Anisotropic Generation and Detection of Coherent Ag Phonons in Black Phosphorus
Abstract
1. Introduction
2. Materials and Methods
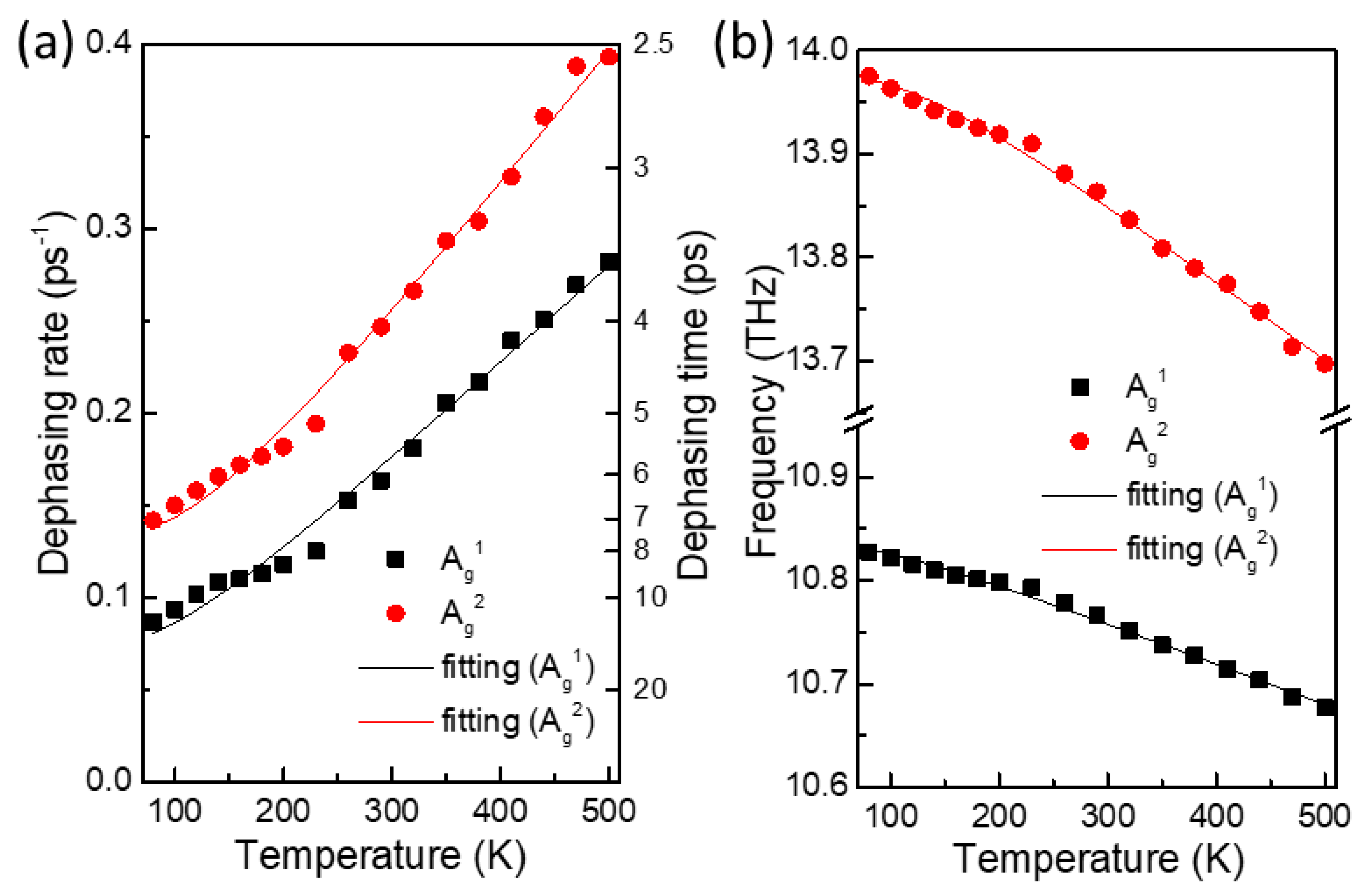
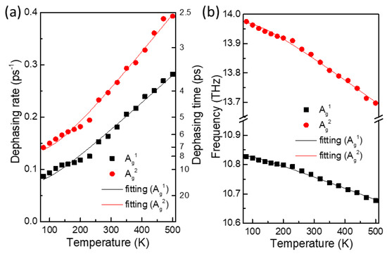
3. Results and Discussion
4. Conclusions
Author Contributions
Funding
Institutional Review Board Statement
Informed Consent Statement
Data Availability Statement
Conflicts of Interest
References
- Xia, F.; Wang, H.; Jia, Y. Rediscovering black phosphorus as an anisotropic layered material for optoelectronics and electronics. Nat. Commun. 2014, 5, 4458. [Google Scholar] [CrossRef] [PubMed]
- Gusmao, R.; Sofer, Z.; Pumera, M. Black phosphorus rediscovered: From bulk material to monolayers. Angew. Chem. Int. Ed. Engl. 2017, 56, 8052–8072. [Google Scholar] [CrossRef] [PubMed]
- Anju, S.; Ashtami, J.; Mohanan, P.V. Black phosphorus, a prospective graphene substitute for biomedical applications. Mater. Sci. Eng. C Mater. Biol. Appl. 2019, 97, 978–993. [Google Scholar] [CrossRef] [PubMed]
- Lee, T.H.; Kim, S.Y.; Jang, H.W. Black phosphorus: Critical review and potential for water splitting photocatalyst. Nanomaterials 2016, 6, 194. [Google Scholar] [CrossRef]
- Li, L.; Han, W.; Pi, L.; Niu, P.; Han, J.; Wang, C.; Su, B.; Li, H.; Xiong, J.; Bando, Y.; et al. Emerging in-plane anisotropic two-dimensional materials. InfoMat 2019, 1, 54–73. [Google Scholar] [CrossRef]
- Castellanos-Gomez, A. Black phosphorus: Narrow gap, wide applications. J. Phys. Chem. Lett. 2015, 6, 4280–4291. [Google Scholar] [CrossRef]
- Ling, X.; Wang, H.; Huang, S.; Xia, F.; Dresselhaus, M.S. The renaissance of black phosphorus. Proc. Natl. Acad. Sci. USA 2015, 112, 4523–4530. [Google Scholar] [CrossRef]
- Tian, H.; Guo, Q.; Xie, Y.; Zhao, H.; Li, C.; Cha, J.J.; Xia, F.; Wang, H. Anisotropic black phosphorus synaptic device for neuromorphic applications. Adv. Mater. 2016, 28, 4991–4997. [Google Scholar] [CrossRef]
- Yuan, H.; Liu, X.; Afshinmanesh, F.; Li, W.; Xu, G.; Sun, J.; Lian, B.; Curto, A.G.; Ye, G.; Hikita, Y.; et al. Polarization-sensitive broadband photodetector using a black phosphorus vertical p-n junction. Nat. Nanotechnol. 2015, 10, 707–713. [Google Scholar] [CrossRef]
- Engel, M.; Steiner, M.; Avouris, P. Black phosphorus photodetector for multispectral, high-resolution imaging. Nano Lett. 2014, 14, 6414–6417. [Google Scholar] [CrossRef]
- Chen, X.; Lu, X.; Deng, B.; Sinai, O.; Shao, Y.; Li, C.; Yuan, S.; Tran, V.; Watanabe, K.; Taniguchi, T.; et al. Widely tunable black phosphorus mid-infrared photodetector. Nat. Commun. 2017, 8, 1672. [Google Scholar] [CrossRef] [PubMed]
- Wang, X.; Jones, A.M.; Seyler, K.L.; Tran, V.; Jia, Y.; Zhao, H.; Wang, H.; Yang, L.; Xu, X.; Xia, F. Highly anisotropic and robust excitons in monolayer black phosphorus. Nat. Nanotechnol. 2015, 10, 517–521. [Google Scholar] [CrossRef] [PubMed]
- Schuster, R.; Trinckauf, J.; Habenicht, C.; Knupfer, M.; Buchner, B. Anisotropic particle-hole excitations in black phosphorus. Phys. Rev. Lett. 2015, 115, 026404. [Google Scholar] [CrossRef] [PubMed]
- Mao, N.; Tang, J.; Xie, L.; Wu, J.; Han, B.; Lin, J.; Deng, S.; Ji, W.; Xu, H.; Liu, K.; et al. Optical anisotropy of black phosphorus in the visible regime. J. Am. Chem. Soc. 2016, 138, 300–305. [Google Scholar] [CrossRef] [PubMed]
- Lee, S.; Yang, F.; Suh, J.; Yang, S.; Lee, Y.; Li, G.; Sung Choe, H.; Suslu, A.; Chen, Y.; Ko, C.; et al. Anisotropic in-plane thermal conductivity of black phosphorus nanoribbons at temperatures higher than 100 K. Nat. Commun. 2015, 6, 8573. [Google Scholar] [CrossRef] [PubMed]
- Tao, J.; Shen, W.; Wu, S.; Liu, L.; Feng, Z.; Wang, C.; Hu, C.; Yao, P.; Zhang, H.; Pang, W. Mechanical and electrical anisotropy of few-layer black phosphorus. ACS Nano 2015, 9, 11362–11370. [Google Scholar] [CrossRef] [PubMed]
- Luo, Z.; Maassen, J.; Deng, Y.; Du, Y.; Garrelts, R.P.; Lundstrom, M.S.; Ye, P.D.; Xu, X. Anisotropic in-plane thermal conductivity observed in few-layer black phosphorus. Nat. Commun. 2015, 6, 8572. [Google Scholar] [CrossRef]
- Kim, J.; Lee, J.U.; Lee, J.; Park, H.J.; Lee, Z.; Lee, C.; Cheong, H. Anomalous polarization dependence of Raman scattering and crystallographic orientation of black phosphorus. Nanoscale 2015, 7, 18708–18715. [Google Scholar] [CrossRef]
- Zhang, S.; Yang, J.; Xu, R.; Wang, F.; Li, W.; Ghufran, M.; Zhang, Y.-W.; Yu, Z.; Zhang, G.; Qin, Q. Extraordinary photoluminescence and strong temperature/angle-dependent Raman responses in few-layer phosphorene. ACS Nano 2014, 8, 9590–9596. [Google Scholar] [CrossRef]
- Sugai, S.; Shirotani, I. Raman and infrared reflection spectroscopy in black phosphorus. Solid State Commun. 1985, 53, 753–755. [Google Scholar] [CrossRef]
- Ribeiro, H.B.; Pimenta, M.A.; De Matos, C.J.; Moreira, R.L.; Rodin, A.S.; Zapata, J.D.; De Souza, E.A.; Castro Neto, A.H. Unusual angular dependence of the Raman response in black phosphorus. ACS Nano 2015, 9, 4270–4276. [Google Scholar] [CrossRef] [PubMed]
- Wu, J.; Mao, N.; Xie, L.; Xu, H.; Zhang, J. Identifying the crystalline orientation of black phosphorus using angle-resolved polarized Raman spectroscopy. Angew. Chem. Int. Ed. Engl. 2015, 54, 2366–2369. [Google Scholar] [CrossRef] [PubMed]
- Phaneuf-L’Heureux, A.L.; Favron, A.; Germain, J.F.; Lavoie, P.; Desjardins, P.; Leonelli, R.; Martel, R.; Francoeur, S. Polari-zation-resolved raman study of bulk-like and davydov-induced vibrational modes of exfoliated black phosphorus. Nano Lett. 2016, 16, 7761–7767. [Google Scholar] [CrossRef] [PubMed]
- Ling, X.; Huang, S.; Hasdeo, E.H.; Liang, L.; Parkin, W.M.; Tatsumi, Y.; Nugraha, A.R.; Puretzky, A.A.; Das, P.M.; Sumpter, B.G.; et al. Anisotropic electron-photon and elec-tron-phonon interactions in black phosphorus. Nano Lett. 2016, 16, 2260–2267. [Google Scholar] [CrossRef]
- Mao, N.; Wu, J.; Han, B.; Lin, J.; Tong, L.; Zhang, J. Birefringence-directed raman selection rules in 2D black phosphorus crystals. Small 2016, 12, 2627–2633. [Google Scholar] [CrossRef] [PubMed]
- Li, R.; Shang, Y.; Xing, H.; Wang, X.; Sun, M.; Qiu, W. Orientation identification of the black phosphorus with different thickness based on B2g mode using a micro-raman spectroscope under a nonanalyzer configuration. Materials 2020, 13, 5572. [Google Scholar] [CrossRef]
- Li, R.; Sun, M.; Shang, Y.; Xing, H.; Wang, X.; Qiu, W. Crystalline orientation identification of multilayer black phosphorus based on the Ag1 and Ag2 raman modes for an orthogonally polarized configuration. J. Phys. Chem. C 2021, 125, 5172–5179. [Google Scholar] [CrossRef]
- Jeong, T.Y.; Jin, B.M.; Rhim, S.H.; Debbichi, L.; Park, J.; Jang, Y.D.; Lee, H.R.; Chae, D.-H.; Lee, D.; Kim, Y.-H. Coherent lattice vibrations in mono-and few-layer WSe2. ACS Nano 2016, 10, 5560–5566. [Google Scholar] [CrossRef]
- Dekorsy, T.; Cho, G.C.; Kurz, H. Coherent phonons in condensed media. Light Scatt. Solids VIII 2000, 76, 169–209. [Google Scholar]
- Cho, G.; Kütt, W.; Kurz, H. Subpicosecond time-resolved coherent-phonon oscillations in GaAs. Phys. Rev. Lett. 1990, 65, 764. [Google Scholar] [CrossRef]
- Jeong, T.-Y.; Bae, S.; Lee, S.-Y.; Jung, S.; Kim, Y.-H.; Yee, K.-J. Valley depolarization in monolayer transition-metal dichalcogenides with zone-corner acoustic phonons. Nanoscale 2020, 12, 22487–22494. [Google Scholar] [CrossRef]
- Vialla, F.; Del Fatti, N. Time-domain investigations of coherent phonons in van der waals thin films. Nanomaterials 2020, 10, 2543. [Google Scholar] [CrossRef]
- Zeiger, H.; Vidal, J.; Cheng, T.; Ippen, E.; Dresselhaus, G.; Dresselhaus, M. Theory for displacive excitation of coherent phonons. Phys. Rev. B 1992, 45, 768. [Google Scholar] [CrossRef]
- Norimatsu, K.; Hada, M.; Yamamoto, S.; Sasagawa, T.; Kitajima, M.; Kayanuma, Y.; Nakamura, K.G. Dynamics of all the Raman-active coherent phonons in Sb2Te3 revealed via transient reflectivity. J. Appl. Phys. 2015, 117, 143102. [Google Scholar] [CrossRef]
- Luo, X.; Lu, X.; Koon, G.K.; Castro Neto, A.H.; Ozyilmaz, B.; Xiong, Q.; Quek, S.Y. Large frequency change with thickness in interlayer breathing mode—Significant interlayer interactions in few layer black phosphorus. Nano Lett. 2015, 15, 3931–3938. [Google Scholar] [CrossRef] [PubMed]
- Miao, X.; Zhang, G.; Wang, F.; Yan, H.; Ji, M. Layer-dependent ultrafast carrier and coherent phonon dynamics in black phosphorus. Nano Lett. 2018, 18, 3053–3059. [Google Scholar] [CrossRef] [PubMed]
- Klemens, P. Anharmonic decay of optical phonons. Phys. Rev. 1966, 148, 845. [Google Scholar] [CrossRef]
- Song, D.Y.; Nikishin, S.A.; Holtz, M.; Soukhoveev, V.; Usikov, A.; Dmitriev, V. Decay of zone-center phonons in GaN with A1, E1, and E2 symmetries. J. Appl. Phys. 2007, 101, 053535. [Google Scholar] [CrossRef]





Publisher’s Note: MDPI stays neutral with regard to jurisdictional claims in published maps and institutional affiliations. |
© 2021 by the authors. Licensee MDPI, Basel, Switzerland. This article is an open access article distributed under the terms and conditions of the Creative Commons Attribution (CC BY) license (https://creativecommons.org/licenses/by/4.0/).
Share and Cite
Lee, S.-Y.; Yee, K.-J. Anisotropic Generation and Detection of Coherent Ag Phonons in Black Phosphorus. Nanomaterials 2021, 11, 1202. https://doi.org/10.3390/nano11051202
Lee S-Y, Yee K-J. Anisotropic Generation and Detection of Coherent Ag Phonons in Black Phosphorus. Nanomaterials. 2021; 11(5):1202. https://doi.org/10.3390/nano11051202
Chicago/Turabian StyleLee, Seong-Yeon, and Ki-Ju Yee. 2021. "Anisotropic Generation and Detection of Coherent Ag Phonons in Black Phosphorus" Nanomaterials 11, no. 5: 1202. https://doi.org/10.3390/nano11051202
APA StyleLee, S.-Y., & Yee, K.-J. (2021). Anisotropic Generation and Detection of Coherent Ag Phonons in Black Phosphorus. Nanomaterials, 11(5), 1202. https://doi.org/10.3390/nano11051202
