manipulators inside SEM. Nanomaterials. 2021; 11(5):1290. https://doi.org/10.3390/nano11051290
Chicago/Turabian StyleYang, Quan, Li Ma, Shungen Xiao, Dongxing Zhang, Aristide Djoulde, Maosheng Ye, Yini Lin, Songchao Geng, Xuan Li, Tao Chen, and et al. 2021. "Electrical Conductivity of Multiwall Carbon Nanotube Bundles Contacting with Metal Electrodes by Nano Manipulators inside SEM" Nanomaterials 11, no. 5: 1290. https://doi.org/10.3390/nano11051290
APA StyleYang, Q., Ma, L., Xiao, S., Zhang, D., Djoulde, A., Ye, M., Lin, Y., Geng, S., Li, X., Chen, T., & Sun, L. (2021). Electrical Conductivity of Multiwall Carbon Nanotube Bundles Contacting with Metal Electrodes by Nano Manipulators inside SEM. Nanomaterials, 11(5), 1290. https://doi.org/10.3390/nano11051290

