Symmetric Graphene Dielectric Nanowaveguides as Ultra-Compact Photonic Structures
Abstract
1. Introduction
2. Waveguide Structure and Methods
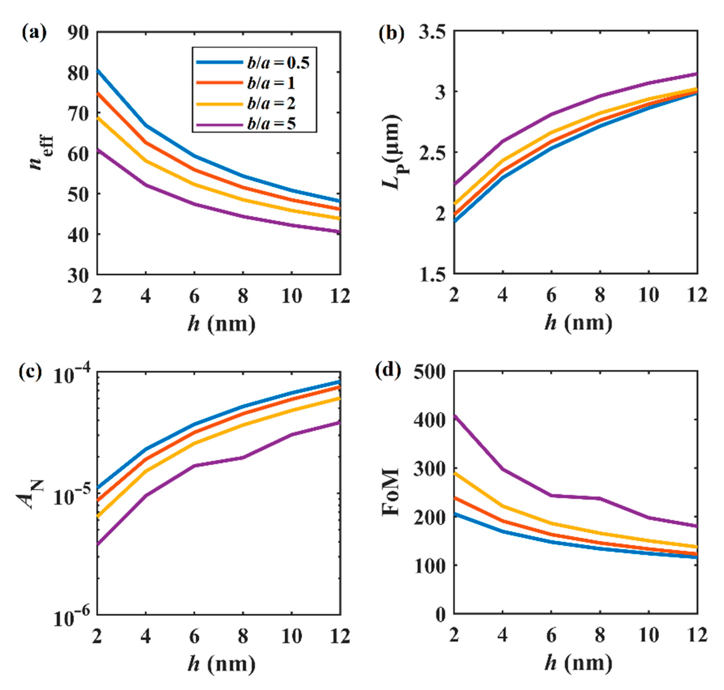
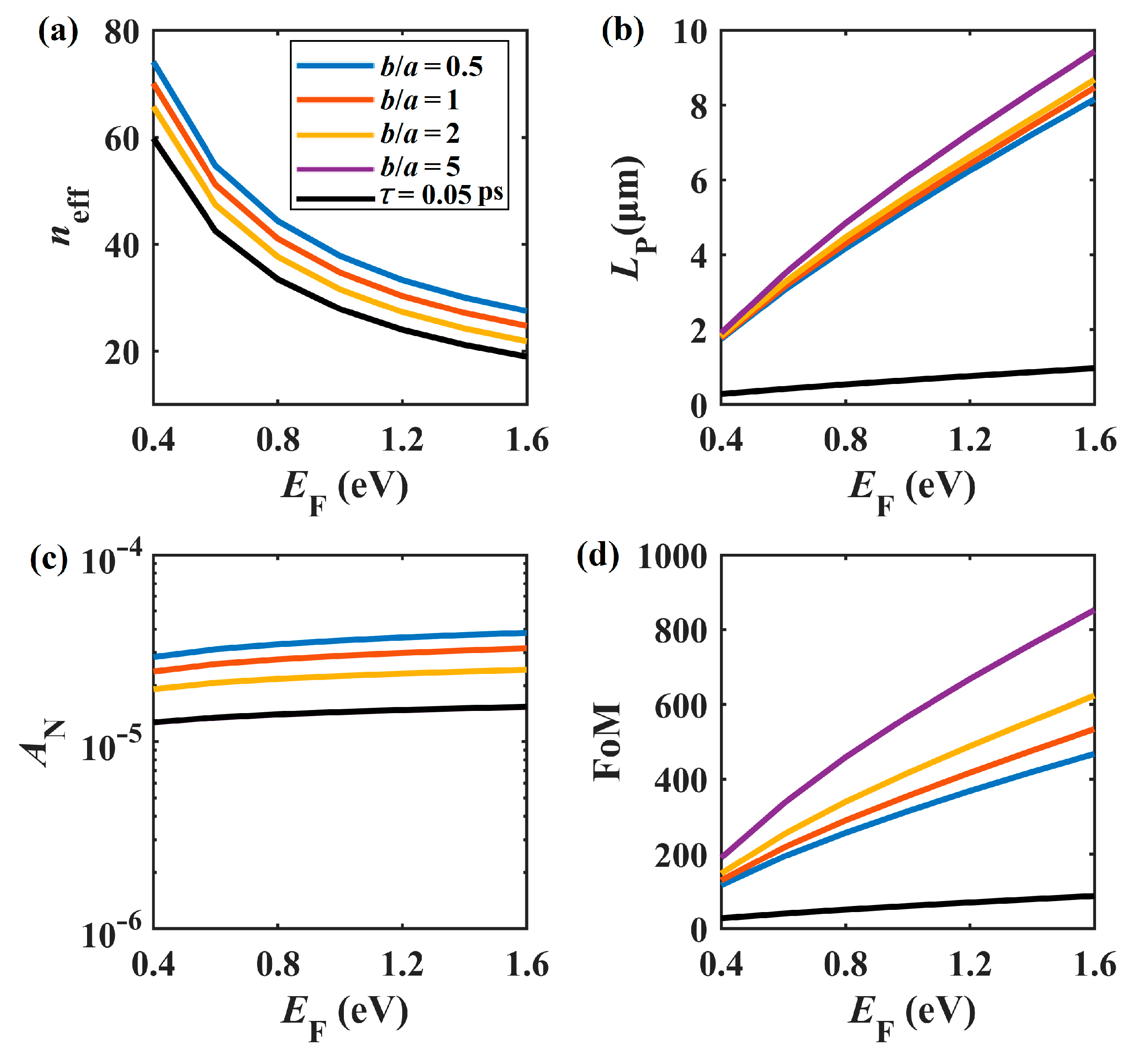
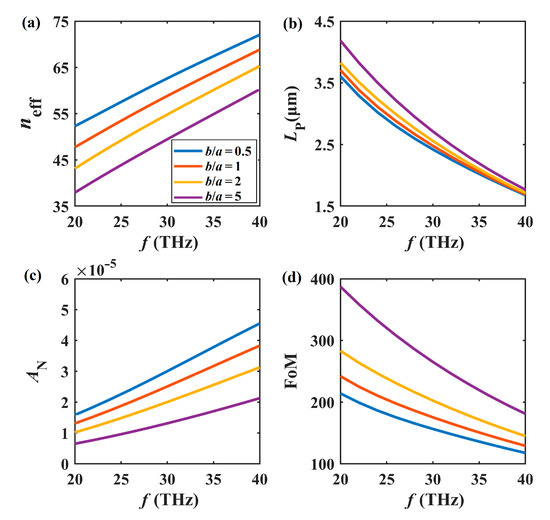
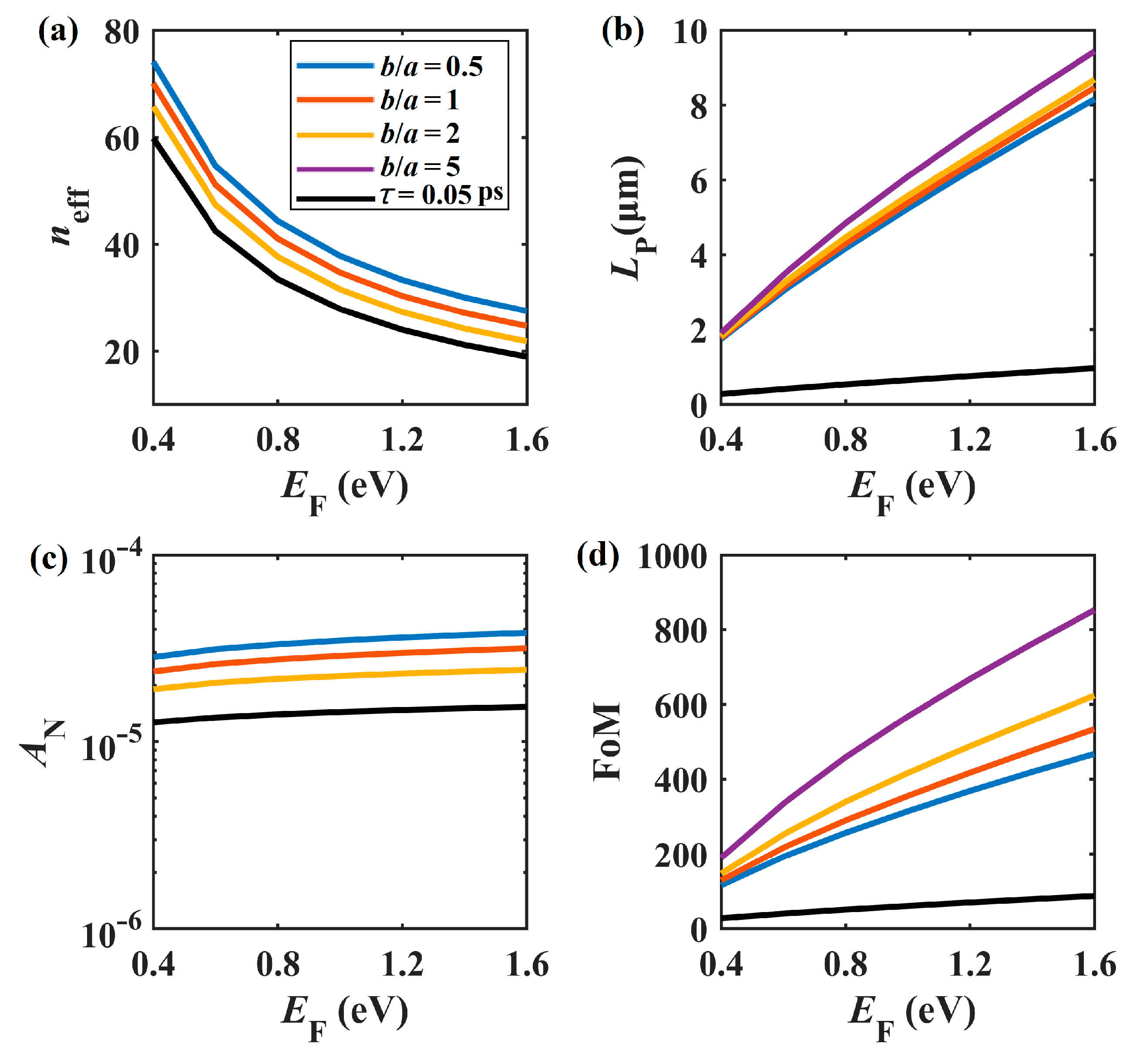
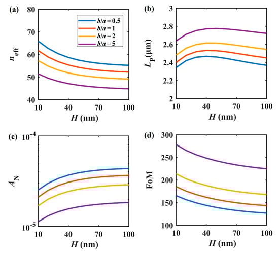
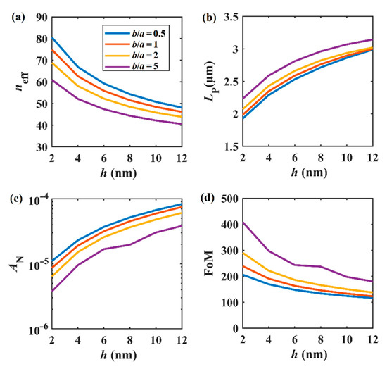
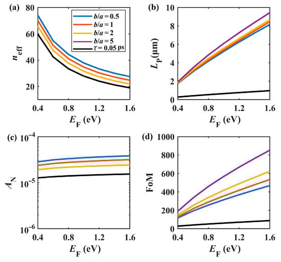
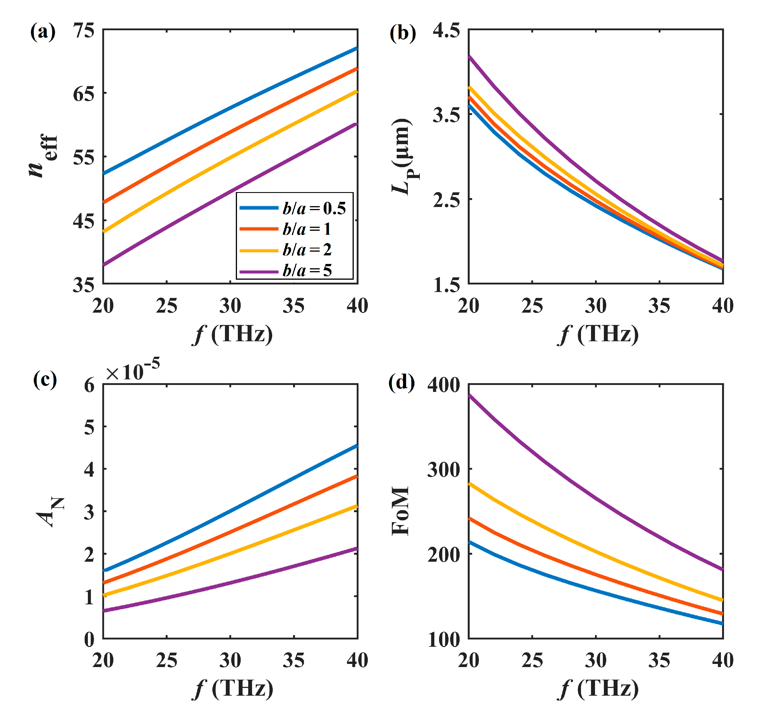
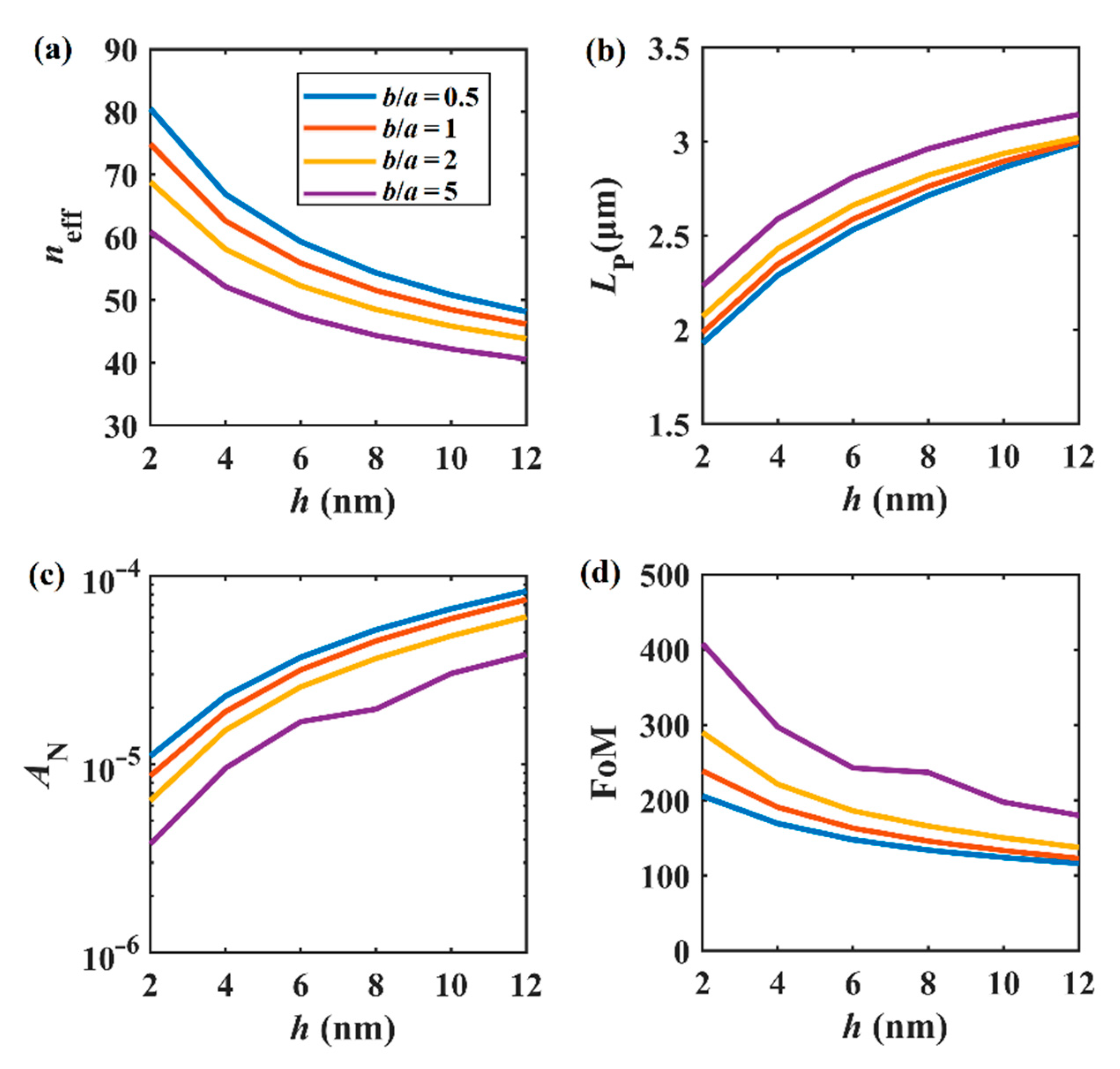
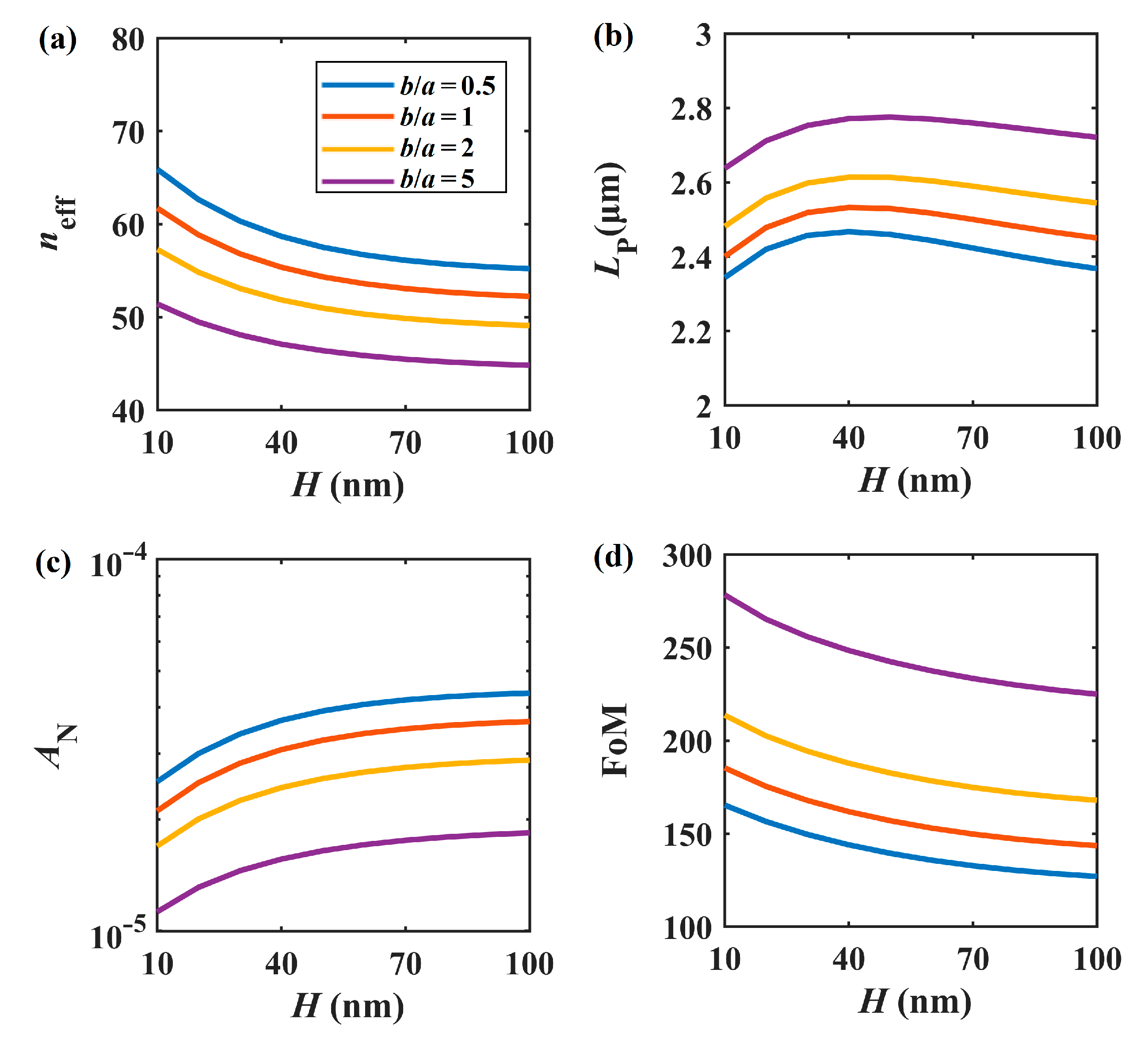
3. Results and Discussion
4. Conclusions
Author Contributions
Funding
Institutional Review Board Statement
Informed Consent Statement
Data Availability Statement
Conflicts of Interest
References
- Oulton, R.F.; Sorger, V.J.; Genov, D.A.; Pile, D.F.P.; Zhang, X. A hybrid plasmonic waveguide for subwavelength confinement and long-range propagation. Nat. Photon. 2008, 2, 496–500. [Google Scholar] [CrossRef]
- Cheben, P.; Halir, R.; Schmid, J.H.; Atwater, H.A.; Smith, D.R. Subwavelength integrated photonics. Nature 2018, 560, 565–572. [Google Scholar] [CrossRef]
- Verhagen, E.; Polman, A.; Kuipers, L.K. Nanofocusing in laterally tapered plasmonic waveguides. Opt. Express 2008, 16, 45–57. [Google Scholar] [CrossRef] [PubMed]
- Yang, L.; Li, P.; Li, Z. Plasmonic polarization beam splitting based on single silver nanowire. Opt. Express 2019, 27, 3851–3860. [Google Scholar] [CrossRef] [PubMed]
- Lu, F.; Zhang, W.; Huang, L.; Liang, S.; Mao, D.; Gao, F.; Mei, T.; Zhao, J. Mode evolution and nanofocusing of grating-coupled surface plasmon polaritons on metallic tip. Opto-Electron. Adv. 2018, 1, 180010. [Google Scholar] [CrossRef]
- Moreno, E.; Rodrigo, S.G.; Bozhevolnyi, S.I.; Martín-Moreno, L.; García-Vidal, F.J. Guiding and focusing of electromagnetic fields with wedge plasmon polaritons. Phys. Rev. Lett. 2008, 100, 023901. [Google Scholar] [CrossRef] [PubMed]
- Veronis, G.; Fan, S. Crosstalk between three-dimensional plasmonic slot waveguides. Opt. Express 2008, 16, 2129–2140. [Google Scholar] [CrossRef]
- Gao, H.; Cao, Q.; Zhu, M.; Teng, D.; Shen, S. Nanofocusing of terahertz wave in a tapered hyperbolic metal waveguide. Opt. Express 2014, 22, 32071–32081. [Google Scholar] [CrossRef]
- Zhang, Q.; Hao, H.; Ren, J.; Zhang, F.; Gong, Q.; Gu, Y. A quantum phase gate capable of effectively collecting photons based on a gap plasmon structure. Nanoscale 2020, 12, 10082–10089. [Google Scholar] [CrossRef]
- Steinberger, B.; Hohenau, A.; Ditlbacher, H.; Stepanov, A.L.; Drezet, A.; Aussenegg, F.R.; Leitner, A.; Krenn, J.R. Dielectric stripes on gold as surface plasmon waveguides. Appl. Phys. Lett. 2006, 88, 094104. [Google Scholar] [CrossRef]
- Krasavin, A.V.; Zayats, A.V. Three-dimensional numerical modeling of photonic integration with dielectric-loaded SPP waveguides. Phys. Rev. B 2008, 78, 045425. [Google Scholar] [CrossRef]
- Han, Z.; Radko, I.P.; Mazurski, N.; Desiatov, B.; Beermann, J.; Albrektsen, O.; Levy, U.; Bozhevolnyi, S.I. On-chip detection of radiation guided by dielectric-loaded plasmonic waveguides. Nano Lett. 2015, 15, 476–480. [Google Scholar] [CrossRef] [PubMed]
- Dai, D.; He, S. A silicon-based hybrid plasmonic waveguide with a metal cap for a nano-scale light confinement. Opt. Express 2009, 17, 16646–16653. [Google Scholar] [CrossRef]
- Chen, L.; Zhang, T.; Li, X.; Huang, W. Novel hybrid plasmonic waveguide consisting of two identical dielectric nanowires symmetrically placed on each side of a thin metal film. Opt. Express 2012, 20, 20535–20544. [Google Scholar] [CrossRef] [PubMed]
- Alam, M.Z.; Aitchison, J.S.; Mojahedi, M. A marriage of convenience: Hybridization of surface plasmon and dielectric waveguide modes. Laser Photonics Rev. 2014, 8, 394–408. [Google Scholar] [CrossRef]
- Zhang, L.; Pan, C.; Zeng, D.; Yang, Y.; Yang, Y.; Junxian, M. A hybrid-plasmonic-waveguide-based polarization-independent directional coupler. IEEE Access 2020, 8, 134268–134275. [Google Scholar] [CrossRef]
- Teng, D.; Cao, Q.; Wang, K. An extension of the generalized nonlocal theory for the mode analysis of plasmonic waveguides at telecommunication frequency. Journal of Optics 2017, 19, 055003. [Google Scholar] [CrossRef]
- Tuniz, A.; Bickerton, O.; Diaz, F.J.; Kasebier, T.; Kley, E.B.; Kroker, S.; Palomba, S.; de Sterke, C.M. Modular nonlinear hybrid plasmonic circuit. Nat. Commun. 2020, 11, 2413. [Google Scholar] [CrossRef] [PubMed]
- Huang, T.J.; Yin, L.Z.; Zhao, J.; Du, C.H.; Liu, P.K. Amplifying evanescent waves by dispersion-induced plasmons: Defying the materials limitation of superlens. ACS Photonics 2020, 7, 2173–2181. [Google Scholar] [CrossRef]
- Gao, Y.; Shadrivov, I.V. Second harmonic generation in graphene-coated nanowires. Opt. Lett. 2016, 41, 3623–3626. [Google Scholar] [CrossRef] [PubMed]
- Barnes, W.L.; Dereux, A.; Ebbesen, T.W. Surface plasmon subwavelength optics. Nature 2003, 424, 824–830. [Google Scholar] [CrossRef]
- Novoselov, K.S.; Fal, V.I.; Colombo, L.; Gellert, P.R.; Schwab, M.G.; Kim, K. A roadmap for graphene. Nature 2012, 490, 192–200. [Google Scholar] [CrossRef] [PubMed]
- Fan, Y.C.; Shen, N.H.; Zhang, F.L.; Zhao, Q.; Wu, H.J.; Fu, Q.H.; Wei, Z.Y.; Li, H.Q.; Soukoulis, C.M. Graphene plasmonics: A platform for 2D Optics. Adv. Opt. Mater. 2019, 7, 1800537. [Google Scholar] [CrossRef]
- Teng, D.; Wang, K.; Li, Z. Graphene-coated nanowire waveguides and their applications. Nanomaterials 2020, 10, 229. [Google Scholar] [CrossRef] [PubMed]
- Zheng, K.; Yuan, Y.F.; He, J.J.; Gu, G.Q.; Zhang, F.; Chen, Y.; Song, J.; Qu, J.L. Ultra-high light confinement and ultra-long propagation distance design for integratable optical chips based on plasmonic technology. Nanoscale 2019, 11, 4601–4613. [Google Scholar] [CrossRef]
- Shan, H.; Yu, Y.; Wang, X.; Luo, Y.; Zu, S.; Du, B.; Han, T.Y.; Li, B.W.; Li, Y.; Wu, J.R.; et al. Fang, Z. Direct observation of ultrafast plasmonic hot electron transfer in the strong coupling regime. Light Sci. Appl. 2019, 8, 9. [Google Scholar] [CrossRef] [PubMed]
- He, X.; Liu, F.; Lin, F.; Xiao, G.; Shi, W. Tunable MoS2 modified hybrid surface plasmon waveguides. Nanotechnology 2018, 30, 125201. [Google Scholar] [CrossRef] [PubMed]
- Jiang, Y.; Shi, C.; Wang, J. A hybrid plasmonic terahertz waveguide with ridge structure base on Bulk-Dirac-semimetal. Opt. Commun. 2020, 475, 126239. [Google Scholar] [CrossRef]
- He, X.; Liu, F.; Lin, F.; Lin, F.; Shi, W. Tunable 3D Dirac-semimetals supported Mid-IR hybrid plasmonic waveguides. Opt. Lett. 2021, 46, 472–475. [Google Scholar] [CrossRef]
- Dereshgi, S.A.; Liu, Z.; Aydin, K. Anisotropic localized surface plasmons in borophene. Opt. Express 2020, 28, 16725–16739. [Google Scholar] [CrossRef] [PubMed]
- Lian, C.; Hu, S.Q.; Zhang, J.; Cheng, C.; Yuan, Z.; Gao, S.; Meng, S. Integrated plasmonics: Broadband dirac plasmons in borophene. Phys. Rev. Lett. 2020, 125, 116802. [Google Scholar] [CrossRef] [PubMed]
- Wang, J.; Xing, Z.; Chen, X.; Cheng, Z.Z.; Li, X.J.; Liu, T. Recent progress in waveguide-integrated graphene photonic devices for sensing and communication applications. Front. Phys. 2020, 8, 37. [Google Scholar] [CrossRef]
- Yu, P.; Fesenko, V.I.; Tuz, V.R. Dispersion features of complex waves in a graphene-coated semiconductor nanowire. Nanophotonics 2018, 7, 925–934. [Google Scholar] [CrossRef]
- Saeed, M.; Ghaffar, A.; Alkanhal, M.A.S.; Alqahtani, A.H.; Khan, Y.; ur Rehman, S. Plasmon modes supported by metamaterial-filled monolayer graphene cylindrical waveguides. J. Opt. Soc. Am. B 2020, 37, 3515–3525. [Google Scholar] [CrossRef]
- Xing, R.; Jian, S. Numerical analysis on the multilayer nanoring waveguide pair. IEEE Photon. Technol. Lett. 2016, 28, 2779–2782. [Google Scholar] [CrossRef]
- Teng, D.; Wang, K.; Li, Z.; Zhao, Y. Graphene-coated nanowire dimers for deep subwavelength waveguiding in mid-infrared range. Opt. Express 2019, 27, 12458–12469. [Google Scholar] [CrossRef]
- Wu, D.; Tian, J. Study on the plasmonic characteristics of bow-tie type graphene-coated nanowire pair. Optik 2018, 156, 689–695. [Google Scholar] [CrossRef]
- Wang, X.; Wang, J.; Ma, T.; Liu, H.; Wang, F. Plasmonic characteristics of suspended graphene-coated wedge porous silicon nanowires with Ag partition. Chin. Phys. B 2021, 30, 014207. [Google Scholar] [CrossRef]
- Teng, D.; Wang, K. Theoretical analysis of terahertz dielectric–loaded graphene waveguide. Nanomaterials 2021, 11, 210. [Google Scholar] [CrossRef] [PubMed]
- Jabbarzadeh, F.; Habibzadeh-Sharif, A. High performance dielectric loaded graphene plasmonic waveguide for refractive index sensing. Opt. Commun. 2021, 479, 126419. [Google Scholar] [CrossRef]
- Zhu, J.; Jiang, F.; Yunbai, Q. Sense of surface plasmon polarization waveguide of graphene. Plasmonics 2019, 14, 1903–1910. [Google Scholar] [CrossRef]
- Liao, B.; Guo, X.; Hu, H.; Liu, N.; Chen, K.; Yang, X.; Dai, Q. Ultra-compact graphene plasmonic filter integrated in a waveguide. Chin. Phys. B 2018, 27, 094101. [Google Scholar] [CrossRef]
- Xu, Y.; Li, F.; Kang, Z.; Huang, D.; Zhang, X.; Tam, H.-Y.; Wai, P.K.A. Hybrid graphene-silicon based polarization-insensitive electro-absorption modulator with high-modulation efficiency and ultra-broad bandwidth. Nanomaterials 2019, 9, 157. [Google Scholar] [CrossRef]
- Hao, R.; Jiao, J.; Peng, X.; Zhen, Z.; Dagarbek, R.; Zou, Y.; Li, E. Experimental demonstration of a graphene-based hybrid plasmonic modulator. Opt. Lett. 2019, 44, 2586–2587. [Google Scholar] [CrossRef] [PubMed]
- Liu, J.P.; Zhai, X.; Xie, F.; Wang, L.L.; Xia, S.X.; Li, H.J.; Luo, X.; Shang, X.J. Analytical model of mid-infrared surface plasmon modes in a cylindrical long-range waveguide with double-layer graphene. J. Lightwave Technol. 2017, 35, 1971–1979. [Google Scholar] [CrossRef]
- Hajati, M.; Hajati, Y. Investigation of plasmonic properties of graphene multilayer nano-ribbon waveguides. Appl. Opt. 2016, 55, 1878–1884. [Google Scholar] [CrossRef] [PubMed]
- Wang, Y.; Liu, H.; Wang, S.; Cai, M.; Ma, L. Optical transport properties of graphene surface plasmon polaritons in mid-infrared band. Crystals 2019, 9, 354. [Google Scholar] [CrossRef]
- Ctyroky, J.; Petráek, J.; Kuzmiak, V.; Kwiecien, P.; Richter, I. Silicon waveguides with graphene: Coupling of waveguide mode to surface plasmons. J. Opt. 2020, 22, 095801. [Google Scholar] [CrossRef]
- Chen, X.; Wang, Y.; Xiang, Y.; Jiang, G.; Wang, L.; Bao, Q.; Zhang, H.; Liu, Y.; Wen, S.; Fan, D. A broadband optical modulator based on a graphene hybrid plasmonic waveguide. J. Lightwave Technol. 2016, 34, 4948–4953. [Google Scholar] [CrossRef]
- Hasan, K.B.M.R.; Islam, M.A.; Alam, M.S. Design of a broadband single mode hybrid plasmonic waveguide incorporating silicon nanowire. Opt. Mater. Express 2020, 10, 2783–2799. [Google Scholar] [CrossRef]
- Hajati, M.; Hajati, Y. High-performance and low-loss plasmon waveguiding in graphene-coated nanowire with substrate. J. Opt. Soc. Am. B 2016, 33, 2560–2565. [Google Scholar] [CrossRef]
- Hajati, M.; Hajati, Y. Plasmonic characteristics of two vertically coupled graphene-coated nanowires integrated with substrate. Appl. Opt. 2017, 56, 870–875. [Google Scholar] [CrossRef]
- Sun, M.; Tian, J.; Lan, X.; He, Z.; Liu, J. Transmission properties of two vertically coupled double-graphene-coated nanowires integrated with substrate. Optik 2019, 185, 242–247. [Google Scholar] [CrossRef]
- Teng, D.; Guo, J.; Yang, Y.; Ma, W.; Wang, K. Study of modal properties in graphene-coated nanowires integrated with substrates. Appl. Phys. B 2020, 126, 173. [Google Scholar] [CrossRef]
- Teng, D.; Yang, Y.; Guo, J.; Ma, W.; Tang, Y.; Wang, K. Efficient guiding mid-infrared waves with graphene-coated nanowire based plasmon waveguides. Res. Phys. 2020, 17, 103169. [Google Scholar] [CrossRef]
- Teng, D.; Wang, K.; Huan, Q.; Chen, W.; Li, Z. High-performance light transmission based on graphene plasmonic waveguides. J. Mater. Chem. C 2020, 8, 6832–6838. [Google Scholar] [CrossRef]
- Chandler-Horowitz, D.; Amirtharaj, P.M. High-accuracy, midinfrared (450 cm− 1⩽ ω ⩽ 4000 cm− 1) refractive index values of silicon. J. Appl. Phys. 2005, 97, 123526. [Google Scholar] [CrossRef]
- Yang, X.; Liu, X.; Yu, S.; Gan, L.; Zhou, J.; Zeng, Y. Permittivity of undoped silicon in the millimeter wave range. Electronics 2019, 8, 886. [Google Scholar] [CrossRef]
- Yu, H.; Wang, H.; Xiong, Q.; Mei, J.; Zhang, Y.; Wang, Y.; Lai, J.; Chen, C. Photothermal switch of sub-microsecond response: A monolithic-integrated ring resonator and a metasurface absorber in silicon photonic crystals. Opt. Lett. 2020, 45, 1806–1809. [Google Scholar]
- Ono, M.; Hata, M.; Tsunekawa, M.; Nozaki, K.; Sumikura, H.; Chiba, H.; Notomi, M. Ultrafast and energy-efficient all-optical switching with graphene-loaded deep-subwavelength plasmonic waveguides. Nat. Photon. 2020, 14, 37–43. [Google Scholar] [CrossRef]
- Nikitin, A.Y.; Alonso-González, P.; Hillenbrand, R. Efficient coupling of light to graphene plasmons by compressing surface polaritons with tapered bulk materials. Nano Lett. 2014, 14, 2896–2901. [Google Scholar] [CrossRef] [PubMed][Green Version]
- Buckley, R.; Berini, P. Figures of merit for 2D surface plasmon waveguides and application to metal stripes. Opt. Express 2007, 15, 12174–12182. [Google Scholar] [CrossRef] [PubMed]
- Said, A.; Atia, K.S.R.; Obayya, S.S.A. On modeling of plasmonic devices: Overview. J. Opt. Soc. Am. B 2020, 37, A163–A174. [Google Scholar] [CrossRef]
- Caridad, J.M.; Winters, S.; McCloskey, D.; Duesberg, G.S.; Donegan, J.F.; Krstić, V. Hot-volumes as uniform and reproducible sers-detection enhancers in weakly-coupled metallic nanohelices. Sci. Rep. 2017, 7, 45548. [Google Scholar] [CrossRef]
- Kanahashi, K.; Tanaka, N.; Shoji, Y.; Maruyama, M.; Jeon, I.; Kawahara, K.; Ishihara, M.; Hasegawa, M.; Ohta, H.; Ago, H.; et al. Formation of environmentally stable hole-doped graphene films with instantaneous and high-density carrier doping via a boron-based oxidant. npj 2D Mater. Appl. 2019, 3, 44. [Google Scholar] [CrossRef]
- Whelan, P.R.; Shen, Q.; Zhou, B.; Serrano, I.G.; Kamalakar, M.V.; Mackenzie, D.M.; Ji, J.; Huang, D.; Shi, H.; Luo, D.; et al. Fermi velocity renormalization in graphene probed by terahertz time-domain spectroscopy. 2D Mater. 2020, 7, 035009. [Google Scholar] [CrossRef]
- Cao, T.; Li, Y.; Tian, L.; Liang, H.; Qin, K. Fast switching “On/Off” chiral surface plasmon polaritons in graphene-coated Ge2Sb2Te5 nanowire. ACS Appl. Nano Mater. 2018, 1, 759–767. [Google Scholar] [CrossRef]
- Chen, B.; Meng, C.; Yang, Z.; Li, W.; Lin, S.; Gu, T.; Guo, X.; Wang, D.; Yu, S.; Wong, C.W.; et al. Graphene coated ZnO nanowire optical waveguides. Opt. Express 2014, 22, 24276–24285. [Google Scholar] [CrossRef]
- Vitanov, P.; Ivanova, T.; Dikov, H. Low-temperature deposition of ultrathin SiO2 films on Si substrates. J. Phys. Conf. Ser. 2014, 514, 012010. [Google Scholar] [CrossRef]
- Flöry, N.; Ma, P.; Salamin, Y.; Emboras, A.; Taniguchi, T.; Watanabe, K.; Leuthold, J.; Novotny, L. Waveguide-integrated van der Waals heterostructure photodetector at telecom wavelengths with high speed and high responsivity. Nat. Nanotechnol. 2020, 15, 118–124. [Google Scholar] [CrossRef]








| Waveguide | Neff | LP/μm | AN |
|---|---|---|---|
| A | 58.845 + 0.642i | 2.477 | 2.512 × 10−5 |
| B | 52.428 + 0.608i | 2.616 | 1.699 × 10−5 |
| C | 65.394 + 0.658i | 2.417 | 3.501 × 10−5 |
Publisher’s Note: MDPI stays neutral with regard to jurisdictional claims in published maps and institutional affiliations. |
© 2021 by the authors. Licensee MDPI, Basel, Switzerland. This article is an open access article distributed under the terms and conditions of the Creative Commons Attribution (CC BY) license (https://creativecommons.org/licenses/by/4.0/).
Share and Cite
Teng, D.; Wang, Y.; Xu, T.; Wang, H.; Shao, Q.; Tang, Y. Symmetric Graphene Dielectric Nanowaveguides as Ultra-Compact Photonic Structures. Nanomaterials 2021, 11, 1281. https://doi.org/10.3390/nano11051281
Teng D, Wang Y, Xu T, Wang H, Shao Q, Tang Y. Symmetric Graphene Dielectric Nanowaveguides as Ultra-Compact Photonic Structures. Nanomaterials. 2021; 11(5):1281. https://doi.org/10.3390/nano11051281
Chicago/Turabian StyleTeng, Da, Yuncheng Wang, Tianzi Xu, Huayu Wang, Qinqin Shao, and Yanan Tang. 2021. "Symmetric Graphene Dielectric Nanowaveguides as Ultra-Compact Photonic Structures" Nanomaterials 11, no. 5: 1281. https://doi.org/10.3390/nano11051281
APA StyleTeng, D., Wang, Y., Xu, T., Wang, H., Shao, Q., & Tang, Y. (2021). Symmetric Graphene Dielectric Nanowaveguides as Ultra-Compact Photonic Structures. Nanomaterials, 11(5), 1281. https://doi.org/10.3390/nano11051281

